Abstract
A novel series of 5H-chromenopyridines was identified as anticancer agents in our continuing effort to discover and develop new small molecule anti-proliferative agents. Based on our initial lead SP-6-27 compound, we designed and synthesized novel tricyclic 5H-thiochromenopyridine and 5H-chromenopyridine analogs to evaluate the impact of an additional ring, as well as conformational flexibility on cytotoxic activity against human melanoma and glioma cell lines. All of the 5H-thiochromenopyridines have been achieved in good yields (89%–93%) using a single-step, three-component cyclization without the need for purification. The 5H-chromenopyridine analog of the potent 5H-thiochromenopyride was obtained in a good yield upon purification. All newly-prepared 5H-thiochromenopyridines showed good to moderate cytotoxicity against three melanoma and two glioma cell lines (3–15 μM). However, the 5H-chromenopyridine analogue that we prepared in our laboratory lost cytotoxic activity. The moderate cytotoxic activity of 5H-thiochromenopyridines shows the promise of developing chromenopyridines as potential anticancer agents.
1. Introduction
On a global scale, cancer is a major public health problem [1]. At present, one quarter of all deaths in the USA are caused by cancer [2]. A wide variety of anti-cancer agents has been described for the treatment of various kinds of cancers, including glioma and melanoma. However, many of these agents show a major failure in terms of drug resistance and toxicity. Hence, there is an emerging need for the discovery and development of novel anticancer agents to overcome drug resistance and toxicity issues.
Recently, chromene analogs have emerged as potent anticancer agents, and crolibulin is currently in a phase II clinical trial for anaplastic thyroid cancer with the National Cancer Institute (NCI) [3,4] (Figure 1).
Figure 1.
Chromene-based anti-cancer agents.
Figure 1.
Chromene-based anti-cancer agents.

Our recent anticancer screening program identified SP-6-27 as one of the potent anticancer agents in vitro [5]. The 60 National Cancer Institute Developmental Therapeutic preclinical cancer cell lines screen indicated that SP-6-27 has consistent anti-proliferative activity against nine major cancer cell lines and has been selected for further in vivo testing [6]. Although there are a number of articles demonstrating bicyclic chromenes as anti-cancer agents [4,5,7,8,9,10,11,12,13], there are only a few reports on tricyclic chromenopyridines as anti-proliferative candidates [14,15]. Thus, the aim of the present study is to determine the potential of the novel tricyclic chromenopyridines as anticancer agents. In light of our recent success with SP-6-27, it would be interesting to envisage the biological activities of two different templates of tricyclic chromenopyridines, rigid 5H-substituted-chrominopyridines (Template A; Figure 2) and relatively flexible 5H-sustituted-thiochromenopyridines (Template B; Figure 2).
Figure 2.
Hypothesized chromenopyridines.
Figure 2.
Hypothesized chromenopyridines.

We thought that additional flexibility in Template B type molecules, conferred by the inserted sulfur atom, could play a crucial role in biological activity.
Briefly, starting with SP-6-27, we were interested in determining the effect of an additional ring (Template A-type molecules; Figure 2) and a combination of both an additional ring, as well as flexibility (Template B-type candidates; Figure 2) on cytotoxic activity on human melanoma and glioma cell lines. Here, we report the optimal structural requirements of the linear tricyclic chromenopyridines for biological activity.
2. Results and Discussion
The development of a single-step, multicomponent reaction strategy to prepare a small library of compounds was of considerable interest. Anderson et al. first reported the synthesis of 5H-substituted-chromenopyridines (Template A-type; Figure 2) utilizing two-step condensation of 3H-substituted-phenol with an arylmethylidene derivative of malonitrile and malonitrile, respectively [16]. In the following year, Melekhin et al. reported a single-step, two-component preparation of 5H-substituted-chromenopyridines (Template A-type; Figure 2) via condensation of resorcinol with an arylmethylidene derivative of the malonitrile dimer [17]. To the best of our knowledge, Evdokimov et al. are the first to demonstrate a single-step, three-component cyclization technique, which utilized salicylaldehyde, thiophenol and malonitrile, to prepare 5H-substituted-thiochromenopyridines (Template B-type; Figure 2) [18]. Recently, Ghomi et al. demonstrated tin oxide nanoparticles, as well as zirconium nanoparticle as efficient catalysts to promote four-component cyclization of salicylaldehyde, thiols and two equivalent malonitriles, resulting in 5H-substituted-thiochromenopyridines in a good yield [19,20]. Here, we report an efficient, as well as fast three-component cyclization reaction, which works both under normal reflux and microwave irradiation, to prepare 5H-substituted-thiochromenopyridines, as shown in Scheme 1. The synthetic procedure for the preparation of six 5H-substituted-thiochromenopyridines (1a–1f), consisting of the C8-methoxy substituent, is presented in Scheme 1.
Briefly, 4-methoxy-salicylaldehyde was subjected to a three-component cyclization reaction with 2-amino-1,1,3-propenetricarbonitrile (malonitrile dimer) and the aromatic thiol of interest, employing a catalytic amount of trimethylamine in ethanol under a refluxing condition. The desired thiochromenopyridines were obtained in great yields upon simple recrystallization, ruling out the need for a tedious purification process. At this point, we made an effort to prepare a few thiochromenopyridines consisting of C8-dimethylamino substituents utilizing 4-dimethylamino-salisaldehyde following the same synthetic method. Scheme 2 demonstrates our effort to prepare C8-dimethylamino-thiochromenopyridines.
Scheme 1.
Classical synthesis of 5H-substituted-thiochromenopyridines.
Scheme 1.
Classical synthesis of 5H-substituted-thiochromenopyridines.

Scheme 2.
Synthesis of 5H-substituted-thiochromenopyridine.
Scheme 2.
Synthesis of 5H-substituted-thiochromenopyridine.

To our surprise, 4-dimethylamino-salisaldehyde was observed as unreacted and 4-methoxy-thiophenol reacted with the malonitrile dimer to afford the undesired, highly-substituted pyridine derivative 2. At this point, we thought of employing two equivalents of malonitriles, as demonstrated by Evdokimov et al. [18], instead of the malonitrile dimer. Interestingly, the reactions worked as desired. Scheme 3 demonstrates our second and successful attempt to prepare three thiochromenopyridines (1g–1i) consisting of the C8-dimethylamino substituent.
