Synthesis of a Novel Cysteine-Incorporated Anthraquinone Derivative and Its Structural Properties
Abstract
:1. Introduction
2. Results and Discussion





| Bond Lengths (Å) | Bond Angles (°) | ||
|---|---|---|---|
| S1–C17 | 1.8098(19) | S1–C17–C16 | 114.01(13) |
| S2–C22 | 1.810(2) | S2–C22–C21 | 114.27(13) |
| O1–C1 | 1.217(2) | C20–N2–C21 | 120.32(15) |
| O2–C8 | 1.221(2) | C15–N1–C16 | 121.67(15) |
| O3–C15 | 1.229(2) | N1–C15–C6 | 116.48(15) |
| O6–C20 | 1.228(2) | N2–C20–C10 | 116.00(15) |
| N1–C15 | 1.339(2) | C9–C10–C20 | 122.98(16) |
| N2–C20 | 1.346(2) | C7–C6–C15 | 125.68(15) |
| C6–C15 | 1.504(3) | N2–C21–C22 | 113.14(15) |
| C10–C20 | 1.511(2) | N1–C16–C17 | 108.90(14) |
| C16–C17 | 1.524(3) | ||
| C21–C22 | 1.527(2) | ||


| Cg(I) | Cg(J) | Cg–Cg | Alpha | CgI_Perp | CgJ_Perp |
|---|---|---|---|---|---|
| Cg(1) | Cg(2) (i) | 3.9249(12) | 4.45(9) | 3.7289(8) | 3.6403(8) |
| Cg(3) | Cg(1) (i) | 3.7590(11) | 0.8900 | 3.4720(8) | 3.3207(8) |
| Cg(3) | Cg(2) (i) | 4.0899(11) | 0.0355 | 3.5948(8) | 3.5693(8) |
| Compounds | Cg–Cg | CgI_Perp | Slippage |
|---|---|---|---|
| 7 | – a | 3.5932(8) | – b |
| Ca complex | – a | 3.0382(13) | – b |
| Zn complex | 4.063(4) | 3.557(3) | 1.964 |
| D–H ••• A | D–H | H ••• A | D ••• A | D–H ••• A |
|---|---|---|---|---|
| N1–H3 ••• O3 (i) | 0.88 | 2.08 | 2.890(2) | 153 |

3. Experimental Section
3.1. General
3.2. Synthesis of S-Trityl-l-cysteine (1)
3.3. Synthesis of S-Trityl-l-cysteine Methyl Ester (2)
3.4. Synthesis of 1,8-Dicyanoanthraquinone (3)
3.5. Synthesis of Anthraquinone-1,8-dicarboxylic Acid (4)
3.6. Synthesis of Anthraquinone-1,8-dicarbonyl Dichloride (5)
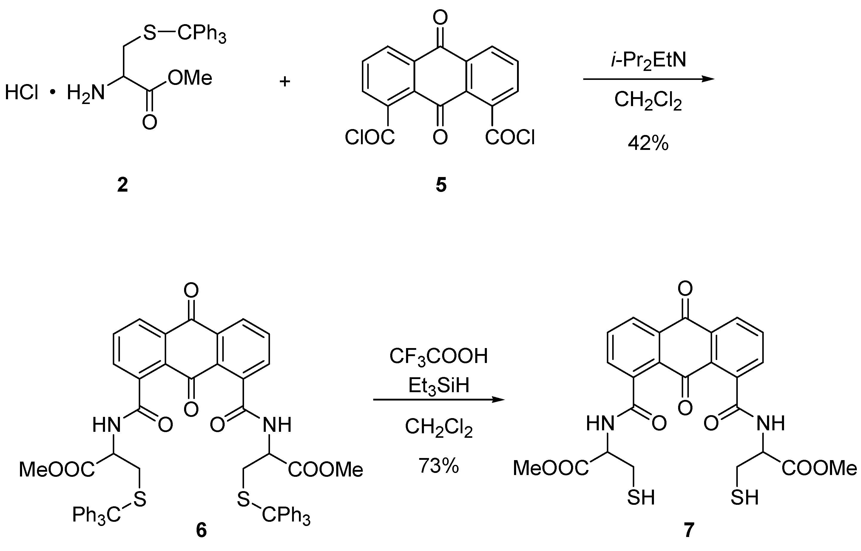
3.7. Synthesis of 6
3.8. Synthesis of 7
3.9. Crystal Structures of 7
3.10. Synthesis of 10
3.11. Synthesis of 11
4. Conclusions
Supplementary Materials
Acknowledgments
Author Contributions
Conflicts of Interest
References
- Jacob, C.; Glies, G.I.; Giles, N.M.; Sies, H. Sulfur and Selenium: The Role of Oxidation State in Protein Structure and Function. Angew. Chem. Int. Ed. 2003, 42, 4742–4758. [Google Scholar] [CrossRef] [PubMed]
- Iwaoka, M.; Ooka, R.; Nakazato, T.; Yoshida, S.; Oishi, S. Synthesis of Selenocysteine and Selenomethionine Derivatives from Sulfur-Containing Amino Acids. Chem. Biodivers. 2008, 5, 359–374. [Google Scholar] [CrossRef] [PubMed]
- Chalker, J.M.; Bernardes, G.J.L.; Lin, Y.A.; Davis, B.G. Chemical Modification of Proteins at Cysteine: Opportunities in Chemistry and Biology. Chem. Asian J. 2009, 4, 630–640. [Google Scholar] [CrossRef] [PubMed]
