Discovery of a New Class of Sortase A Transpeptidase Inhibitors to Tackle Gram-Positive Pathogens: 2-(2-Phenylhydrazinylidene)alkanoic Acids and Related Derivatives
Abstract
:1. Introduction
2. Results and Discussion
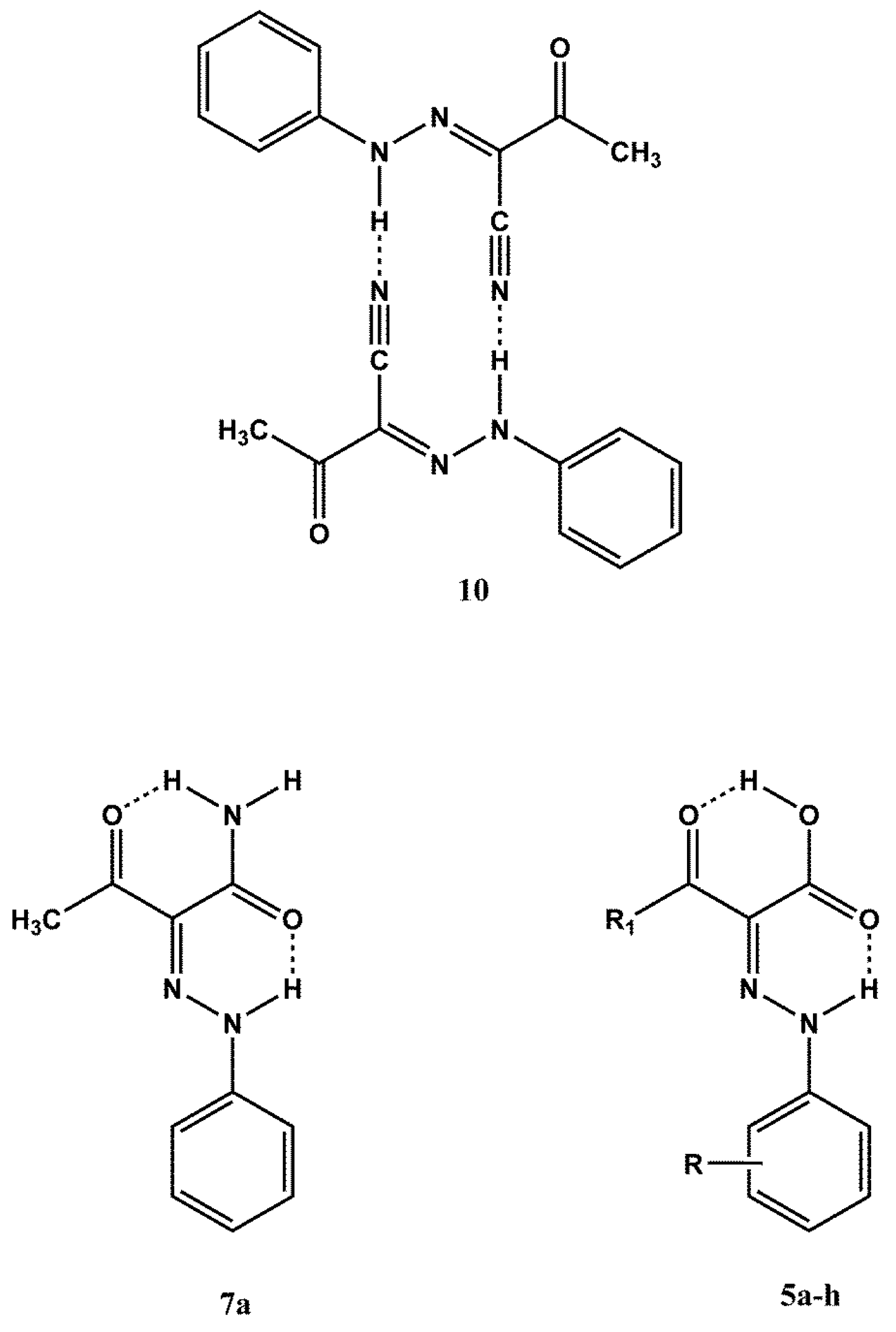
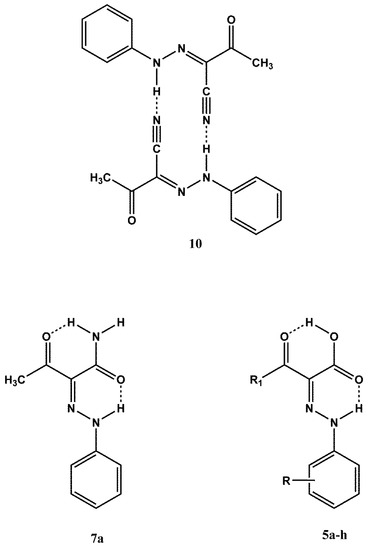
2.1. Chemistry
2.2. Biology
3. Experimental Section
3.1. Chemistry
3.1.1. General
3.1.2. General Procedure for the Synthesis of Compounds 1a–h
3.1.3. General Procedure for the Preparation of Compounds 5a–h
3.1.4. (2E)-3-Oxo-2-(2-phenylhydrazinylidene)butanenitrile (6a)
3.1.5. (2Z)-3-Oxo-2-(2-phenylhydrazinylidene)butanamide (7a)
3.2. Biology
3.2.1. Enzyme Activity Assay
3.2.1.1 Expression of Recombinant Sortase A
3.2.1.2. HTS Screening of Candidate Compounds and Secondary Assays of the Selected Hits and Synthesized Analogues 1a–h, 2a–h, 6a and 7a
3.3. Antibacterial and Antibiofilm Evaluation
3.3.1. Microbial Strains
3.3.2. Minimum Inhibitory Concentrations (MIC)
3.3.3. Biofilm Capability Evaluation (Safranin Method)
3.3.4. Interference with Biofilm Formation Assay
4. Conclusions
Supplementary Materials
Acknowledgments
Author Contributions
Conflicts of Interest
References
- World Health Organization. Combat Antimicrobial Resistance. Available online: http://www.who.int/world-health-day/2011/WHD201_FS_EN.pdf (accessed on 16 October 2015).
- Lowy, F.D. Staphylococcus aureus infections. Engl. J. Med. 1998, 339, 520–532. [Google Scholar] [CrossRef] [PubMed]
- Tang, Y.-W.; Stratton, C.W. Staphylococcus aureus: An old pathogen with new weapons. Clin. Lab. Med. 2010, 30, 179–208. [Google Scholar] [CrossRef] [PubMed]
- Scott, J.R.; Barnett, T.C. Surface proteins of Gram-positive bacteria and how they get there. Annu. Rev. Microbiol. 2006, 60, 397–423. [Google Scholar] [CrossRef] [PubMed]
- Høiby, N.; Bjarnsholt, T.; Givskov, M.; Molin, S.; Ciofu, O. Antibiotic resistance of bacterial biofilms. Int. J. Antimicrob. Agents 2010, 35, 322–332. [Google Scholar] [CrossRef] [PubMed]
- Fischetti, V.A.; Pancholi, V.; Schneewind, O. Conservation of a hexapeptide sequence in the anchor region of surface proteins from Gram-positive cocci. Mol. Microbiol. 1990, 4, 1603–1605. [Google Scholar] [CrossRef] [PubMed]
- Mazmanian, S.K.; Liu, G.; Jensen, E.R.; Lenoy, E.; Schneewind, O. Staphylococcus aureus sortase mutants defective in the display of surface proteins and in the pathogenesis of animal infections. Proc. Natl. Acad. Sci. USA 2000, 97, 5510–5515. [Google Scholar] [CrossRef] [PubMed]