Scheme 3.
Classical synthesis of 5H-substituted-thiochromenopyridines.
Scheme 3.
Classical synthesis of 5H-substituted-thiochromenopyridines.

This finding suggests that unlike the malonitrile dimer, two equivalents of malonitrile work both for electron-deficient and electron-rich salisaldehyde. In continuation, we made an effort to conduct the three-component cyclization under microwave irradiation utilizing two equivalents of malonitrile in order to further shorten the reaction time. Our effort to achieve eight 5H-substituted-thiochromenopyridines is summarized in Scheme 4. Under controlled microwave irradiation, the reaction time is further shortened to 10 min. However, the yield is compromised to 30%–45%.
Scheme 4.
Microwave-assisted synthesis of 5H-substituted-thiochromenopyridines.
Scheme 4.
Microwave-assisted synthesis of 5H-substituted-thiochromenopyridines.

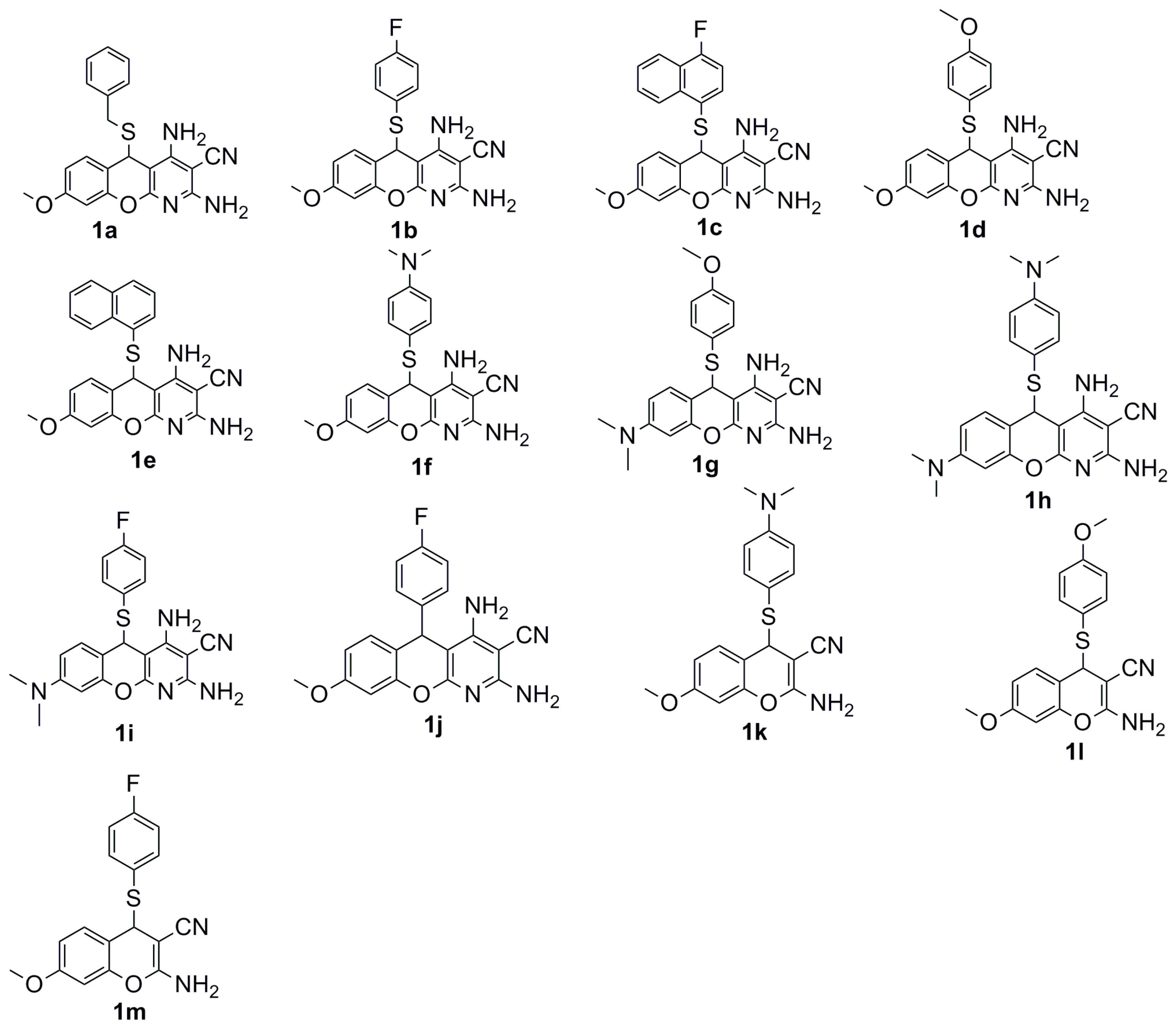
In this study, ten 5H-substituted-chromenopyridines (1a–1j), as well as three 4H-substituted chromenes (1k–1m) were designed and synthesized, as shown in Figure 3.
Figure 3.
Synthesized chromenopyridines and chromenes.
Figure 3.
Synthesized chromenopyridines and chromenes.

