Plectranthus amboinicus (Lour.) Spreng: Botanical, Phytochemical, Pharmacological and Nutritional Significance
Abstract
:1. Introduction
2. Botanical Description
2.1. Taxonomy
2.2. Morphological Feautures
2.3. Origin, Wild Relatives and Geographical Distribution
2.4. Cultivation
3. Phytochemistry
3.1. Volatile Composition of P. amboinicus
3.2. Non-Volatile Chemical Constituents of P. amboinicus
4. Bioactivities of P. amboinicus
4.1. Antimicrobial Activities
4.1.1. Antibacterial Activities
4.1.2. Antifungal Activities
4.1.3. Antiviral Activities
4.2. Respiratory Disorders
4.3. Activity against Digestive Diseases
4.4. Antiepileptic Activity
4.5. Antitumorigenic Activities
4.6. Anti-Inflammatory Activities
4.7. Wound Healing Activities
4.8. Effects against Skin Diseases
4.9. Effects against Animal and Insect Bites
4.10. Lactogenic Activity
4.11. Antioxidant Activities
4.12. Oral Diseases
4.13. Larvicidal Potential
4.14. Activity against Cardiovascular Disorders
4.15. Activity against Genitourinary Diseases
4.16. Analgesic Activity
4.17. Activity against Other Diseases
5. Culinary Uses
5.1. Nutritional Values
5.2. Use as a Food Additive
6. Ornamental and Other Social Uses
7. Conclusions and Recommendations
Acknowledgments
Author Contributions
Conflicts of Interest
Abbreviations
| SPME: | Solid phase micro extraction |
| GC: | Gas chromatography |
| LSC: | Liquid-solid chromatography |
| GLC: | Gas-liquid chromatography |
| GC-MS: | Gas chromatography-mass spectroscopy |
| GC-FID: | Gas chromatography outfitted with flame ionization detector (GC-FID) |
| NMR: | Nuclear magnetic resonance |
| UV: | Ultra violet |
| HPLC: | High pressure liquid chromatography |
| UPLC: | Ultra performance liquid chromatography |
| GAE: | gallic acid equivalent |
| TAE: | Tannic acid equivalent |
| RE: | Rutin equivalent |
| Pam-ZnO NPs: | P. amboinicus Zinc oxide nanoparticles |
| TNF-α: | Tumor necrosis factor |
| COX-2: | Cyclooxygenase 2 |
| AP-1: | Activator protein-1 |
| HWE: | Hot water extract (HWE) |
| HE: | Hexane extract |
| SDS-PAGE: | Sodium dodecyl sulfate polyacrylamide gel electrophoresis |
| HSV 1: | Herpes simplex virus-1 |
| STDs: | Sexually-transmitted diseases |
| AIDS: | Acquired immune deficiency syndrome (AIDS) |
| HIV: | Human immunodeficiency virus |
| VSV: | Vesicular stomatitis virus |
References
- Kumara Swamy, M.; Pokharen, N.; Dahal, S.; Anuradha, M. Phytochemical and antimicrobial studies of leaf extract of Euphorbia nerifolia. J. Med. Plants Res. 2011, 5, 5785–5788. [Google Scholar]
- Swamy, M.K.; Sinniah, U.R. A comprehensive review on the phytochemical constituents and pharmacological activities of Pogostemon cablin Benth.: An aromatic medicinal plant of industrial importance. Molecules 2015, 20, 8521–8547. [Google Scholar] [CrossRef] [PubMed]
- Swamy, M.K.; Sinniah, U.R.; Akhtar, M.S. In vitro pharmacological activities and GC-MS analysis of different solvent extracts of Lantana camara leaves collected from tropical region of Malaysia. Evid. Based Complement. Altern. 2015, 2015, 1–9. [Google Scholar] [CrossRef] [PubMed]
- Sandhya, S.; Kumar, S.P.; Vinod, K.R.; David, B.; Kumar, K. Plants as potent anti-diabetic and wound healing agents: A review. Hygeia. J. Drugs Med. 2011, 3, 11–19. [Google Scholar]
- Mohanty, S.K.; Malappa, K.; Godavarthi, K.; Subbanarasiman, B.; Maniyam, A. Evaluation of antioxidant, in vitro cytotoxicity of micropropagated and naturally grown plants of Leptadenia reticulata (Retz.) Wight & Arn.: An endangered medicinal plant. Asian Pac. J. Trop. Med. 2014, 7, 267–271. [Google Scholar]
- Kumara, S.M.; Sudipta, K.M.; Lokesh, P.; Neeki, A.; Rashmi, W.; Bhaumik, H.; Darshil, H.; Vijay, R.; Kashyap, S.S.N. Phytochemical screening and in vitro antimicrobial activity of Bougainvillea spectabilis flower extracts. Int. J. Phytomed. 2012, 4, 375–379. [Google Scholar]
- Retief, E. Lamiaceae (Labiatae). In Seed Plants of Southern Africa; Leistner, O.A., Ed.; National Botanical Institute: Cape Town, South Africa, 2000; pp. 323–334. [Google Scholar]
- Alasbahi, R.H.; Melzig, M.F. Plectranthus barbatus: A review of phytochemistry, ethnobotanical uses and pharmacology—Part 1. Planta Med. 2010, 76, 653–661. [Google Scholar] [CrossRef] [PubMed]
- Grayer, R.J.; Eckert, M.R.; Lever, A.; Veitch, N.C.; Kite, G.C.; Paton, A.J. Distribution of exudate flavonoids in the genus Plectranthus. Biochem. Syst. Ecol. 2010, 38, 335–341. [Google Scholar] [CrossRef]
- Lukhoba, C.W.; Simmonds, M.S.J.; Paton, A.J. Plectranthus: A review of ethnobotanical uses. J. Ethnopharmacol. 2006, 103, 1–24. [Google Scholar] [CrossRef] [PubMed]
- Castillo, R.A.M.; Gonzalez, V.P. Plecthranthus amboinicus (Lour.) Spreng. Rev. Cuba. Plantas Med. 1999, 4, 110–115. [Google Scholar]
- Singh, G.; Singh, O.P.; Prasad, Y.R.; Lamposona, M.P.; Catalan, C. Studies on essential oils. Part 33. Chemical and insecticidal investigations on leaf oil of Coleus amboinicus (Lour). Flavour Frag. J. 2002, 17, 440–442. [Google Scholar] [CrossRef]
- Murthy, P.S.; Ramalakshmi, K.; Srinivas, P. Fungitoxic activity of Indian borage (Plectranthus amboinicus) volatiles. Food Chem. 2009, 114, 1014–1018. [Google Scholar] [CrossRef]
- Senthilkumar, A.; Venkatesalu, V. Chemical composition and larvicidal activity of the essential oil of Plectranthus amboinicus (Lour.) Spreng against Anopheles stephensi: A malarial vector mosquito. Parasitol. Res. 2010, 107, 1275–1278. [Google Scholar] [CrossRef] [PubMed]
- Gonçalves, T.B.; Braga, M.A.; Oliveira, F.F.M. Effect of subinihibitory and inhibitory concentrations of Plectranthus amboinicus (Lour.) Spreng essential oil on Klebsiella pneumoniae. Phytomedicine 2012, 19, 962–968. [Google Scholar] [CrossRef] [PubMed]
- Bhatt, P.; Negi, P.S. Antioxidant and antibacterial activities in the leaf extracts of Indian borage (Plectranthus amboinicus). Food Nutr. Sci. 2012, 3, 146–152. [Google Scholar] [CrossRef]
- Khare, R.S.; Banerjee, S.; Kundu, K.K. Coleus aromaticus Benth. A nutritive medicinal plant of potential therapeutic value. Int. J. Pharma. Bio. Sci. 2011, 2, 488–500. [Google Scholar]
- Wagner, W.L.; Lorence, D.H. Flora of the Marquesas Islands website. Available online: http://botany.si.edu/pacificislandbiodiversity/marquesasflora/index.htm (accessed on 18 January 2016).