- Tsompanidou, E.; Denham, E.L.; Sibbald, M.J.J.B.; Yang, X.-M.; Seinen, J.; Friedrich, A.W.; Buist, G.; van Dijl, J.M. The sortase A substrates FnbpA, FnbpB, ClfA and ClfB antagonize colony spreading of Staphylococcus aureus. PLoS ONE 2012, 7, e44646. [Google Scholar] [CrossRef] [PubMed]
- Chen, L.; Wen, Y. The role of bacterial biofilm in persistent infections and control strategies. Int. J. Oral Sci. 2011, 3, 66–73. [Google Scholar] [CrossRef] [PubMed]
- Cascioferro, S.; Cusimano, M.G.; Schillaci, D. Antiadhesion agents against Gram-positive pathogens. Future Microbiol. 2014, 9, 1209–1220. [Google Scholar] [CrossRef] [PubMed]
- Cascioferro, S.; Raffa, D.; Maggio, B.; Raimondi, M.V.; Schillaci, D.; Daidone, G. Sortase A Inhibitors: Recent Advances and Future Perspectives. J. Med. Chem. 2015, 58, 9108–9123. [Google Scholar] [CrossRef] [PubMed]
- Oh, K.-B.; Kim, S.-H.; Lee, J.; Cho, W.-J.; Lee, T.; Kim, S. Discovery of Diarylacrylonitriles as a Novel Series of Small Molecule Sortase A Inhibitors. J. Med. Chem. 2004, 47, 2418–2421. [Google Scholar] [CrossRef] [PubMed]
- Suree, N.; Yi, S.W.; Thieu, W.; Marohn, M.; Damoiseaux, R.; Chan, A.; Jung, M.E.; Clubb, R.T. Discovery and structure–activity relationship analysis of Staphylococcus aureus sortase A inhibitors. Bioorg. Med. Chem. 2009, 17, 7174–7185. [Google Scholar] [CrossRef] [PubMed]
- Zhang, J.; Liu, H.; Zhu, K.; Gong, S.; Dramsi, S.; Wang, Y.-T.; Li, J.; Chen, F.; Zhang, R.; Zhou, L.; et al. Antiinfective therapy with a small molecule inhibitor of Staphylococcus aureus sortase. Proc. Natl. Acad. Sci. USA 2014, 111, 13517–13522. [Google Scholar] [CrossRef] [PubMed]
- Maresso, A.W.; Wu, R.; Kern, J.W.; Zhang, R.; Janik, D.; Missiakas, D.M.; Duban, M.-E.; Joachimiak, A.; Schneewind, O. Activation of Inhibitors by Sortase Triggers Irreversible Modification of the Active Site. J. Biol. Chem. 2007, 282, 23129–23139. [Google Scholar] [CrossRef] [PubMed]
- Zhulenkovs, D.; Rudevica, Z.; Jaudzems, K.; Turks, M.; Leonchiks, A. Discovery and structure-activity relationship studies of irreversible benzisothiazolinone-based inhibitors against Staphylococcus aureus sortase A transpeptidase. Bioorg. Med. Chem. 2014, 22, 5988–6003. [Google Scholar] [CrossRef] [PubMed]