Upon obtaining nine 5H-substituted-thiochromenopyridines (1a–1i), we tested their antiproliferative activity against three melanoma cell lines and two glioma cell lines in vitro. Table 1 represent the IC50 values of the prepared compounds against three melanoma and two glioma cell lines. Interestingly, all nine compounds are found moderately active against melanoma cell lines, and eight of them are observed as moderately active against glioma cell lines, as indicated by Table 1. Interestingly, Compound 1a, consisting of a benzyl head group, is tolerated in melanoma cell lines, but not in glioma cell lines. It is noteworthy that the C8-methoxy substituent offers better activity in both cell lines compared to the C8-dimethylamino substituent. Table 1 suggests that 1b and 1c are the two most potent compounds (IC50 ~ 3.6 μM) against melanoma. Likewise, 1e and 1f are the two most potent for glioma cell lines with IC50 values in the 3 μM range. This finding also suggests that the fluoro head group (1b, 1c) is preferentially active against the melanoma cell lines, and the dimethylamino head group (1f) is preferentially active against the glioma cell lines. At this point, we decided to prepare Template A-type chromenopyridines (Figure 2) that do not consist of flexible carbon-sulfur-carbon bonds. We thought that this may provide insight into the role of flexibility offered by the carbon-sulfur-carbon bonds (1a–1i) for the biological activity. We chose to prepare Template A-type derivatives of 1b and 1f based on the observed activity. Scheme 5 demonstrates our effort to prepare rigid 5H-substituted-chromenopyridine following the procedure demonstrated by Melekhin et al. [17] However, only 1j, a rigid analogue of 1b, worked out in our hands, as summarized in Scheme 5. To our surprise, 1j was observed as inactive against all melanoma and glioma cell lines. Hence, this finding suggests that the flexibility offered by carbon-sulfur-carbon bonds (1a–i1) is critical for cytotoxic activity. However, we have learned from SP-6-27 that rigid chromenes are active. To the best of our knowledge, there is no report on the cytotoxicity of the 4H-substituted-thiochromenes.
Table 1.
Anti-proliferative activity of prepared chromenopyridine and chromene analogues.
| Compound ID | IC50 ± SEM (µM) | ||||
|---|---|---|---|---|---|
| A375 | WM164 | MDA-MB-435 | SJG2 | MT330 | |
| 1a | 6.4 ± 0.8 | 7.5 ± 1.2 | 7.4 ± 0.8 | > 30 | > 30 |
| 1b | 6.7 ± 1.5 | 3.5 ± 1.2 | 3.7 ± 0.8 | 4.7 ± 5 | 6.1 ± 1.9 |
| 1c | 6.3 ± 0.7 | 3.6 ± 0.6 | 4.1 ± 0.4 | 5.6 ± 0.8 | 5.6 ± 0.8 |
| 1d | 7.0 ± 0.9 | 6.6 ± 1.0 | 6.5 ± 0.6 | 5.2 ± 1.4 | 4.6 ± 0.1 |
| 1e | 5.3 ± 0.7 | 5.7 ± 1.4 | 6.0 ± 0.8 | 3.1 ± 2.8 | 4.5 ± 0.9 |
| 1f | 5.7 ± 0.4 | 5.6 ± 0.6 | 7.1 ± 0.5 | 3.3 ± 2.7 | 5.2 ± 0.0 |
| 1g | 7.2 ± 1.4 | 9.7 ± 2.7 | 9.7 ± 2.6 | 5.1 ± 0.1 | 5.4 ± 0.0 |
| 1h | 16.8 ± 0.4 | 25.9 ± 3.5 | 19.1 ± 1.3 | 5.3 ± 0.2 | 8.3 ± 0.0 |
| 1i | 10.6 ± 0.6 | 15.0 ± 2.2 | 8.9 ± 0.7 | 5.1 ± 0.5 | 5.1 ± 0.0 |
| 1j | >30 | >30 | 21.9 ± 4.4 | ND | ND |
| 1k | >30 | >30 | >30 | ND | ND |
| 1l | >30 | >30 | >30 | ND | ND |
| 1m | >30 | >30 | >30 | ND | ND |
| SP-6-27 | 0.08 ± 0.01 | 0.16 ± 0.03 | ND | 0.07 ± 0.02 | 0.05 ± 0.03 |
| Colchicine | 0.02 ± 0.01 | 0.03 ± 0.02 | ND | NT | NT |
Note. ND, activity not detected. The upper limit of activation is 30 µM. NT, not tested against those cell lines.
Hence, it would be interesting to see if the flexibility offered by the bicyclic 4H-substituted thiochromenes is tolerated.
Scheme 5.
Synthesis of 5H-substituted-chromenopyridine.
Scheme 5.
Synthesis of 5H-substituted-chromenopyridine.

Scheme 6 describes our efforts to prepare three 4H-substituted thiochromenes (1k–1m) following the technique demonstrated by Evdokimov et al. [18].
Scheme 6.
Synthesis of 4H-substituted-thiochromenes.
Scheme 6.
Synthesis of 4H-substituted-thiochromenes.

Interestingly, none of the thiochromenes (1k–1m) were found to be active against both cell lines.
Briefly, our initial findings suggest that the tricyclic thiochromenopyridines (1a–1i) have potential to be developed as novel anti-cancer agents. However, the activity is limited to the lower micromolar range. Hence, additional research is needed to optimize the activity of these compounds.
3. Experimental Section
3.1. Chemistry
3.1.1. General
All reagents were purchased from Sigma-Aldrich Chemical Co. (St. Louis, MO, USA) and were used without further purification. The solvents for moisture-sensitive reactions were freshly distilled, and the reactions were carried out in an argon atmosphere. Routine thin-layer chromatography (TLC) was performed on aluminum-backed Uniplates (Analtech, Newark, DE, USA). Nuclear magnetic resonance spectra were obtained on a Varian Inova-500 spectrometer (Agilent, Santa Clara, CA, USA) or a Bruker Avance III 400 MHz (Bruker BioSpin, Billerica, MA, USA) spectrometer. Chemical shifts are reported as parts per million (ppm) relative to TMS in CDCl3. Mass spectra were collected on a Bruker ESQUIRE electrospray/ion trap instrument (Bruker Daltonics Inc., Billerica, MA, USA) in positive and negative ion modes. Elemental analysis (C, H, N) was performed by Atlantic Microlab, Inc. (Norcross, GA, USA), and results were within ±0.4% of the theoretical values for the formula given. Yields refer to purified products.