- Khan, M.C.P.I. Current Trends in Coleus Aromaticus: An Important Medicinal Plant; Booktango: Bloomington, IN, USA, 2013. [Google Scholar]
- Roshan, P.; Naveen, M.; Manjul, P.S.; Gulzar, A.; Anita, S.; Sudarshan, S. Plectranthus amboinicus (Lour) Spreng: An overview. Pharm. Res. 2010, 4, 1–15. [Google Scholar]
- Stearn, W.T. Stearns Dictionary of Plant Names for Gardeners: A Handbok on the Origin and Meaning of the Botanical Names of Some Cultivated Plants; Cassell: London, UK, 1992. [Google Scholar]
- Roux, J.P. Flora of South Africa; Compton Herbarium: South African National Biodiversity Institute: Cape Town, South Africa, 2003. [Google Scholar]
- Staples, G.W.; Kristiansen, M.S. Ethnic Culinary Herbs: A Guide to Identification and Cultivation in Hawaii; University of Hawaii Press: Honolulu, HI, USA, 1999. [Google Scholar]
- Can Baser, K.H. Biological and pharmacological activities of carvacrol and carvacrol bearing essential oils. Curr. Pharm. Design. 2008, 14, 3106–3119. [Google Scholar] [CrossRef]
- Pino, J.A.; Garcia, J.; Martinez, M.A. Comparative chemical composition of the volatiles of Coleus aromaticus produced by steam distillation, solvent extraction and supercritical carbon dioxide extraction. J. Essent. Oil Res. 1996, 8, 373–375. [Google Scholar] [CrossRef]
- Knab, A.; McKinney; Heather, E.; Maurer; Marta, K. Isolation of the compounds. In Mentha piperita, Mentha spicata and Coleus amboinicus; Abstracts of Papers, 238th ACS National Meeting; Washington, DC, USA, 2008; pp. 16–20. [Google Scholar]
- Rout, O.P.; Acharya, R.; Mishra, S.K.; Sahoo, R. Pathorchur (Coleus aromaticus): A review of the medicinal evidence for its phytochemistry and pharmacology properties. Int. J. Appl. Biol. Pharm. Technol. 2012, 3, 348–355. [Google Scholar]
- Asiimwe, S.; Borg-Karlsson, A.K.; Azeem, M.; Mugisha, K.M.; Namutebi, A.; Gakunga, N.J. Chemical composition and Toxicological evaluation of the aqueous leaf extracts of Plectranthus amboinicus (Lour.) Spreng. Int. J. Pharm. Sci. Invent. 2014, 3, 19–27. [Google Scholar]
- Mallavarapu, G.R.; Rao, L.; Ramesh, S. Essential oil of Coleus aromaticus Benth. Int. J. Essent. Oil. Res. 1999, 11, 742–744. [Google Scholar] [CrossRef]
- Gurib-Fakim, A.; Sewraj, M.D.; Narod, F.; Menut, C. Aromatic Plants of Mauritius: Volatile Constituents of the Essential Oils of Coleus aromaticus Benth., Triphasia trifolia (Burm. f.) and Eucalyptus kirtoniana (F. Muell.). J. Essent. Oil Res. 1995, 7, 215–218. [Google Scholar] [CrossRef]
- Hassani, M.S.; Zainati, I.; Zrira, S.; Mahdi, S.; Oukessou, M. Chemical Composition and Antimicrobial Activity of Plectranthus amboinicus (Lour) Spring. Essential Oil from Archipelago of Comoros. J. Essent. Oil Bear. Pl. 2012, 15, 637–644. [Google Scholar] [CrossRef]
- Erny Sabrina, M.N.; Razali, M.; Mirfat, A.H.S.; Mohd Shukri, M.A. Antimicrobial activity and bioactive evaluation of Plectranthus amboinicus essential oil. Am. J. Res. Commun. 2014, 2, 121–127. [Google Scholar]
- Joshi, R.K.; Badakar, V.; Kholkute, S.D. Carvacrol rich essential oils of Coleus aromaticus (Benth.) from Western Ghats region of North West Karnataka, India. Adv. Environ. Biol. 2011, 5, 1307–1310. [Google Scholar]
- Manjamalai, A.; Grace, D.V.B. Volatile constituents and antioxidant property of essential oil from Plectranthus amboinicus (Lour). Int. J. Pharm. Biol. Sci. 2012, 3, 445–458. [Google Scholar]
- Kweka, E.J.; Senthilkumar, A.; Venkatesalu, V. Toxicity of essential oil from Indian borage on the larvae of the African malaria vector mosquito, Anopheles gambiae. Parasit. Vectors. 2012, 5, 277. [Google Scholar] [CrossRef] [PubMed]
- Koba, K.; Garde, D.; Sanda, K.; Raynaud, C.; Chaumont, J.P. Chemical composition and antimicrobial properties of the leaf essential oil of Coleus aromaticus Benth. From Cambodia. Inter. J. Essent. Oil Ther. 2007, 1, 16–20. [Google Scholar]
- Da Costa, J.G.; Pereira, C.K.; Rodrigues, F.F.; de Lima, S.G. Chemical Composition, Antibacterial and Fungicidal Activities of Leaf Oil of Plectranthus amboinicus (Lour.) Spreng. J. Essent. Oil Res. 2010, 22, 183–185. [Google Scholar] [CrossRef]
- Velasco, J.; Rojas, L.B.; Díaz, T.; Usubillaga, A. Chemical Composition and Antibacterial Activity of the Essential Oil of Coleus amboinicus (Lour.), Against Enteric Pathogens. J. Essent. Oil Bear. Pl. 2009, 12, 453–461. [Google Scholar] [CrossRef]
- Tewari, G.; Pande, C.; Kharkwal, G.; Singh, S.; Singh, C. Phytochemical study of essential oil from the aerial parts of Coleus aromaticus Benth. Nat. Prod. Res. 2012, 26, 182–185. [Google Scholar] [CrossRef] [PubMed]
- Dutta, S. Essential oil of Coleus aromaticus of Indian origin. Indian Oil Soap J. 1959, 25, 120. [Google Scholar]
- Baslas, R.K.; Kumar, P. Chemical examination of essential oil of Coleus aromaticus Benth. J. Indian Chem. Soc. 1981, 58, 103–104. [Google Scholar]