- Nakanishi, W.; Hayashi, S.; Itoh, N. First linear alignment of five C–Se···O···Se–C atoms in anthraquinone and 9-(methoxy)anthracene bearing phenylselanyl groups at 1,8-positions. Chem. Commun. 2003, 1, 124–125. [Google Scholar] [CrossRef]
- Suzuki, A.; Hasegawa, M.; Ishii, M.; Matsumura, S.; Toshima, K. Anthraquinone derivatives as a new family of protein photocleavers. Bioorg. Med. Chem. Lett. 2005, 15, 4624–4627. [Google Scholar] [CrossRef] [PubMed]
- Hayashi, S.; Nakanishi, W. How Are Non-Bonded G···Z (Z = O, S, and Se) Distances at Benzene 1,2-, Naphthalene 1,8-, and Anthracene 1,8,9-Positions Controlled? An Approach to Causality in Weak Interactions. Bull. Chem. Soc. Jpn. 2009, 82, 712–722. [Google Scholar] [CrossRef]
- Kobori, Y.; Fuki, M. Protein-Ligand Structure and Electronic Coupling of Photoinduced Charge-Separated State: 9,10-Anthraquinone-1-sulfonate Bound to Human Serum Albumin. J. Am. Chem. Soc. 2011, 133, 16770–16773. [Google Scholar] [CrossRef] [PubMed]
- Zagotto, G.; Ricci, A.; Vasquez, E.; Sandoli, A.; Benedetti, S.; Benedetti, M.; Palumbo, M.; Sissi, C. Tuning G-Quadruplex vs. Double-Stranded DNA Recognition in Regioisomeric Lysyl-Peptidyl-Anthraquinone Conjugates. Bioconjug. Chem. 2011, 22, 2126–2135. [Google Scholar] [CrossRef] [PubMed]
- Gandara, F.; Snejko, N.; de Andres, A.; Fernandez, J.R.; Gomez-Sal, J.C.; Gutierrez-Puebla, E.; Monge, A. Stable organic radical stacked by in situ coordination to rare earth cations in MOF materials. RSC Adv. 2012, 2, 949–955. [Google Scholar] [CrossRef]
- Milanchian, K.; Abdi, E.; Tajalli, H.; Ahmadi, K.S.; Zakerhamidi, M.S. Nonlinear refractive index of some anthraquinone dyes in 1294–1b liquid crystal. Opt. Commun. 2012, 285, 761–765. [Google Scholar] [CrossRef]
- D’Vries, R.F.; Snejko, N.; Gutierrez-Puebla, E.; Iglesias, M.; Monge, M.A. Supramolecular structures via hydrogen bonds and π-stacking interactions in novel anthraquinonedisulfonates of zinc, nickel, cobalt, copper and manganese. Inorg. Chim. Acta 2012, 382, 119–126. [Google Scholar] [CrossRef]
- Moriuchi, T.; Watanabe, T.; Ikeda, I.; Ogawa, A.; Hirao, T. Quinone Oxygen-Coordinated Palladium(II) Complexes with Anthraquinone Ligands Bearing N-Heterocyclic Coordination Sites. Eur. J. Inorg. Chem. 2001, 1, 277–287. [Google Scholar] [CrossRef]
- Kadarkaraisamy, M.; Mukherjee, D.; Soh, C.C.; Sykes, A.G. Complexation, crystallography, and electrochemistry of new chelating nicotinyl and thiazolyl anthraquinone ligands. Polyhedron 2007, 26, 4085–4092. [Google Scholar] [CrossRef]
- Engelhart, D.; Kadarkaraisamy, M.; Sykes, A.D. Monomeric complexes of 1,8-bis (isonicotinyloxy)anthracene-9,10-dione. J. Coord. Chem. 2008, 61, 3887–3894. [Google Scholar] [CrossRef]