3.1.2. General Procedure for the Synthesis of 5H-Substituted-Thiochromenopyridines (1a–1f) under Regular Reflux
An amount of 2-amino-1,1,3-propenetricarbonitrile (1 mmol), desired thiophenol or thionapthanol (1 mmol) and triethyl amine (0.1 mmol) were added in a solution of 4-methoxy-salisaldehyde (1 mmol) in 7 mL EtOH. The resulting mixture was allowed to reflux over 4 h, at which point the product precipitates out of the solution. The resulting precipitate was filtered and dried under vacuum. The residue was then dissolved in 3 mL DMF. The insoluble particles were filtered off. A volume of 4 mL H2O was then poured into the resulting filtrate, leading to the precipitation of the pure product out of the solution. The precipitates were filtered off and dried under vacuum, leading to the pure 5H-substituted-thiochromenopyridines (89% to 91%) as light yellowish solids.
2,4-Diamino-5-(benzylthio)-8-methoxy-5H-chromeno[2,3-b]pyridine-3-carbonitrile (1a): Compound 1a was prepared following the general procedure for the preparation of Compounds 1a–1f. An amount of 355 mg (0.91 mmol, 91%) 1a was obtained as a light yellowish solid. 1H-NMR (DMSO-d6, 400 MHz): δ 7.26 (m, 1H), 7.17 (m, 3H), 7.05 (m, 2H), 6.79 (m, 3H), 6.67 (m, 1H), 6.53 (bs, 2H), 5.44 (s,1H), 3.78 (s, 3H), 3.45 (m, 2H). 13C-NMR (DMSO-d6, 100 MHz): δ 159.7, 159.6, 159.3, 159.5, 151.8, 137.5, 129.3, 128.6, 128.1, 126.5, 116.4, 114.4, 111.1, 101.0, 87.1, 70.6, 55.4, 38.1, 32.7. MP = 193.4 °C. Anal. calcd. for C21H18N4O2S C, 64.60; H, 4.65; N, 14.35. Found C, 64.42; H, 4.72; N, 14.40.
2,4-Diamino-5-((4-fluorophenyl)thio)-8-methoxy-5H-chromeno[2,3-b]pyridine-3-carbonitrile (1b): Compound 1b was prepared following the general procedure for the preparation of Compounds 1a–1f. An amount of 367 mg (0.93 mmol, 93%) 1b was obtained as a light yellowish solid. 1H-NMR (DMSO-d6, 400 MHz): δ 7.12 (m, 1H), 6.97 (m, 4H), 6.75 (m, 3H), 6.50 (bs, 2H), 6.40 (m, 1H), 5.68 (s, 1H), 3.73 (s, 3H). 13C-NMR (DMSO-d6, 100 MHz): δ 164.0, 161.5, 159.6 , 159.3, 156.3, 1518, 138.4, 129.5, 126.5, 116.5, 115.3, 113.5, 110.9, 100.3, 86.3, 70.3, 55.4, 43.0. 19F-NMR (DMSO-d6, 400 MHz) δ −111.72 (external standard, trifluoroacetic acid, δ −75.56). MP = 219.4 °C. Anal. calcd. for C20H15FN4O2S C, 60.90; H, 3.83; N, 14.20. Found C, 61.01; H, 4.02; N, 14.26.
2,4-Diamino-5-((4-fluoronaphthalen-1-yl)thio)-8-methoxy-5H-chromeno[2,3-b]pyridine-3-carbonitrile (1c): Compound 1c was prepared following the general procedure for the preparation of Compounds 1a–1f. An amount of 400 mg (0.90 mmol, 90%) 1c was obtained as a light yellowish solid. 1H-NMR (DMSO-d6, 400 MHz): δ 7.94 (d, 1H, J = 7.76 Hz), 7.80 (m, 1H), 7.50 (t, 1H, J = 7.76 Hz), 7.29 (t, 1H, J = 7.76 Hz), 7.20 (d, 1H, J = 7.76 Hz), 7.09 (m, 1H), 7.0 (bs,2H). 6.85 (m, 1H), 6.71 (m, 1H), 6.31 (bs, 2H), 6.12 (m, 1H), 5.82 (s, 1H), 3.66 (s, 3H). 13C-NMR (DMSO-d6, 100 MHz): δ 160.2, 159.5, 159.4, 157.6, 156.4, 152.0, 137.2, 136.7, 129.4, 126.6, 126.3, 125.8, 124.1, 123.0, 119.7, 116.6, 113.4, 111.1, 109.1, 100.1, 86.4, 70.4, 55.4, 44.0. 19F-NMR (DMSO-d6, 400 MHz) δ −119.58 (external standard, trifluoroacetic acid, δ −75.56). MP = 201.9 °C. Anal. calcd. for C24H17FN4O2S C, 64.85; H, 3.86; N, 12.60. Found C 64.65; H, 3.86; N, 12.76.
2,4-Diamino-8-methoxy-5-((4-methoxyphenyl)thio)-5H-chromeno[2,3-b]pyridine-3-carbonitrile (1d): Compound 1d was prepared following the general procedure for the preparation of Compounds 1a–1f. An amount of 388 mg (0.95 mmol, 95%) 1d was obtained as a light yellowish solid. 1H-NMR (DMSO-d6, 400 MHz): δ 7.09 (d, 1H, J = 8.14 Hz), 6.88 (bs, 2H), 6.69 (m, 5H), 6.47 (bs, 2H), 6.39 (m, 1H), 5.59 (s, 1H), 3.74 (s, 3H), 3.70 (s, 3H). 13C-NMR (DMSO-d6, 100 MHz): δ 160.0, 159.6, 159.5, 159.1, 156.3, 151.8, 137.7, 129.5, 121.3, 116.6, 113.9, 113.8, 110.7, 100.4, 86.6, 70.3, 55.4, 55.1, 42.6. MP = 200.7 °C. Anal. calcd. for C21H18N4O3S C, 62.05; H, 4.46; N, 13.78. Found C, 62.21; H, 4.61; N, 13.88.