- Mangathayaru, K.; Pratap, D.V.V.; Thirumurgan, D.; Patel, P.S.; David, D.J.; Karthikeyan, J. Essential oil composition of Coleus amboinicus Lour. Indian J. Pharma. Sci. 2005, 67, 122–123. [Google Scholar]
- Pino, J.; Rosado, A.; Borges, P. Volatile components in the essential oil of wild oregano (Coleus amboinicus Lour.). Nahrung-Food 2006, 34, 819–823. [Google Scholar] [CrossRef]
- Uma, M.; Jothinayaki, S.; Kumaravel, S.; Kalaiselvi, P. Determination of Bioactive Components of Plectranthus amboinicus (Lour) by GC-MS Analysis. N. Y. Sci. J. 2011, 4, 66–69. [Google Scholar]
- Roja, G.; Pol, B.B.; Subbaraman, A.S.; Chintalwar, G.J.; Eapen, S. Accumulation of essential oils in tissue cultures of Coleus amboinicus. J. Herbs Spice Med. Pl. 2006, 11, 1–7. [Google Scholar] [CrossRef]
- Prudent, D.; Perineau, F.; Bessiere, J.M.; Michel, G.M.; Baccou, J.C. Analysis of the essential oil of wild oregano from Martinique (Coleus aromaticus Benth.): Evaluation of its bacteriostatic and fungistatic properties. J. Essent. Oil Res. 1995, 7, 165–173. [Google Scholar] [CrossRef]
- Verma, R.S.; Padalia, R.C.; Chauhan, A. Essential Oil Composition of Coleus aromaticus Benth. from Uttarakhand. J. Essent. Oil Bear. Plant 2012, 15, 174–179. [Google Scholar] [CrossRef]
- El-hawary, S.S.; El-sofany, R.H.; Abdel-Monem, A.R.; Ashour, R.S. Phytochemical Screening, DNA Fingerprinting, and Nutritional Value of Plectranthus amboinicus (Lour.) Spreng. Pharmacogn. J. 2012, 4, 10–13. [Google Scholar] [CrossRef]
- Ragasa, C.Y.; Sangalang, V.; Pendon, Z.; Rideout, J.A. Antimicrobial flavones from Coleus amboinicus. Philippine J. Sci. 1999, 28, 347–351. [Google Scholar]
- Chiu, Y.J.; Huang, T.H.; Chiu, C.S.; Lu, T.C.; Chen, Y.W.; Peng, W.H.; Chen, C.Y. Analgesic and anti-inflammatory activities of the aqueous extract from Plectranthus amboinicus (Lour.) Spreng. both in vitro and in vivo. Evid Based Complement. Altern. Med. 2012, 2012, 1–11. [Google Scholar]
- Bhatt, P.; Joseph, G.S.; Negi, P.S.; Varadaraj, M.C. Chemical composition and nutraceutical potential of Indian borage (Plectranthus amboinicus) stem extract. J. Chem. 2013, 2013, 1–7. [Google Scholar] [CrossRef]
- Chen, Y.S.; Yu, H.M.; Shie, J.J.; Cheng, T.J.R.; Wu, C.Y.; Fang, J.M.; Wong, C.H. Chemical constituents of Plectranthus amboinicus and the synthetic analogs possessing anti-inflammatory activity. Bioorg. Med. Chem. 2014, 22, 1766–1772. [Google Scholar] [CrossRef] [PubMed]
- Negi, P.S. Plant extracts for the control of bacterial growth: Efficacy, stability and safety issues for food application. Int. J. Food Microbiol. 2012, 156, 7–17. [Google Scholar] [CrossRef] [PubMed]
- Vermelho, A.B.; Bastos, M.C.F.; Branquinha, M.H.S. Bacteriologia Geral; Cidade Universitária: Rio de Janeiro, Brazil, 2007. [Google Scholar]
- Frame, A.D.; Riosolivares, E.; de Jesus, L.; Ortiz, D.; Pagan, J.; Mendez, S. Plants from Puerto Rico with anti-Mycobacterium tuberculosis properties. P. R. Health Sci. J. 1998, 17, 243–253. [Google Scholar] [PubMed]
- Shubha, J.R.; Bhatt, P. Plectranthus amboinicus leaves stimulate growth of probiotic L. plantarum: Evidence for ethnobotanical use in diarrhea. J. Ethnopharmacol. 2015, 166, 220–227. [Google Scholar] [CrossRef] [PubMed]
- Ikigai, H.; Nakae, T.; Hara, Y.; Shimamura, T. Bactericidal catechins damage the lipid bilayer. Biochem. Biophys. Acta 1993, 1147, 132–136. [Google Scholar] [CrossRef]
- Otake, S.; Makimura, M.; Kuroki, T.; Nishihara, Y.; Hirasawa, M. Anticaries effects of polyphenolic compounds from Japanese green tea. Caries Res. 1991, 25, 438–443. [Google Scholar] [CrossRef] [PubMed]
- Akagawa, M.; Shigemitsu, T.; Suyama, K. Production of hydrogen peroxide by polyphenols and polyphenol-rich beverages under quasi-physiological conditions. Biosci. Biotechnol. Biochem. 2003, 67, 2632–2640. [Google Scholar] [CrossRef] [PubMed]
- Muniandy, K.; Hassan, Z.; Isa, M.H.M. The action of Coleus aromaticus as a potential wound healing agent in experimentally induced diabetic mice. PERINTIS E-J. 2014, 4, 1–30. [Google Scholar]
- Aguiar, J.J.S.; Sousa, C.P.B.; Araruna, M.K.A.; Silva, M.K.N.; Portelo, A.C.; Lopes, J.C.; Carvalho, V.R.A.; Figueredo, F.G.; Bitu, V.C.N.; Coutinho, H.D.M.; et al. Antibacterial and modifying-antibiotic activities of the essential oils of Ocimum gratissimum L. and Plectranthus amboinicus L. Eur. J. Integr. Med. 2015, 2, 151–156. [Google Scholar] [CrossRef]
- Vijayakumar, S.; Vinoj, G.; Malaikozhundan, B.; Shanthi, S.; Vaseeharan, B. Plectranthus amboinicus leaf extract mediated synthesis of Zinc Oxide nanoparticles and its control of methicillin-resistant Staphylococcus aureus biofilm and blood sucking mosquito larvae. Spectrochim. Acta A 2015, 137, 886–891. [Google Scholar] [CrossRef] [PubMed]
- Oliveira, R.A.G.; Lima, E.O.; de Souza, E.L.; Vieira, W.L.; Freire, K.R.L.; Trajano, V.N.; Lima, I.O.; Silva-Filho, R.N. Interference of Plectranthus amboinicus (Lour.) Spreng essential oil on the anti-Candida activity of some clinically used antifungals. Brazilian J. Pharmacog. 2007, 17, 186–190. [Google Scholar] [CrossRef]