- Cascioferro, S.; Totsika, M.; Schillaci, D. Sortase A: An ideal target for anti-virulence drug development. Microb. Pathog. 2014, 77, 105–112. [Google Scholar] [CrossRef] [PubMed]
- Daidone, G.; Plescia, S.; Raffa, D.; Maggio, B.; Schillaci, D. Synthesis and evaluation of antimicrobial activity of new 4-nitroso and 4-diazopyrazole derivatives. Farmaco (Soc. Chim. Ital. 1989) 1992, 47, 203–217. [Google Scholar]
- Daidone, G.; Bajardi, M.; Plescia, S.; Raffa, D.; Schillaci, D.; Maggio, B.; Benetollo, F.; Bombieri, G. One-step synthesis, crystallographic studies and antimicrobial activity of new 4-diazopyrazole derivatives. Eur. J. Med. Chem. 1996, 31, 461–468. [Google Scholar] [CrossRef]
- Daidone, G.; Maggio, B.; Plescia, S.; Raffa, D.; Musiu, C.; Milia, C.; Perra, G.; Marongiu, M.E. Antimicrobial and antineoplastic activities of new 4-diazopyrazole derivatives. Eur. J. Med. Chem. 1998, 33, 375–382. [Google Scholar] [CrossRef]
- Schillaci, D.; Maggio, B.; Raffa, D.; Daidone, G.; Cascioferro, S.; Cusimano, M.G.; Raimondi, M.V. 4-Diazopyrazole Derivatives as Potential New Antibiofilm Agents. Chemotherapy 2008, 54, 456–462. [Google Scholar] [CrossRef] [PubMed]
- Raimondi, M.V.; Maggio, B.; Raffa, D.; Plescia, F.; Cascioferro, S.; Cancemi, G.; Schillaci, D.; Cusimano, M.G.; Vitale, M.; Daidone, G. Synthesis and anti-staphylococcal activity of new 4-diazopyrazole derivatives. Eur. J. Med. Chem. 2012, 58, 64–71. [Google Scholar] [CrossRef] [PubMed]
- Elguero, J.; Jaequier, R.; Tarrago, J.G. Structure des produits de copulation du chlorurre de phényldiazonium avec les β-dicétones e les β-cétoesters. Bull. Soc. Chim. France 1966, 2981–2989. [Google Scholar]
- Bose, A.K.; Kugajevsky, I. NMR spectral studies—IV: Some 15NH coupling constants. Tetrahedron 1967, 23, 1489–1497. [Google Scholar] [CrossRef]
- Bandyopadhyay, P.; Guha, L.; Seenivasagan, T.; Sathe, M.; Sharma, P.; Parashar, B.D.; Kaushik, M.P. Synthesis and bio-evaluation of aryl hydrazono esters for oviposition responses in Aedes albopictus. Bioorg. Med. Chem. Lett. 2011, 21, 794–797. [Google Scholar] [CrossRef] [PubMed]
- Ferguson, G.N.; Valant, C.; Horne, J.; Figler, H.; Flynn, B.L.; Linden, J.; Chalmers, D.K.; Sexton, P.M.; Christopoulos, A.; Scammells, P.J. 2-Aminothienopyridazines as Novel Adenosine A1 Receptor Allosteric Modulators and Antagonists. J. Med. Chem. 2008, 51, 6165–6172. [Google Scholar] [CrossRef] [PubMed]