2,4-Diamino-8-methoxy-5-(naphthalen-1-ylthio)-5H-chromeno[2,3-b]pyridine-3-carbonitrile (1e): Compound 1e was prepared following the general procedure for the preparation of Compounds 1a–1f. An amount of 385 mg (0.90 mmol, 90%) 1e was obtained as a light yellowish solid. 1H-NMR (DMSO-d6, 400 MHz): δ 7.82 (m, 3H), 7.39 (m, 1H), 7.19 (m, 3H), 6.96 (m, 3H), 6.67 (m, 1H), 6.3 (bs, 2H), 6.12 (m, 1H), 5.83 (s, 1H), 3.66 (s, 3H). 13C-NMR (DMSO-d6, 100 MHz): δ 160.0, 159.6, 159.5, 159.1, 156.3, 151.8, 137.7, 129.5, 121.3, 116.6, 113.9, 113.8, 110.7, 100.4, 86.6, 70.3, 55.4, 55.1, 42.6. MP = 199.1 °C. Anal. calcd. for C24H18N4O2S C, 67.59; H, N, 13.14. Found C, 67.52; H, 4.34; N, 13.13.
2,4-Diamino-5-((4-(dimethylamino)phenyl)thio)-8-methoxy-5H-chromeno[2,3-b]pyridine-3-carbonitrile (1f): Compound 1f was prepared following the general procedure for the preparation of Compounds 1a–1f. An amount of 386 mg (0.92 mmol, 92%) 1f was obtained as a light yellowish solid. 1H-NMR (DMSO-d6, 400 MHz): δ 7.06 (d, 1H, J = 8.60 Hz), 6.81 (bs, 2H), 6.70 (m, 1H), 6.55 (m, 2H), 6.41 (m, 5H), 5.46 (s, 1H), 3.73 (s, 3H), 2.84 (s, 6H). 13C-NMR (DMSO-d6, 100 MHz): δ 159.6, 159.4, 160.0, 156.3, 151.7, 150.5, 137.2, 129.5, 116.6, 115.1, 114.2, 111.6, 110.5, 100.4, 87.0, 70.3, 55.3, 42.4. MP = 187.0 °C. Anal. calcd. for C22H21N5O2S C, 62.99; H, 5.05; N, 16.69. Found C, 62.86; H, 5.15; N, 16.72.
3.1.3. General Procedure for the Synthesis of 5H-Substituted-Thiochromenopyridines (1g–1i)
An amount of malonitrile (2 mmol), desired thiophenol (1 mmol) and triethyl amine (0.1 mmol) were added in a solution of 4-dimethylamino-salisaldehyde (1 mmol) in 7 mL EtOH. The resulting mixture was allowed to reflux over 4 h, at which point the product precipitates out of the solution. The resulting precipitate was filtered off and dried under vacuum. The residue was then dissolved in 3 mL DMF. The insoluble particles were filtered off. A volume of 4 mL H2O was then poured into the resulting filtrate, leading to the precipitation of the pure product out of the solution. The precipitates were filtered off and dried under vacuum, leading to the pure 5H-substituted-thiochromenopyridines (1g–1i, 89%–91%) as light pinkish solids.
2,4-Diamino-8-(dimethylamino)-5-((4-methoxyphenyl)thio)-5H-chromeno[2,3-b]pyridine-3-carbonitrile (1g): Compound 1g was prepared following the general procedure for the preparation of Compounds 1g–1i. An amount of 388 mg (0.90 mmol, 92%) 1g was obtained as a light pinkish solid. 1H-NMR (DMSO-d6, 400 MHz): δ 6.97 (d, 1H, J = 8.87 Hz), 6.79 (bs, 2H), 6.68 (m, 4H), 6.51 (m, 1H), 6.40 (m, 2H), 6.07 (m, 1H), 5.53 (s, 1H), 3.69 (s, 3H), 2.87 (s, 6H). 13C-NMR (DMSO-d6, 100 MHz): δ 160.0, 159.8, 159.4, 156.2, 151.8, 150.4, 137.6, 129.0, 121.8, 116.7, 113.7, 109.1, 108.5, 98.2, 87.1, 70.1, 55.1, 43.0, 40.0. MP = 172.9 °C. Anal. calcd. for C22H21N5O2S C, 62.99; H, 5.05; N, 16.69. Found C, 63.01; H, 5.08; N, 16.64.
2,4-Diamino-8-(dimethylamino)-5-((4-(dimethylamino)phenyl)thio)-5H-chromeno[2,3-b]pyridine-3-carbonitrile (1h): Compound 1h was prepared following the general procedure for the preparation of Compounds 1g–1i. An amount of 388 mg (0.88 mmol, 88%) 1h was obtained as a light pinkish solid. 1H-NMR (DMSO-d6, 400 MHz): δ 6.95 (d, 1H, J = 8.49 Hz), 6.73 (bs, 2H), 6.58 (m, 2H), 6.50 (m, 1H), 6.39 (m, 4H), 6.10 (m, 1H), 5.42 (s, 1H), 2.86 (m, 12H). 13C-NMR (DMSO-d6, 100 MHz): δ 162.3, 160.0, 159.3, 156.2, 151.7, 150.3, 150.2, 137.2, 129.1, 116.7, 115.7, 111.6, 109.5, 108.5, 98.3, 87.4, 70.1, 42.8. MP = 140.5 °C. Anal. calcd. for C23H24N6OS C, 63.87; H, 5.59; N, 19.43. Found C, 63.89; H, 5.62; N, 19.39.
2,4-Diamino-8-(dimethylamino)-5-((4-fluorophenyl)thio)-5H-chromeno[2,3-b]pyridine-3-carbonitrile (1i): Compound 1i was prepared following the general procedure for the preparation of Compounds 1g–1i. An amount of 368 mg (0.90 mmol, 90%) 1i was obtained as a light pinkish solid. 1H-NMR (DMSO-d6, 400 MHz): δ 6.97 (m, 3H), 6.85 (bs, 2H), 6.78 (m, 2H), 6.52 (m, 1H), 6.43 (bs, 2H), 6.08 (s, 1H), 5.63 (s, 1H), 2.87 (s, 6H). 13C-NMR (DMSO-d6, 100 MHz): δ 163.9, 161.4, 160.0, 159.5, 156.2, 152.0, 150.5, 138.3, 128.9, 126.9, 116.6, 115.3, 115.0, 108.8, 98.1, 86.8, 70.2, 43.5. 19F-NMR (DMSO-d6, 400 MHz) δ −112.06 (external standard, trifluoroacetic acid, δ −75.56). MP = 189.3 °C. Anal. calcd. for C21H18FN5OS C, 61.90; H, 4.45; N, 17.19. Found C, 61.95; H, 4.54; N, 17.26.