- Hattori, M.; Nakabayashi, T.; Lim, Y.A.; Miyashiro, H.; Kurokawa, M.; Shiraki, K.; Gupta, M.P.; Correa, M.; Pilapitiya, U. Inhibitory effects of various Ayurvedic and Panamanian medicinal plants on the infection of Herpes Simplex Virus-1 in vitro and in vivo. Phytother. Res. 1995, 9, 270–276. [Google Scholar] [CrossRef]
- Kusumoto, I.T.; Nakabayashi, T.; Kida, H.; Miyashiro, H.; Hattori, M.; Namba, T.; Shimotohno, K. Screening of various plant extracts used in ayurvedic medicine for inhibitory effects on Human Immunodeficiency Virus-type 1 (HIV-1) protease. Phytother. Res. 1995, 9, 180–184. [Google Scholar] [CrossRef]
- Ali, A.M.; Mackeen, M.M.; Sharkawy, E.S.H.; Hamid, J.A.; Ismail, N.H.; Ahmad, F.B.H.; Lajis, N.H. Antiviral and cytotoxic activities of some plants used in malaysian indigenous medicine. Pertanika J. Trop. Agric. Sci. 1996, 19, 129–136. [Google Scholar]
- Morton, J.F. Country borage (Coleus amboinicus Lour.): A potent flavoring and medicinal plant. J. Herbs Spices Med. Plants 1992, 1, 77–90. [Google Scholar] [CrossRef]
- Jain, S.K.; Lata, S. Amazonian uses of some plants growing in India. Indig. Knowl. Dev. Monit. 1996, 4, 21–23. [Google Scholar]
- Ruiz, A.R.; de la Torre, R.A.; Alonso, N.; Villaescusa, A.; Betancourt, J.; Vizoso, A. Screening of medicinal plants for induction of somatic segregation activity in Aspergillus nidulans. J. Ethnopharmacol. 1996, 52, 123–127. [Google Scholar] [CrossRef]
- Carbajal, D.; Casaco, A.; Arruzazabala, L.; Gonzalez, R.; Fuentes, V. Pharmacological screening of plant decoctions commonly used in Cuban folk medicine. J. Ethnopharmacol. 1991, 33, 21–24. [Google Scholar] [CrossRef]
- Cano, J.H.; Volpato, G. Herbal mixtures in the traditional medicine of Eastern Cuba. J. Ethnopharmacol. 2004, 90, 293–316. [Google Scholar] [CrossRef] [PubMed]
- Cartaxoa, S.L.; Souzaa, M.M.A.; Albuquerque, U.P. Medicinal plants with bioprospecting potential used in semi-arid northeastern Brazil. J. Ethnopharmacol. 2010, 131, 326–342. [Google Scholar] [CrossRef] [PubMed]
- Lima, M.A.; Oliveira, F.F.M.; Gomes, G.A.; Lavor, P.L.; Santiago, G.M.; Nagao-Dias, A.T.; Arriaga, A.M.; Lemos, T.L.; Carvalho, M.G. Evaluation of larvicidal activity of the essential oils of plants species from Brazil against Aedes aegypti (Diptera: Culicidae). Afr. J. Biotechnol. 2011, 10, 11716–11720. [Google Scholar]
- Baranitharan, M.; Dhanasekaran, S. Mosquitocidal efficacies of medicinal plant of Coleus aromaticus Benth (Lamiaceae) leaf extracts Chikungunya vector, Aedes aegypti (Linn.) (Diptera: Culicidae). Int. J. Curr. Res. Chem. Pharm. Sci. 2014, 1, 61–67. [Google Scholar]
- Jayaraman, M.; Senthilkumar, A.; Venkatesalu, V. Evaluation of some aromatic plant extracts for mosquito larvicidal potential against Culex quinquefasciatus, Aedes aegypti, and Anopheles stephensi. Parasitol. Res. 2015, 114, 1511–1518. [Google Scholar] [CrossRef] [PubMed]
- Santos, F.A.V.; Serra, C.G.; Roberto, J.A.C.; Figueredo, F.G.; Matias, E.F.F.; Menezes, R.A.; Jose, G.M.; Henrique, D.M. Antibacterial activity of Plectranthus amboinicus Lour (Lamiaceae) essential oil against Streptococcus mutans. Eur. J. Integr. Med. 2015. [Google Scholar] [CrossRef]
- Ong, H.C.; Nordiana, M. Malay ethno-medico botany in Machang, Kelantan, Malaysia. Fitoterapia 1999, 70, 502–513. [Google Scholar] [CrossRef]
- Gurgel, A.P.; da Silva, J.G.; Grangiero, A.R.; Oliveira, D.C.; Lima, M.P.; Silva, A.C.; Oliveira, A.G.; Souza, I.A. In vivo study of the anti-inflammatory and antitumor activities of leaves from Plectranthus amboinicus (Lour.) Spreng (Lamiaceae). J. Ethnopharmacol. 2009, 125, 361–363. [Google Scholar] [CrossRef] [PubMed]
- Ramalakshmi, P.; Subramanian, N.; Saravanan, R.; Mohanakrishnan, H.; Muthu, M. Anticancer effect of Coleus amboinicus (Karpooravalli) on human lung cancer cell line (A549). Int. J. Dev. Res. 2014, 4, 2442–2449. [Google Scholar]
- Silitonga, M.; Ilyas, S.; Hutahaean, S.; Sipahutar, H. Levels of apigenin and immunostimulatory activity of leaf extracts of Bangun-bangun (Plectranthus amboinicus Lour). Int. J. Biol. 2015, 7, 46–53. [Google Scholar]
- De Padua, L.S. Some Medicinal Plants for Common Ailments; Techguid Series No. 14; National Book Store, Inc.: Mandaluyong, Philippines, 1988. [Google Scholar]
- Githinji, C.W. Ethnobotanical and Chemotaxonomic Study of Some Kenyan Medicinal Labiate Species. Master’s Thesis, University of Nairobi, Kenya, 1990. [Google Scholar]
- Githinji, C.W.; Kokwaro, J.O. Ethnomedicinal study of major species in the family Labiatae from Kenya. J. Ethnopharmacol. 1993, 39, 197–203. [Google Scholar] [CrossRef]
- Warriner, R.; Burrell, R. Infection and the chronic wound: A focus on Silver. Adv. Skin Wound Care 2005, 18, 2–12. [Google Scholar] [CrossRef] [PubMed]
- Sunitha, K.S.; Haniffa, M.A.; Milton, M.J.; Manju, A. Coleus aromaticus Benth act as an immunostimulant in Channa marulius. Int. J. Bio. Tech. 2010, 1, 55–59. [Google Scholar]