- Peterson, S.S.; Kirby, T.; Kadarkaraisamy, M.; Hartshorn, R.M. Chelating, bridging, and chain structures within Ag(I) and Cu(I) complexes of bis(nicotinyloxy), bis(isonicotinyloxy), and bis(pyrimidine-5-carboxyloxy)-1,8-disubstituted anthraquinone ligands. Polyhedron 2009, 28, 3031–3035. [Google Scholar] [CrossRef]
- Iwaoka, M.; Tomoda, S. A Model Study on the Effect of an Amino Group on the Antioxidant Activity of Glutathione Peroxidase. J. Am. Chem. Soc. 1994, 116, 2557–2561. [Google Scholar] [CrossRef]
- Hatten, X.; Weyhermuller, T.; Metzler-Nolte, N. Ferrocenoyl peptides with sulfur-containing side chains: Synthesis, solid state and solution structures. J. Organomet. Chem. 2004, 689, 4856–4867. [Google Scholar] [CrossRef]
- Hatten, X.; Bothe, E.; Merz, K.; Huc, I.; Metzler-Nolte, N.A. Ferrocene-Peptide Conjugate as a Hydrogenase Model System. Eur. J. Inorg. Chem. 2008, 29, 4530–4537. [Google Scholar] [CrossRef]
- Sase, S.; Aoki, Y.; Abe, N.; Goto, K. Stable Sulfenyl Iodide Bearing a Primary Alkyl Steric Protection Group with a Cavity-shaped Framework. Chem. Lett. 2009, 38, 1188–1189. [Google Scholar] [CrossRef]
- Ma, L.; Jiao, P.; Zhang, Q.; Xu, J. Rigid backbone 1,8-anthracene-linked bis-oxazolines (AnBOXes): Design, synthesis, application and characteristics in catalytic asymmetric aziridination. Tetrahedron Asymmetry 2005, 16, 3718–3734. [Google Scholar] [CrossRef]
- Rudolph, J.; Theis, H.; Hanke, R.; Endermann, R.; Johannsen, L.; Geschke, F.U. seco-Cyclothialidines: New Concise Synthesis, Inhibitory Activity toward Bacterial and Human DNA Topoisomerases, and Antibacterial Properties. J. Med. Chem. 2001, 44, 619–626. [Google Scholar] [CrossRef] [PubMed]
- Rogers, M.E.; Averill, B.A. Symmetrically Trisubstituted Triptycenes. J. Org. Chem. 1986, 51, 3308–3314. [Google Scholar] [CrossRef]
- Carlson, S.A.; Hercules, D.M. Delayed Thermal Fluorescence of Anthraquinone in Solutions. J. Am. Chem. Soc. 1971, 93, 5611–5616. [Google Scholar] [CrossRef]
- Utsuno, M.; Yutaka, T.; Murata, M.; Kurihara, M.; Tamai, N.; Nishihara, H. Synthesis of Pendant-Type Anthraquinone-Bridged Cofacial Dinuclear Platinum(II) Complexes and Their Emission Properties. Inorg. Chem. 2007, 46, 11291–11296. [Google Scholar] [CrossRef] [PubMed]
- Furman, J.D.; Burwood, R.P.; Tang, M.; Mikhailovsky, A.A.; Cheetham, A.K. Understanding ligand-centred photoluminescence through flexibility and bonding of anthraquinone inorganic-organic frameworks. J. Mater. Chem. 2011, 21, 6595–6601. [Google Scholar] [CrossRef]