- Pareek, A.K.; Joseph, P.E.; Seth, D.S. A convenient route for the synthesis and spectral characterization of substituted pyrazolones. Orient. J. Chem. 2009, 25, 735–738. [Google Scholar]
- Ballatore, C.; Brunden, K.; Crowe, A.; Huryn, D.; Lee, V.; Trojanowski, J.; Smith, A.; Huang, R.; Huang, W.; Johnson, R.; et al. Aminothienopyridazine Inhibitors of Tau Assembly. Patent WO2011037985 A8, 31 March 2011. [Google Scholar]
- Mitchell, A.; Nonhebel, D.C. Spectroscopic studies of tautomeric systems—III: 2-Arylhydrazones of 1,2,3-triketones. Tetrahedron 1979, 35, 2013–2019. [Google Scholar] [CrossRef]
- Jollimore, J.V.; Vacheresse, M.; Vaughan, K.; Hooper, D.L. The effect of ortho and para substituents on the formation of the E and Z isomers of the arylhydrazones obtained from diazonium coupling with methyl 3-aminocrotonate and 3-aminocrotononitrile. Can. J. Chem. 1996, 74, 254–262. [Google Scholar] [CrossRef]
- Gupta, S.C.; Mandal, D.K.; Rani, A.; Sahay, A.; Prasad, S.M. Ethyl 3-oxo-2-(2-phenyl-hydrazinylidene)butanoate: A re-determination. Acta Crystallogr. Sect. E Struct. Rep. Online 2011, 67. [Google Scholar] [CrossRef] [PubMed]
- Khudina, O.G.; Burgart, Y.V.; Shchegol’kov, E.V.; Saloutin, V.I.; Kazheva, O.N.; Chekhlov, A.N.; D’yachenko, O.A. Steric structure of alkyl 2-aryl(hetaryl)hydrazono-3-fluoroalkyl-3-oxopropionates. Russ. J. Org. Chem. 2009, 45, 801–809. [Google Scholar] [CrossRef]
- Saez, R.; Otero, M.D.; Batanero, B.; Barba, F. Microwave reaction of diazonium salts with nitriles. J. Chem. Res. 2008, 2008, 492–494. [Google Scholar] [CrossRef]
- Jirman, J.; Lyčka, A. 13C- and 15N-NMR spectra of phenylazoacetoacetamides and similar compounds. Dyes Pigm. 1987, 8, 55–62. [Google Scholar] [CrossRef]
- Prasad, N.; Prasad, R.M.; Sahay, A.; Srivastava, A.K. Prasad, Studied on Arylhydrazones, Part IX: Action of Perchloric Acid Formic Acid on Diethyl Mesoxalate Phenylhydrazones, 2,3-Dioxo-2-(phenylhydrazono)butyrate and Cyano Phenylhydrazones. J. Asian J. Chem. 1994, 6, 901–910. [Google Scholar]
- Rani, A.; Saha, A.P.; Prasad, S.M. 3-Oxo-2-(pheylhydrazono)butanoic acid. Acta Crystallogr. Sect. E Struct. Rep. Online 2002, 58, o1001–o1002. [Google Scholar] [CrossRef]
- Al-Mousawi, S.M.; Moustafa, M.S. 2-Arylhydrazononitriles as building blocks in heterocyclic synthesis: A novel route to 2-substituted- 1,2,3-triazoles and 1,2,3-triazolo[4,5-b]pyridines. Beilstein J. Org. Chem. 2007, 3. [Google Scholar] [CrossRef] [PubMed]