- Jain, A.K.; Dixit, A.; Mehta, S.C. Wound healing activity of aqueous extract of leaves and roots of Coleus aromaticus in rats. Acta Pol. Pharm. Drug. Res. 2012, 69, 1119–23. [Google Scholar]
- Soni, H.; Nayak, G.; Patel, S.S.; Mishra, K.; Singhai, A.K. Synergistic effect of polyherbal suspension of Punica granatum and Coleus aromaticus in evaluation of wound healing activity. J. Herb. Med. Toxicol. 2011, 5, 111–115. [Google Scholar]
- Hole, R.C.; Juvekar, A.R.; Roja, G.; Eapen, S.; D’Souza, S.F. Positive inotropic effect of the leaf extracts of parent and tissue culture plants of Coleus amboinicus on an isolated perfused frog heart preparation. Food Chem. 2009, 114, 139–141. [Google Scholar] [CrossRef]
- Franca, F.; Lago, E.L.; Marsden, P.D. Plants used in the treatment of leishmanial ulcers due to Leishmania (Viannia) braziliensis in an endemic area of Bahia, Brazil. Rev. Soc. Brasil. Med. Trop. 1996, 29, 229–232. [Google Scholar] [CrossRef]
- Harsha, V.H.; Hebbar, S.S.; Shripathi, V.; Hedge, G.R. Ethnomedicobotany of Uttara Kannada District in Karnataka, India; plants in treatment of skin diseases. J. Ethnopharmacol. 2003, 84, 37–40. [Google Scholar] [CrossRef]
- Bhat, P.; Hegde, G.; Hegde, G.R. Ethnomedicinal practices in different communities of Uttara Kannada district of Karnataka for treatment of wounds. J. Ethnopharmacol. 2012, 143, 501–514. [Google Scholar] [CrossRef] [PubMed]
- Selvakumar, P.; Naveena, B.E.; Prakash, B.D. Studies on the antidandruff activity of the essential oil of Coleus amboinicus and Eucalyptus globulus. Asian Pac. J. Trop. Biomed. 2012, 2, S715–S719. [Google Scholar] [CrossRef]
- Uawonggul, N.; Chaveerach, A.; Thammasirirak, S.; Arkaravichien, T.; Chuachan, C.; Daduang, S. Screening of plants acting against Heterometrus laoticus scorpion venom activity on fibroblast cell lysis. J. Ethnopharmacol. 2006, 103, 201–207. [Google Scholar] [CrossRef] [PubMed]
- Bhattacharjee, P.; Majumder, P. Investigation of phytochemicals and anti-convulsant activity of the plant Coleus amboinicus (Lour.). Int. J. Green Pharm. 2013, 7, 211–215. [Google Scholar]
- Yoganarasimhan, S.N. Medicinal Plants of India, Tamil Nadu; Srinivasan, V., Kosal Ram, N., Eds.; Cyber Media: Bangalore, India, 2000. [Google Scholar]
- Orient Longman. Indian Medicinal Plants; Microprint: Madras, India, 1995. [Google Scholar]
- Jose, A.M.; Ibrahim; Janardhanan, S. Modulatory effect of Plectranthus amboinicus Lour. on ethylene glycol-induced nephrolithiasis in rats. Indian J. Pharmacol. 2005, 37, 43–44. [Google Scholar] [CrossRef]
- Patel, R.; Mahobia, N.K.; Gendle, R.; Kaushik, B.; Singh, S.K. Diuretic activity of leaves of Plectranthus amboinicus (Lour) Spreng in male albino rats. Pharmacogn. Res. 2010, 2, 86–88. [Google Scholar] [CrossRef] [PubMed]
- Kumaran, A.; Karunakaran, J. Antioxidant and free radical scavenging activity of an aqueous extract of Coleus aromaticus. Food Chem. 2006, 97, 109–114. [Google Scholar] [CrossRef]
- Khanum, H.; Ramalakshmi, K.; Srinivas, P.; Borse, B.B. Synergistic antioxidant action of Oregano, Ajowan and Borage extracts. Food Nutr. Sci. 2011, 2, 387–392. [Google Scholar] [CrossRef]
- Harsha, V.H.; Hebbar, S.S.; Hegde, G.R.; Shripathi, V. Ethnomedical knowledge of plants used by Kunabi tribe of Karnataka in India. Fitoterapia 2002, 73, 281–287. [Google Scholar] [CrossRef]
- Neuwinger, H.D. African Traditional Medicine. A Dictionary of Plant Use and Applications; Medpharm Scientific Publishers: Stuttgart, Germany, 2000; pp. 406–408. [Google Scholar]
- Zepernick, B. Arzneipflanzer der Polynesier; Dietrich Reimer: Berlin, Germany, 1972. [Google Scholar]
- Purseglove, J.W. Tropical Plants. Dicotyledons; Longman Scientific & Technical: London, UK, 1987. [Google Scholar]
- Bodner, C.C.; Gereau, R.E. A contribution to Bontoc ethnobotany. Econ. Bot. 1988, 42, 307–369. [Google Scholar] [CrossRef]
- Brown, D. Grenada: Isle of spices. Herbs 1997, 22, 6–7. [Google Scholar]



| Country | Vernacular Names | Traditional Uses |
|---|---|---|
| Barbados | Poor man’s pork, Broad leaf thyme | Folk medicine, Culinary |
| Cambodia | Sak dam ray | Folk medicine, Culinary |
| China | Da shou xiang | Folk medicine, Home garden |
| Cuba | orégano; orégano de Cartagena | Folk medicine, Culinary |
| Fiji | Rhaivoki, Sage | Folk medicine, Culinary |
| Germany | Jamaika thymian | Folk medicine, Culinary |
| Guyana | Thick leaf thyme, broad leaf thyme | Folk medicine, Culinary |
| India | Indian Borage, Pashan Bhedi, Karpooravalli, Patharchur | Folk medicine, Culinary, Home garden |
| Indonesia | Torbangun, Daun Kutjing | Folk medicine, Culinary, Home garden |
| Malaysia | Daun bangun-bangun, Pokok bangun-bangun | Folk medicine, Culinary, Home garden |
| Philippines | Latai, Suganda, Oregano | Folk medicine, Culinary, Home garden |
| Puerto Rico | Puerto Rican oregano brujo, Cuban oregano | Folk medicine, Culinary |