3.1.4. General Procedure for the Synthesis of 5H-Substituted-Thiochromenopyridines (1a–1i) under Microwave Irradiation
A mixture of 4-substituted-salisaldehyde (1 equivalent), malonitrile (2 equivalent) and the desired substituted-phenylthiol or naphthol (1 equivalent) was mixed in 3 mL ethanol in a microwave tube. A catalytic amount of trimethylamine (2–4 drops) was added to the solution. The reaction mixture was irradiated at 150 °C using 300 psi pressure and 300 Watts of power over 10 min in CEM Discover. The reaction mixture was cooled down to room temperature; the precipitates were filtered and dried under vacuum. The resulting residue was dissolved in 3 mL DMF. The insoluble particles were removed by filteration. A volume of 4 mL H2O was added to the DMF layer, leading to the precipitation of the desired product. The precipitates were filtered and dried under vacuum, resulting in the pure product as a yellowish or a pinkish solid in a decent yield (30%–45%), as reported in Scheme 4. The characterizations of the obtained products (1a–1i), under microwave irradiation, comply with the ones obtained under regular reflux condition.
2,4-Diamino-5-(4-fluorophenyl)-8-methoxy-5H-chromeno[2,3-b]pyridine-3-carbonitrile (1j): An amount of 124 mg 3-methoxy-phenol (1 mmol) was added in a solution of 240 mg (Z)-2-amino-4-(4-fluorophenyl)buta-1,3-diene-1,1,3-tricarbonitrile (3a), prepared following the literature reported procedure, in 15 mL ethanol. The volume of a catalytic amount of piperidine was added to the reaction mixture. The reaction mixture was brought to reflux overnight. The reaction mixture was cooled down, evaporated out, and the crude was purified utilizing 2% MeOH in methylene chloride, resulting in 30 mg (8.3%) product as a yellowish solid. 1H-NMR (DMSO-d6, 400 MHz): δ 7.3 (m, 3H), 7.1 (m, 3H), 6.65 (m, 1H), 6.46 (m, 4H), 5.28 (s, 1H), 3.74 (s, 3H). MP = 184.8 °C. MS (ESI): m/z calculated [M + H]+ 363.37, observed 363.5.
3.1.5. General Procedure for the Preparation of 4H-Substituted-Thiochromenes (1k–1m)
An equimolar mixture of 4-methoxy-salisaldehyde, malonitrile and the desired substituted phenylthiol were mixed in 7 mL EtOH. The reaction mixture was brought to reflux overnight under argon atmosphere. The reaction was allowed to cool down to room temperature, resulting in the precipitation of the product. The product was filtered off and recrystallized in diethyl ether, leading to the pure 4H-substituted-thiochromenes (1k–1m) in good yields.
2-Amino-4-((4-(dimethylamino)phenyl)thio)-7-methoxy-4H-chromene-3-carbonitrile (1k): Compound 1k was prepared following the general procedure for the preparation of Compounds 1k–1m. An amount of 223 mg (0.63 mmol, 63%) 1k was obtained as a light yellowish solid. 1H-NMR (DMSO-d6, 400 MHz): δ 7.18 (m, 1H), 6.9 (bs, 2H), 6.75 (m, 3H), 6.5 (m, 2H), 6.29 (m, 1H), 4.95 (s, 1H), 3.72 (s,3H), 2.75 (s, 6H). 13C-NMR (DMSO-d6, 100 MHz): δ 161.7, 159.0, 150.5, 149.7, 137.3, 129.8, 120.0, 115.0, 113.6, 111.7, 100.0, 55.4, 54.2, 46.5. MP = 136.4 °C. Anal. calcd. for C19H19N3O2S C, 64.57; H, 5.42; N, 11.89. Found C, 63.82; H, 5.56; N, 11.27.
2-Amino-7-methoxy-4-((4-methoxyphenyl)thio)-4H-chromene-3-carbonitrile (1l): Compound 1l was prepared following the general procedure for the preparation of Compounds 1k–1m. An amount of 217 mg (0.637 mmol, 64%) 1l was obtained as a light yellowish solid. 1H-NMR (DMSO-d6, 400 MHz): δ 7.33 (m, 1H), 6.92 (m, 4H), 6.76 (m, 3H), 6.32 (m, 2H), 5.12 (s, 1H), 3.72 (m,6H). 13C-NMR (DMSO-d6, 100 MHz): δ 161.8, 160.0, 159.1, 149.8, 137.7, 129.8, 121.2, 119.9, 114.0, 113.3, 111.4, 100.0, 55.4, 55.1, 54.0, 46.7. MP = 136.0 °C. Anal. calcd. for C18H16N2O3S C, 63.51; H, 4.74; N, 8.23. Found C, 63.34; H, 4.92; N, 8.33.
2-Amino-4-((4-fluorophenyl)thio)-7-methoxy-4H-chromene-3-carbonitrile (1m): Compound 1m was prepared following the general procedure for the preparation of Compounds 1k–1m. An amount of 217 mg (0.637 mmol, 64%) 1m was obtained as a light yellowish solid. 1H-NMR (DMSO-d6, 400 MHz): δ 7.28 (m, 1H), 7.1 (m, 2H), 7.0 (m, 4H), 6.8 (m, 1H), 6.3 (m, 1H), 5.3 (s, 1H), 3.75 (s, 3H). 13C-NMR (DMSO-d6, 100 MHz): δ 164.1, 162.0, 159.3, 149.9, 138.4, 129.8, 126.4, 119.6, 115.6, 112.9, 111.6, 100.0, 55.4, 53.8, 47.0. 19F-NMR (DMSO-d6, 400 MHz) δ −111.73 (external standard, trifluoroacetic acid, δ −75.56). MP = 124.6 °C. Anal. calcd. for C17H13FN2O2S C, 62.18; H, 3.99; N, 8.53. Found C, 62.31; H, 4.17; N, 8.66.