- Frankel, B.A.; Bentley, M.; Kruger, R.G.; McCafferty, D.G. Vinyl sulfones: inhibitors of SrtA, a transpeptidase required for cell wall protein anchoring and virulence in Staphylococcus aureus. J. Am. Chem. Soc. 2004, 126, 3404–3405. [Google Scholar] [CrossRef] [PubMed]
- Ton-That, H.; Liu, G.; Mazmanian, S.K.; Faull, K.F.; Schneewind, O. Purification and characterization of sortase, the transpeptidase that cleaves surface proteins of Staphylococcus aureus at the LPXTG motif. Proc. Natl. Acad. Sci. USA 1999, 96, 12424–12429. [Google Scholar] [CrossRef] [PubMed]
- Zhulenkovs, D.; Jaudzems, K.; Zajakina, A.; Leonchiks, A. Enzymatic activity of circular sortase A under denaturing conditions: An advanced tool for protein ligation. Biochem. Eng. J. 2014, 82, 200–209. [Google Scholar] [CrossRef]
- Huang, X.; Aulabaugh, A.; Ding, W.; Kapoor, B.; Alksne, L.; Tabei, K.; Ellestad, G. Kinetic mechanism of Staphylococcus aureus sortase SrtA. Biochemistry 2003, 42, 11307–11315. [Google Scholar] [CrossRef] [PubMed]
- Schillaci, D.; Petruso, S.; Raimondi, M.V.; Cusimano, M.G.; Cascioferro, S.; Scalisi, M.; La Giglia, M.A.; Vitale, M. Pyrrolomycins as potential anti-staphylococcal biofilms agents. Biofouling 2010, 26, 433–438. [Google Scholar] [CrossRef] [PubMed]


| 3,4 | a | b | c | d | e | f |
|---|---|---|---|---|---|---|
| R | H | 3-4,Cl2 | 3-Cl | 4-NO2 | 3,4,5-OCH3 | 4-CH3 |
| 1,5,6,7 | a | b | c | d | e | f | g | h |
|---|---|---|---|---|---|---|---|---|
| R | H | 3-4,Cl2 | 3-Cl | 4-NO2 | 3,4,5-OCH3 | 4-CH3 | H | 3-4,Cl2 |
| R1 | CH3 | CH3 | CH3 | CH3 | CH3 | CH3 | C6H5 | C6H5 |


| Entry | Compounds | IC50 µM |
|---|---|---|
| 1 | 1a | 192 |
| 2 | 1b | ns |
| 3 | 1c | ns |
| 4 | 1d | 100 |
| 5 | 1e | 110 |
| 6 | 1f | ns |
| 7 | 1g | ns |
| 8 | 1h | ns |
| 9 | 5a | 80 |
| 10 | 5b | 50 |
| 11 | 5c | 87 |
| 12 | 5d | 57 |
| 13 | 5e | 92 |
| 14 | 5f | 100 |
| 15 | 5g | 98 |
| 16 | 5h | 100 |
| 17 | 6a | 80 |
| 18 | 7a | 120 |
| 19 | PVS 1 | 736 |
| 20 | BC 2 | 120 |
| 21 | DPDAP 3 | 10 |
| Comp. | Percentages of Inhibition of Biofilm Formation | |||
|---|---|---|---|---|
| S. aureus 25923 | S. aureus 29213 | S. aureus 6538 | S. epidermidis RP62A | |
| 5a | 68.3 ± 2.0 | 62.3 ± 1.5 | 60.1 ± 1.7 | 61.5 ± 1.2 |
| 5b | 39.2 ± 1.4 | 71.3 ± 6.4 | 22.0 ± 0.9 | 29.1 ± 1.4 |
| 5c | 41.1 ± 0.7 | 69 ± 4.6 | 30.3 ± 0.4 | 22.9 ± 1.3 |