| South Africa | Sup mint, French thyme, Indian mint | Folk medicine, Culinary, Home garden |
| Thailand | Hom duan huu suea, Niam huu suea | Folk medicine, Culinary |
| USA | Indian Borage, Country borage, Spanish thyme, Mexican mint, French thyme, Indian mint | Culinary, Home garden |
| Vietnam | Can day la | Folk medicine, Culinary |
| West Indies | French thyme, Spanish thyme, Broad-leaf thyme | Folk medicine, Culinary |
| Compound Name | Formula | Plant Origin/Part | Method | References |
|---|---|---|---|---|
| Monoterpene hydrocarbons | ||||
| δ-3-Carene | C10H16 | India, Malaysia, Morocco, Mauritius/Leaf | GC-MS | [29,30,31,32] |
| p-Cymene | C10H14 | Brazil, India, Cambodia, Malaysia, Venezuela/Aerial parts, Leaf | GC-MS | [12,13,14,29,32,33,34,35,36,37,38] |
| Limonene | C10H16 | India, Mauritius/Leaf | GC-MS | [29,30] |
| β-Myrcene | C10H16 | Cambodia, India, Venezuela /Leaf | GC-MS | [13,29,34,36,38] |
| Ocimene | C10H16 | Morocco/Leaf | GC-MS | [29,31] |
| α-Phellandrene | C10H16 | India, Comoros, Mauritius, Venezuela/Leaf | GC-MS | [29,30,31,38] |
| β-Phellandrene | C10H16 | India/Leaf | GC-MS | [14,35] |
| α-Pinene | C10H16 | India, CambodiRa /Leaf | GC-MS | [29,36] |
| β-Pinene | C10H16 | India/Leaf | GC-MS | [29] |
| Sabinene | C10H16 | Cambodia,India, Morocco /Leaf | GC-MS | [29,31,36] |
| α-Terpinene | C10H16 | India, Mauritius/Leaf | GC-MS | [14,29,30,34,35,39] |
| γ-Terpinene | C10H16 | Brazil, Cambodia, Malaysia, Mauritius India, /Leaf | GC-MS | [13,14,29,30,32,34,35,36,37] |
| α-Terpinolene | C10H16 | Morocco, Brazil/Leaf | GC-MS | [31,37] |
| α-Thujene | C10H16 | India, Comoros, Venezuela/Leaf | GC-MS | [14,29,31,35,38] |
| Oxygenated monoterpenes | ||||
| Camphor | C10H16O | Comoros, Malaysia, Mauritius/Leaf | GC-MS | [30,31,32] |
| Carvacrol | C10H14O | Cambodia, India, Malaysia, Mauritius, Venezuela/Aerial parts, Leaf, Flower | GC-MS | [12,13,14,28,29,30,32,33,34,35,38,39,40,41,42,43] |
| Carvone | C10H14O | India/Leaf | GC-MS | [29] |
| 1,8-Cineole | C10H18O | India/Leaf | GC-MS | [12,26,27,29,41] |
| Eugenol | C10H12O2 | Cambodia, India/Leaf | GC-MS | [29,36,39,40,41,44] |
| Geraniol | C10H18O | Mauritius/Leaf | GC-MS | [30] |
| Linalool | C10H18O | Comoros, Mauritius /Leaf | GC-MS | [30,31] |
| Methyl carvacrol | C11H16O | India/Leaf | GC-MS | [29] |
| Methyl eugenol | C11H14O2 | Cambodia/Leaf | GC-MS | [29,36] |
| α-Terpineol | C10H18O | India, Comoros, Venezuela /Leaf | GC-MS | [29,31,38] |
| Terpinen-4-ol | C10H18O | Brazil, India, Mauritius /Leaf | GC-MS | [12,13,29,30,31,37,39] |
| Thymol | C10H14O | Brazil, Cambodia, India, Venezuela/Aerial parts, Leaf | GC-MS | [12,13,14,29,33,34,35,37,38,39,40,41,44,45] |
| Thymol methyl ether | C11H16O | Brazil/Leaf | GC-MS | [37] |
| Sesquiterpene hydrocarbons | ||||
| α-Amorphene | C15H24 | Cambodia/Leaf | GC-MS | [36] |
| Aromadendrene | C15H24 | Brazil, India/Leaf | GC-MS | [34,37] |
| trans-α-Bergamotene | C15H24 | Brazil, Comoros, India, Venezuela /Leaf, Aerial parts, Flower | GC-MS | [13,31,33,37,38] |
| trans-β-Bergamotene | C15H24 | Cambodia/Leaf | GC-MS | [36] |
| γ-Cadinene | C15H24 | Cambodia/Leaf | GC-MS | [36] |
| δ-Cadinene | C15H24 | India, Cambodia/Leaf | GC-MS | [13,29] |
| α-Calacorene | C15H20 | India/Aerial parts | GC-MS | [33] |
| cis-Calamenene | C15H22 | Cambodia/Leaf | GC-MS | [36] |
| β-Caryophyllene | C15H24 | Brazil, India, Venezuela /Leaf, Flower | GC-MS | [13,29,31,33,34,37,38,41] |
| γ-Caryophyllene | C15H24 | India/Leaf | GC-MS | [42] |
| α-Copaene | C15H24 | Comoros, India /Leaf | GC-MS | [29,31] |
| α-Cubebene | C15H24 | India/Leaf, Aerial parts | GC-MS | [13,33] |
| (E,Z)-α-Farnesene | C15H24 | France /Leaf | GC-MS | [29,46] |
| Germacrene D | C15H24 | Cambodia/Leaf | GC-MS | [36] |
| γ-Gurjunene | C15H24 | India/Aerial parts | GC-MS | [33] |
| Humulene | C15H24 | Brazil, Cambodia, India, Morocco, Venezuela/Leaf, Aerial parts | GC-MS | [14,31,33,35,36,37,38,45] |
| α-Muurolene | C15H24 | Cambodia, France, Mauritius/Leaf | GC-MS | [30,36,46] |
| Patchoulene | C15H24 | India, Mauritius/Leaf | GC-MS | [30,42] |
| β-Selinene | C15H24 | India, Comoros/Leaf | GC-MS | [14,31,35,44] |
| β-Sesquiphellandrene | C15H24 | Cambodia/Leaf | GC-MS | [46] |
| Oxygenated sesquiterpenes | ||||
| Caryophyllene oxide | C15H24O | India, Cambodia, Venezuela /Leaf, Aerial parts | GC-MS | [13,14,29,33,35,36,38,39,44] |
| β-Cedrene epoxide | C15H24O | India/Aerial parts | GC-MS | [14,35] |
| β-Copaen-4-α-ol | C15H24O | India/Aerial parts | GC-MS | [14,35] |
| 1-Epi-cubenol | C15H26O | India/Aerial parts | GC-MS | [14,35] |
| β-Eudesmol | C15H26O | India/Leaf | GC-MS | [29] |
| β-Himachalene oxide | C15H24O | India/Aerial parts | GC-MS | [14,35] |
| Humulene oxide | C15H24O | India/Leaf | GC-MS | [29] |
| Spathulenol | C15H24O | India/Leaf | GC-MS | [12,39] |
| Others (Terpenes, phenylpropanoids, esters, fatty acids, alcohols, aldehyde) | ||||
| 1,2-Benzenediol 4-(1,1 dimethylethyl) | C10H14O2 | India/Leaf | GC-MS | [44] |