3.2. Biology
Cell Culture and Cytotoxicity Assay
Melanoma
Human A375, WM164 and MDA-MB-435 melanoma cells were cultured in 10% fetal bovine serum supplemented with DMEM medium with 1% antibiotics at 37 °C 5% carbon oxide. The cell viability was determined by the MTS assay as described previously [21,22]. In brief, 5000 cells were seeded into each well of 96-well plates overnight. Then, a serial dilution of the compounds dissolved in culture medium was used to treat the cells for 48 h. After that, the medium was aspirated, and MTS agent was added to detect the cell density in each well by reading the optical absorbance at 490 nm.
Glioma
Human MT330 and SJG2 glioma cells were grown in DMEM with 10% fetal bovine serum. Cells were maintained in the presence of penicillin (100 IU/mL) and streptomycin (100 mg/mL) at 37 °C with 5% CO2. Cell viability was determined using the MTT assay. Cells (1000–2000/well) were plated overnight in 96-well plates and treated with various concentrations of the drugs for 4 days. MTT reagent (10 μL/well) was added to the cells; cells were solubilized, and the optical density at 570 nm was measured.
4. Conclusions
We have identified a series of novel thiochromenopyridines as potential cytotoxic agents against a number of human cancer cell lines. To the best of our knowledge, this is the first report of thiochromenopyridines as potential anticancer agents. This study reveals that the addition of a third ring to SP-6-27, to give 1j, leads to no detectable activity (ND). In continuation, insertion of a sulfur atom, as in 1k, 1l, 1m, leads to no detectable activity. Finally, insertion of a sulfur atom, as well as a third ring, as in 1a–1i, provided activity, although in the 3–15 µM range. Briefly, this study suggests that the flexible carbon-sulfur-carbon bonds in 5H-substituted-thiochromenopyridines are important for cytotoxicity. We propose that the observed diminished activity of 5H-substituted-chromenopyridine (1j) is due to the absence of flexible-carbon-sulfur-carbon bonds. However, the same flexibility is responsible for the observed inactivity of 4H-substituted-thiochromens (1k–1m). To summarize, flexible carbon-sulfur-carbon bonds are required for the activity of tricyclic chromenopyridines, but not for the bicyclic chromenes. In addition, compounds with C8-methoxy substituents (1b, 1c, 1e and 1f) offer better activity as compared to the C8-dimethylamino substituents (1h, 1i and 1j). The good to moderate activity observed with the thio-tricyclic chromenopyridines established them as initial hits, and further research will be needed to develop chromenopyridines as potential leads.
Supplementary Materials
Supplementary materials can be accessed at: http://www.mdpi.com/1420-3049/20/09/17153/s1.
Acknowledgments
This work was partially supported by the Van Vleet Endowed Professorship (D.D.M.) as well as the NIH Grant RO1CA148706 (W.L.).
Author Contributions
Design and synthesis: S.B., S.A.P. and D.D.M. designed the molecules, and S.B. synthesized them. Bioactive screening: J.W. and S.P. performed in vitro screening. Wrote the paper: S.B., J.W., D.M., L.M.P., W.L. and D.D.M. All authors read and approved the final manuscript.
Conflicts of Interest
The authors declare no conflict of interest.
References
- Jemal, A.; Bray, F.; Center, M.M.; Ferlay, J.; Ward, E.; Forman, D. Global cancer statistics. CA Cancer J. Clin. 2011, 61, 69–90. [Google Scholar] [CrossRef] [PubMed]
- Siegel, R.; Ma, J.; Zou, Z.; Jemal, A. Cancer statistics, 2014. CA Cancer J. Clin. 2014, 64, 9–29. [Google Scholar] [CrossRef] [PubMed]
- Lu, Y.; Chen, J.; Xiao, M.; Li, W.; Miller, D.D. An Overview of Tubulin Inhibitors That Interact with the Colchicine Binding Site. Pharm. Res. 2012, 29, 2943–2971. [Google Scholar] [CrossRef] [PubMed]
- Patil, S.A.; Patil, R.; Pfeffer, L.M.; Miller, D.D. Chromenes: Potential new chemotherapeutic agents for cancer. Future Med. Chem. 2013, 5, 1647–1660. [Google Scholar] [CrossRef] [PubMed]
- Patil, S.A.; Wang, J.; Li, X.S.; Chen, J.; Jones, T.S.; Hosni-Ahmed, A.; Patil, R.; Seibel, W.L.; Li, W.; Miller, D.D. New substituted 4H-chromenes as anticancer agents. Bioorg. Med. Chem. Lett. 2012, 22, 4458–4461. [Google Scholar] [CrossRef] [PubMed]
- Patil, S.A.; Pfeffer, L.M.; Miller, D.D. Gliomas: Classification, Symptoms, Treatment and Prognosis; Nova Science Pub Inc: Hauppauge, NY, USA, 2014. [Google Scholar]
- Kemnitzer, W.; Drewe, J.; Jiang, S.; Zhang, H.; Wang, Y.; Zhao, J.; Jia, S.; Herich, J.; Labreque, D.; Storer, R.; et al. Discovery of 4-aryl-4H-chromenes as a new series of apoptosis inducers using a cell- and caspase-based high-throughput screening assay. 1. Structure-activity relationships of the 4-aryl group. J. Med. Chem. 2004, 47, 6299–6310. [Google Scholar] [CrossRef] [PubMed]