| 5d | 45.3 ± 1.7 | 73.7 ± 0.8 | 53.6 ± 1.8 | 48.6 ± 1.6 |
| 5e | 28.8 ± 2.9 | 34.8 ± 1.3 | 48.2 ± 0.9 | 27.1 ± 1.2 |
| 5f | 33.8 ± 2.7 | 40.8 ± 2.1 | 40.3 ± 1.9 | 24.4 ± 0.9 |
| 5g | 36.8 ± 2.1 | 36.9 ± 1.2 | 41.9 ± 1.7 | 23.7 ± 0.7 |
| 5h | 55.9 ± 2.6 | 42.7 ± 3.7 | 70.1 ± 2.1 | 45.4 ± 1.6 |
| 6a | 45.1 ± 2.9 | 46.2 ± 2.3 | 51 ± 0.9 | 34.8 ± 1.8 |
| 7a | 42.1 ± 1.8 | 48.2 ± 2.9 | 42.8 ± 1.1 | 45.9 ± 2.1 |
- Sample Availability: Samples of all compounds are available from the authors.
© 2016 by the authors. Licensee MDPI, Basel, Switzerland. This article is an open access article distributed under the terms and conditions of the Creative Commons by Attribution (CC-BY) license ( http://creativecommons.org/licenses/by/4.0/).
Share and Cite
Maggio, B.; Raffa, D.; Raimondi, M.V.; Cascioferro, S.; Plescia, F.; Schillaci, D.; Cusimano, M.G.; Leonchiks, A.; Zhulenkovs, D.; Basile, L.; et al. Discovery of a New Class of Sortase A Transpeptidase Inhibitors to Tackle Gram-Positive Pathogens: 2-(2-Phenylhydrazinylidene)alkanoic Acids and Related Derivatives. Molecules 2016, 21, 241. https://doi.org/10.3390/molecules21020241
Maggio B, Raffa D, Raimondi MV, Cascioferro S, Plescia F, Schillaci D, Cusimano MG, Leonchiks A, Zhulenkovs D, Basile L, et al. Discovery of a New Class of Sortase A Transpeptidase Inhibitors to Tackle Gram-Positive Pathogens: 2-(2-Phenylhydrazinylidene)alkanoic Acids and Related Derivatives. Molecules. 2016; 21(2):241. https://doi.org/10.3390/molecules21020241
Chicago/Turabian StyleMaggio, Benedetta, Demetrio Raffa, Maria Valeria Raimondi, Stella Cascioferro, Fabiana Plescia, Domenico Schillaci, Maria Grazia Cusimano, Ainars Leonchiks, Dmitrijs Zhulenkovs, Livia Basile, and et al. 2016. "Discovery of a New Class of Sortase A Transpeptidase Inhibitors to Tackle Gram-Positive Pathogens: 2-(2-Phenylhydrazinylidene)alkanoic Acids and Related Derivatives" Molecules 21, no. 2: 241. https://doi.org/10.3390/molecules21020241
APA StyleMaggio, B., Raffa, D., Raimondi, M. V., Cascioferro, S., Plescia, F., Schillaci, D., Cusimano, M. G., Leonchiks, A., Zhulenkovs, D., Basile, L., & Daidone, G. (2016). Discovery of a New Class of Sortase A Transpeptidase Inhibitors to Tackle Gram-Positive Pathogens: 2-(2-Phenylhydrazinylidene)alkanoic Acids and Related Derivatives. Molecules, 21(2), 241. https://doi.org/10.3390/molecules21020241