| Chavicol | C9H10O | India/Leaf | GC-MS | [27,40] |
| Methyl chavicol | C10H12O | India/Aerial parts | GC-MS | [14,33,35] |
| α-Corocalene | C15H20 | India/Aerial parts | GC-MS | [33] |
| Dihydro carveol | C10H18O | India/Aerial parts | GC-MS | [14,35] |
| Durohydroquinone | C10H14O2 | India/Leaf | GC-MS | [44] |
| 1,4 Eicosadiene | C20H38 | India/Leaf | GC-MS | [44] |
| Ethyl Salicylate | C9H10O3 | India/Leaf | GC-MS | [27,40] |
| (Z)-1,3-Hexadiene | C6H10 | France /Leaf | GC-MS | [46] |
| (Z)-3-Hexen-1-ol | C6H12O | France/Leaf | GC-MS | [29,46] |
| Methyl octanoate | C9H18O2 | India/Aerial parts | GC-MS | [14,35] |
| 1-Octen-3-ol | C8H16O | India, Mauritius, Venezuela/Leaf | GC-MS | [29,30,38,39] |
| Oleic acid | C18H34O2 | India/Leaf | GC-MS | [44] |
| 2-Phenyl ethyl tiglate | C13H16O2 | India/Aerial parts | GC-MS | [14,35] |
| Phytol | C20H40O | India/Leaf | GC-MS | [44] |
| Squalene | C30H50 | India/Leaf | GC-MS | [44] |
| Tetradecanal | C14H28O | India/Aerial parts | GC-MS | [14,35] |
| 3,7,11,15–Tetramethyl-2-hexadecen-1-ol | C20H40O | India/Leaf | GC-MS | [44] |
| Thymol acetate | C12H16O2 | India/Leaf | GC-MS | [29,39] |
| Trans-sabinene hydrate | C12H20O2 | India/Aerial parts | GC-MS | [14,35] |
| Undecanal | C11H22O | India/Aerial parts | GC-MS | [14,35] |
| Compound Name | Formula | Plant Origin/Part | Analytical Method | References |
|---|---|---|---|---|
| Phenolic acids | ||||
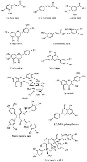
| Caffeic acid | C9H8O4 | India, Egypt/Leaf, stem, root (Methanol extract) | UV/NMR/UPLC/MS/HPLC | [48,51] |
| Gallic acid | C7H6O5 | India/Stem (Methanol extract) | HPLC | [51] |
| p-Coumaric acid | C9H8O3 | India, Egypt/Leaf, stem, root (Methanol and ethyl acetate fraction) | UV/NMR/UPLC/MS/HPLC | [48,51] |
| Rosmarinic acid | C18H16O8 | India, Egypt, Thailand/Leaf, stem, root (Methanol and ethyl acetate fraction) | UV/NMR/UPLC/MS/HPLC | [48,51,52] |
| Salvianolic acid A | C26H22O10 | Thailand/Aerial parts (Water extract) | UV/NMR/MS/HPLC | [52] |
| Shimobashiric acid | C36H32O16 | Thailand/Aerial parts (Water extract) | UV/NMR/MS/HPLC | [52] |
| Flavonoids | ||||
| Chrysoeriol | C16H12O6 | Philippines, Egypt/Leaf, stem, root (Chloroform extract; Ethyl acetate fraction) | UV/NMR/UPLC/MS | [48,49] |
| Cirsimaritin | C17H14O6 | Philippines/Leaf (Chloroform extract) | UV/NMR | [49] |
| Eriodictyol | C15H12O6 | Egypt/Leaf, stem, root (Ethyl acetate fraction) | UV/NMR/UPLC/MS | [48] |
| Luteolin | C15H10O6 | Egypt/Leaf, stem, root (Ethyl acetate fraction) | UV/NMR/UPLC-MS | [48] |
| Rutin | C27H30O16 | India/Stem (Methanol extract) | HPLC | [51] |
| Salvigenin | C18H16O6 | Philippines/Leaf (Chloroform extract) | UV/NMR | [49] |
| Thymoquinone | C10H12O2 | Thailand/Aerial parts (Water extract) | UV/NMR/MS/HPLC | [52] |
| Quercetin | C15H10O7 | Egypt/Leaf, stem, root (Ethyl acetate fraction) | UV/NMR/UPLC/MS/HPLC | [48,51] |
| 5,4′-Dihydroxy-6,7-dimethoxy flavone | C17H14O6 | Egypt/Leaf, stem, root (Ethyl acetate fractions) | UV/NMR/UPLC/MS | [48] |
| 5,4′-Dihydroxy-3,7-dimethoxy flavone | C17H14O6 | Egypt/Leaf, stem, root (Ethyl acetate fractions) | UV/NMR/UPLC/MS | [48] |
| 5-O-Methyl-luteolin | C16H12O6 | Egypt/Leaf, stem, root (Ethyl acetate fractions) | UV/NMR/UPLC/MS | [48] |
| 3,5,7,3′,4′-Pentahydroxy flavanone | C15H12O7 | Egypt/Leaf, stem, root (Ethyl acetate fractions) | UV/NMR/UPLC/MS | [48] |
| 4′,5,7-Trihydroxyflavone (apigenin) | C15H10O5 | Egypt/Leaf, stem, root (Ethyl acetate fractions) | UV/NMR/UPLC/MS | [48] |
| Pharmacological Activity | Plant Part Used | Bioactive Compound | Potential Effect | References |
|---|---|---|---|---|
| Antibacterial activity | Leaf extract/Essential oil/Decoction | Biogenic zinc oxide nanoparticles | Pam-ZnO NPs control the growth of methicillin-resistant Staphylococcus aureus biofilm; inhibits growth of Escherichia coli, Salmonella typhimurium & Mycobacterium tuberculosis. | [54,55,56,57,58,59,60,61,62,63] |
| Antifungal activity | Leaf extract/Essential oil | Carvacrol, p-Cymene, α-Terpinolene & β-caryophyllene | Fungitoxic properties against Aspergillus flavus, Aspergillus niger, Aspergillus ochraceus, Aspergillus oryzae, Candida versatilis, Fusarium sp. GF-1019, Penicillium sp., Saccharomyces cerevisiae, Candida albicans, C. tropicalis, C. krusei & C. stellatoidea. | [13,63] |
| Antiviral activity | Leaf/Ethanolic extract | - | Exhibited antiviral activity against viruses (VSV, HSV1 & HIV). | [28,64,65,66] |
| Activity against Respiratory diseases | Leaf extract/Decoction or juice/Essential oil | - | Used as folk medicine in brazil for influenza, cough, expectorant, bronchitis and throat problems; given orally to control asthma & catarrh; used as bronchodilator. | [11,12,67,68,69,70,71,72] |
| Lavicidal potential | Leaf extract/Essential oil | Pam-ZnO NPs (zinc oxide nanoparticles) | Exhibited up to 100% mortality in Anopheles stephensi, Culex quinquefasciatus & Culex tritaeniorhynchus. | [14,47,62,73,74,75] |