- Kemnitzer, W.; Kasibhatla, S.; Jiang, S.; Zhang, H.; Zhao, J.; Jia, S.; Xu, L.; Crogan-Grundy, C.; Denis, R.; Barriault, N.; et al. Discovery of 4-aryl-4H-chromenes as a new series of apoptosis inducers using a cell- and caspase-based high-throughput screening assay. 2. Structure-activity relationships of the 7- and 5-, 6-, 8-positions. Bioorg. Med. Chem. Lett. 2005, 15, 4745–4751. [Google Scholar] [CrossRef] [PubMed]
- Shestopalov, A.M.; Litvinov, Y.M.; Rodinovskaya, L.A.; Malyshev, O.R.; Semenova, M.N.; Semenov, V.V. Polyalkoxy Substituted 4H-Chromenes: Synthesis by Domino Reaction and Anticancer Activity. ACS Comb. Sci. 2012, 14, 484–490. [Google Scholar] [CrossRef] [PubMed]
- Gourdeau, H.; Leblond, L.; Hamelin, B.; Desputeau, C.; Dong, K.; Kianicka, I.; Custeau, D.; Boudreau, C.; Geerts, L.; Cai, S.X.; et al. Antivascular and antitumor evaluation of 2-amino-4-(3-bromo-4,5-dimethoxy-phenyl)-3-cyano-4H-chromenes, a novel series of anticancer agents. Mol. Cancer Ther. 2004, 3, 1375–1384. [Google Scholar] [PubMed]
- Azizmohammadi, M.; Khoobi, M.; Ramazani, A.; Emami, S.; Zarrin, A.; Firuzi, O.; Miri, R.; Shafiee, A. 2H-chromene derivatives bearing thiazolidine-2,4-dione, rhodanine or hydantoin moieties as potential anticancer agents. Eur. J. Med. Chem. 2013, 59, 15–22. [Google Scholar] [CrossRef] [PubMed]
- Mansouri, K.; Khodarahmi, R.; Foroumadi, A.; Mostafaie, A.; Mohammadi Motlagh, H. Anti-angiogenic/proliferative behavior of a “4-aryl-4H-chromene” on blood vessel’s endothelial cells: A possible evidence on dual “anti-tumor” activity. Med. Chem. Res. 2011, 20, 920–929. [Google Scholar] [CrossRef]
- Hussain, M.K.; Ansari, M.I.; Yadav, N.; Gupta, P.K.; Gupta, A.K.; Saxena, R.; Fatima, I.; Manohar, M.; Kushwaha, P.; Khedgikar, V.; et al. Design and synthesis of ERα/ERβ selective coumarin and chromene derivatives as potential anti-breast cancer and anti-osteoporotic agents. RSC Adv. 2014, 4, 8828–8845. [Google Scholar] [CrossRef]
- Thapa, U.; Thapa, P.; Karki, R.; Yun, M.; Choi, J.H.; Jahng, Y.; Lee, E.; Jeon, K.H.; Na, Y.; Ha, E.M.; et al. Synthesis of 2,4-diaryl chromenopyridines and evaluation of their topoisomerase I and II inhibitory activity, cytotoxicity, and structure—activity relationship. Eur. J. Med. Chem. 2011, 46, 3201–3209. [Google Scholar] [CrossRef] [PubMed]
- Al-Said, M.; Ghorab, M.; Nissan, Y. Dapson in heterocyclic chemistry, part VIII: Synthesis, molecular docking and anticancer activity of some novel sulfonylbiscompounds carrying biologically active 1,3-dihydropyridine, chromene and chromenopyridine moieties. Chem. Cent. J. 2012, 6. [Google Scholar] [CrossRef] [PubMed]
- Anderson, D.R.; Hegde, S.; Reinhard, E.; Gomez, L.; Vernier, W.F.; Lee, L.; Liu, S.; Sambandam, S.; Snider, P.A.; Masih, L. Aminocyanopyridine inhibitors of mitogen activated protein kinase-activated protein kinase 2 (MK-2). Bioorg. Med. Chem. Lett. 2005, 15, 1587–1590. [Google Scholar] [CrossRef] [PubMed]
- Melekhin, E.A.; Bardasov, I.N.; Ershov, O.V.; Eremkin, A.V.; Kayukov, Y.S.; Nasakin, O.E. Synthesis of 5-Aryl-2,4-diamino-8-hydroxy-5H-chromeno[2,3-b]pyridine-3-carbonitriles. Russ. J. Org. Chem. 2006, 42, 622–623. [Google Scholar] [CrossRef]
- Evdokimov, N.M.; Kireev, A.S.; Yakovenko, A.A.; Antipin, M.Y.; Magedov, I.V.; Kornienko, A. One-Step Synthesis of Heterocyclic Privileged Medicinal Scaffolds by a Multicomponent Reaction of Malononitrile with Aldehydes and Thiols. J. Org. Chem. 2007, 72, 3443–3453. [Google Scholar] [CrossRef] [PubMed]
- Safaei-Ghomi, J.; Kiani, M.; Ziarati, A.; Shahbazi-Alavi, H. Highly efficient synthesis of benzopyranopyridines via ZrP2O7 nanoparticles catalyzed multicomponent reactions of salicylaldehydes with malononitrile and thiols. J. Sulfur Chem. 2014, 35, 450–457. [Google Scholar] [CrossRef]
- Safaei-Ghomi, J.; Shahbazi-Alavi, H.; Heidari-Baghbahadorani, E. SnO nanoparticles as an efficient catalyst for the one-pot synthesis of chromeno[2,3-b]pyridines and 2-amino-3,5-dicyano-6-sulfanyl pyridines. RSC Adv. 2014, 4, 50668–50677. [Google Scholar] [CrossRef]
- Chen, J.; Ahn, S.; Wang, J.; Lu, Y.; Dalton, J.T.; Miller, D.D.; Li, W. Discovery of novel 2-aryl-4-benzoyl-imidazole (ABI-III) analogues targeting tubulin polymerization as antiproliferative agents. J. Med. Chem. 2012, 55, 7285–7289. [Google Scholar] [CrossRef] [PubMed]
- Wang, Z.; Chen, J.; Wang, J.; Ahn, S.; Li, C.M.; Lu, Y.; Loveless, V.S.; Dalton, J.T.; Miller, D.D.; Li, W. Novel tubulin polymerization inhibitors overcome multidrug resistance and reduce melanoma lung metastasis. Pharm. Res. 2012, 29, 3040–3052. [Google Scholar] [CrossRef] [PubMed]
- Sample Availability: Samples of the compounds 1a–1m are available from the authors.
© 2015 by the authors. Licensee MDPI, Basel, Switzerland. This article is an open access article distributed under the terms and conditions of the Creative Commons Attribution license ( http://creativecommons.org/licenses/by/4.0/).