- Yan, W.H.; Bao, S.S.; Ding, L.L.; Lu, C.S.; Meng, Q.J.; Zheng, L.M. Syntheses and characterizations of two-dimensional lanthanide coordination polymers based on anthraquinone-1,4,5,8-tetracarboxylic acid. Inorg. Chem. Commun. 2013, 28, 20–24. [Google Scholar] [CrossRef]
- Nomoto, A.; Moriuchi, T.; Yamazaki, S.; Ogawa, A.; Hirao, T. A highly ordered ferrocene system regulated by podand peptide chains. Chem. Commun. 1998, 18, 1963–1964. [Google Scholar] [CrossRef]
- Moriuchi, T.; Nomoto, A.; Yoshida, K.; Hirao, T. Characterization of ferrocene derivatives bearing podand dipeptide chains (-L-Ala-L-Pro-OR). J. Organomet. Chem. 1999, 589, 50–58. [Google Scholar] [CrossRef]
- Moriuchi, T.; Nomoto, A.; Yoshida, K.; Ogawa, A.; Hirao, T. Chirality Organization of Ferrocenes Bearing Podand Dipeptide Chains: Synthesis and Structural Characterization. J. Am. Chem. Soc. 2001, 123, 68–75. [Google Scholar] [CrossRef] [PubMed]
- Spek, A.L. Structure validation in chemical crystallography. Acta Crystallogr. 2009, 148, 148–155. [Google Scholar] [CrossRef] [PubMed]
- Langdon, E.E.; Pope, S.J.A. The coordination chemistry of substituted anthraquinones: Developments and applications. Coord. Chem. Rev. 2014, 269, 32–53. [Google Scholar] [CrossRef]
- Sample Availability: Samples of the compounds 6 and 7 are available from the authors.
© 2015 by the authors. Licensee MDPI, Basel, Switzerland. This article is an open access article distributed under the terms and conditions of the Creative Commons Attribution license ( http://creativecommons.org/licenses/by/4.0/).
Share and Cite
Nomoto, A.; Taniguchi, T.; Minatobe, Y.; Katao, S.; Kakiuchi, K.; Yano, S.; Ogawa, A. Synthesis of a Novel Cysteine-Incorporated Anthraquinone Derivative and Its Structural Properties. Molecules 2015, 20, 10192-10204. https://doi.org/10.3390/molecules200610192
Nomoto A, Taniguchi T, Minatobe Y, Katao S, Kakiuchi K, Yano S, Ogawa A. Synthesis of a Novel Cysteine-Incorporated Anthraquinone Derivative and Its Structural Properties. Molecules. 2015; 20(6):10192-10204. https://doi.org/10.3390/molecules200610192
Chicago/Turabian StyleNomoto, Akihiro, Toshihide Taniguchi, Yuta Minatobe, Syouhei Katao, Kiyomi Kakiuchi, Shigenobu Yano, and Akiya Ogawa. 2015. "Synthesis of a Novel Cysteine-Incorporated Anthraquinone Derivative and Its Structural Properties" Molecules 20, no. 6: 10192-10204. https://doi.org/10.3390/molecules200610192
APA StyleNomoto, A., Taniguchi, T., Minatobe, Y., Katao, S., Kakiuchi, K., Yano, S., & Ogawa, A. (2015). Synthesis of a Novel Cysteine-Incorporated Anthraquinone Derivative and Its Structural Properties. Molecules, 20(6), 10192-10204. https://doi.org/10.3390/molecules200610192