| Oral Diseases | Essential oil | Carvacrol | Antagonistic effect when used with mouthwash. | [76] |
| Digestive diseases (Diarrhea, Constipation, dyspepsia, indigestion & as carminative) | Leaf extract/Juice | - | Stimulates growth of Lactobacillus plantarum and inhibits growth of selected food-borne pathogens (Escherichia coli & Salmonella typhimurium); relieves constipation troubles; prevents formation of gas in the gastrointestinal tract & facilitates expulsion of gas | [30,56,67,68,77] |
| Antitumor activity | Leaf extract/Crude hydro alcoholic extracts | Flavone (Luteolin), flavonols | Inhibited the growth of sarcoma 180 & Ehrlich ascite carcinoma tumors in mice; showed significant anticancer activity through inducing apoptosis in A549 (human lung cancer) cell line. | [78,79] |
| Antiinflammatory activity | Aerial part/Ethanol, methanol & hexane extract | Rosmarinic acid, Shimobashiric acid, alvianolic acid L, Rutin, Thymoquinone, Quercetin | Concentration of 0.1 mg/mL inhibited 10%–50% DNA binding activities; inhibited the binding of AP-1 to its consensus DNA sequence; decreased carrageenan-induced paw edema up to 40%; significantly increased IgG, IgM & lysozyme activity in rats. | [34,50,52,78,80] |
| Analgesic activity | Leaf extract | - | Provides remedy for headache, backache & musculo-skeletal problems. | [52,81,82,83] |
| Wound healing activities | Leaf & Root Aqueous extract | - | Increased wound healing activity in experimentally induced diabetic mice & againt murrels. | [60,84,85,86,87] |
| Cardiovascular disorders | Leaf aqueous extract | - | Positive inotropic activity in the isolated frog heart; effective for treating congestive heart failure. | [67,88] |
| Skin disease (Anti-dandruff, Cuts, Skin Allergy; Burns) | Leaf extract/Essential oil/Leaf juice/Paste | Thymol, 1,8-Cineole, β-Pinene, α-pinene, phenolic compounds | Inhibits the growth of Malassezia furfur; applied on cut as antiseptic promoted better healing; paste was effective against skin allergies, skin burns. | [68,89,90,91,92] |
| Insect bites | Leaf aqueous extracts | - | Potency as antidote for scorpion (Heterometrus laoticus) venom with >50% efficiency. | [68,93] |
| Lactogenic properties | Leaf | Nutrient content (iron & carotene) | Increased breast milk in new mothers. | [80] |
| Anti-epileptic activity | Leaf, stem, root Extract (aqueous & alcoholic) | Alkaloids, flavonoids & saponins | Effective as an anticonvulsive and/or antiepileptic medicine. | [11,68,94] |
| Activity against Genitourinary diseases | Leaf Decoction/Ethanolic & aqueous leaf extract | - | Effective against urinary diseases in the Amazon & India; to relieve kidney troubles, treat vaginal discharges; used after childbirth; increased urine volume & electrolyte concentration in male albino rats. | [67,69,95,96,97,98] |
| Antioxidant activity | Leaf extracts/Essential oil | Carvocrol & Thymol | Exhibited significant inhibition in DPPH free radical & hydroxyl radical formation. | [16,34,99,100] |
| Other diseases | Leaf | - | Fevers, meningitis, eye diseases. | [67,101,102,103] |
| No. | Principles | Nutrient Content |
|---|---|---|
| 1. | Proteins | 0.6% |
| 2. | Vitamins | |
| + Ascorbic acid | 0.003% | |
| + Thiamine | 0.00008% | |
| 3. | Minerals | |
| + Calcium | 0.158% | |
| + Phosphorous | 0.016% | |
| + Potassium | 0.138% | |
| + Sodium | 0.0047% | |
| + Magnesium | 0.088% | |
| 4. | Trace metals | |
| + Iron | 0.262% | |
| + Zinc | 0.0003% | |
| + Copper | 0.00012% | |
| + Chromium | 0.000022% | |
| 5. | Soluble dietary fibers | 0.31% |
| 6. | Insoluble dietary fibers | 1.56% |
| 7. | Phytic acid | 0.00092% |
| 8. | Soluble oxalate | 0.02% |
© 2016 by the authors. Licensee MDPI, Basel, Switzerland. This article is an open access article distributed under the terms and conditions of the Creative Commons by Attribution (CC-BY) license ( http://creativecommons.org/licenses/by/4.0/).
Share and Cite
Arumugam, G.; Swamy, M.K.; Sinniah, U.R. Plectranthus amboinicus (Lour.) Spreng: Botanical, Phytochemical, Pharmacological and Nutritional Significance. Molecules 2016, 21, 369. https://doi.org/10.3390/molecules21040369
Arumugam G, Swamy MK, Sinniah UR. Plectranthus amboinicus (Lour.) Spreng: Botanical, Phytochemical, Pharmacological and Nutritional Significance. Molecules. 2016; 21(4):369. https://doi.org/10.3390/molecules21040369
Chicago/Turabian StyleArumugam, Greetha, Mallappa Kumara Swamy, and Uma Rani Sinniah. 2016. "Plectranthus amboinicus (Lour.) Spreng: Botanical, Phytochemical, Pharmacological and Nutritional Significance" Molecules 21, no. 4: 369. https://doi.org/10.3390/molecules21040369
APA StyleArumugam, G., Swamy, M. K., & Sinniah, U. R. (2016). Plectranthus amboinicus (Lour.) Spreng: Botanical, Phytochemical, Pharmacological and Nutritional Significance. Molecules, 21(4), 369. https://doi.org/10.3390/molecules21040369

