Preparation and Biological Properties of Ring-Substituted Naphthalene-1-Carboxanilides
Abstract
:1. Introduction
2. Results and Discussion
2.1. Chemistry

2.2. Lipophilicity Characteristics and Electronic Properties
![]() | ||||||||
| Comp. | R1 | log k | log P a | π a | σ* a | MAP MIC/IC90 [μmol/L] | LD50 [μmol/L] | PET IC50 [μmol/L] |
|---|---|---|---|---|---|---|---|---|
| 1 | H | 0.5620 | 3.88 | 0.40 | 0.26 | b | − | c |
| 2a | 2-OCH3 | 0.8013 | 3.60 | 0.30 | 0.29 | 54 | >30 | c |
| 2b | 3-OCH3 | 0.6087 | 3.76 | 0.56 | 0.30 | 54 | >30 | c |
| 2c | 4-OCH3 | 0.4953 | 3.76 | 0.35 | 0.38 | b | − | c |
| 3a | 2-CH3 | 0.5309 | 4.42 | 0.86 | 0.29 | b | − | c |
| 3b | 3-CH3 | 0.7624 | 4.42 | 0.86 | 0.30 | 57 | >30 | 136 |
| 3c | 4-CH3 | 0.7551 | 4.42 | 0.86 | 0.38 | 57 | >30 | 381 |
| 4a | 2-F | 0.5592 | 3.78 | 0.36 | 0.31 | b | − | c |
| 4b | 3-F | 0.7204 | 4.05 | 0.89 | 0.32 | 57 | >30 | 131 |
| 4c | 4-F | 0.6315 | 3.67 | 0.85 | 0.39 | b | − | c |
| 5a | 2-Cl | 0.8322 | 4.48 | 0.91 | 0.33 | b | − | c |
| 5b | 3-Cl | 0.9357 | 4.75 | 1.54 | 0.32 | b | − | 107 |
| 5c | 4-Cl | 0.9223 | 4.60 | 1.19 | 0.40 | b | − | 102 |
| 6a | 2-Br | 0.8892 | 4.68 | 1.08 | 0.31 | b | − | c |
| 6b | 3-Br | 1.0047 | 4.92 | 1.61 | 0.31 | b | − | 278 |
| 6c | 4-Br | 0.9985 | 4.76 | 1.57 | 0.40 | 184 | − | 365 |
| 7a | 2-CF3 | 0.7595 | 4.64 | 1.59 | 0.27 | b | − | c |
| 7b | 3-CF3 | 1.0862 | 5.22 | 1.75 | 0.33 | b | − | 114 |
| 7c | 4-CF3 | 1.1480 | 4.68 | 1.41 | 0.41 | 793 | − | 59 |
| 8a | 2-NO2 | 0.9090 | 3.98 | 0.65 | 0.27 | b | − | 476 |
| 8b | 3-NO2 | 0.8155 | 4.00 | 0.79 | 0.34 | b | − | 492 |
| 8c | 4-NO2 | 0.7328 | 3.67 | 0.49 | 0.43 | b | − | 129 |
| DCMU | – | – | − | − | − | − | − | 1.9 |
| INH | − | − | − | − | − | 1823 | − | − |
| CPX | − | − | − | − | − | 181 | − | − |
| RIF | − | − | − | − | − | 109 | − | − |

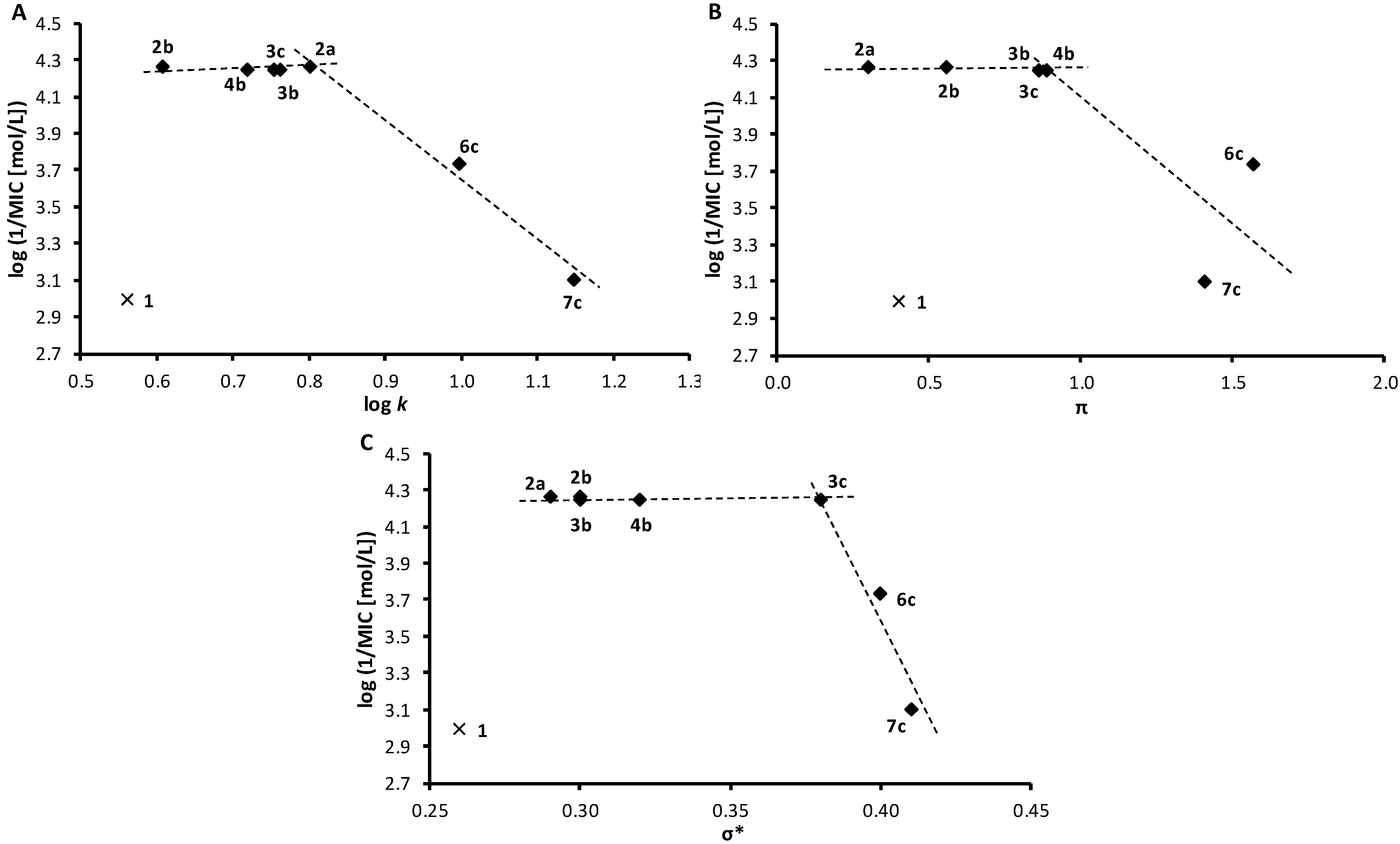
2.3. In Vitro Antimycobacterial Evaluation


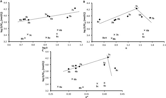
2.4. In Vitro Cytotoxicity Assay
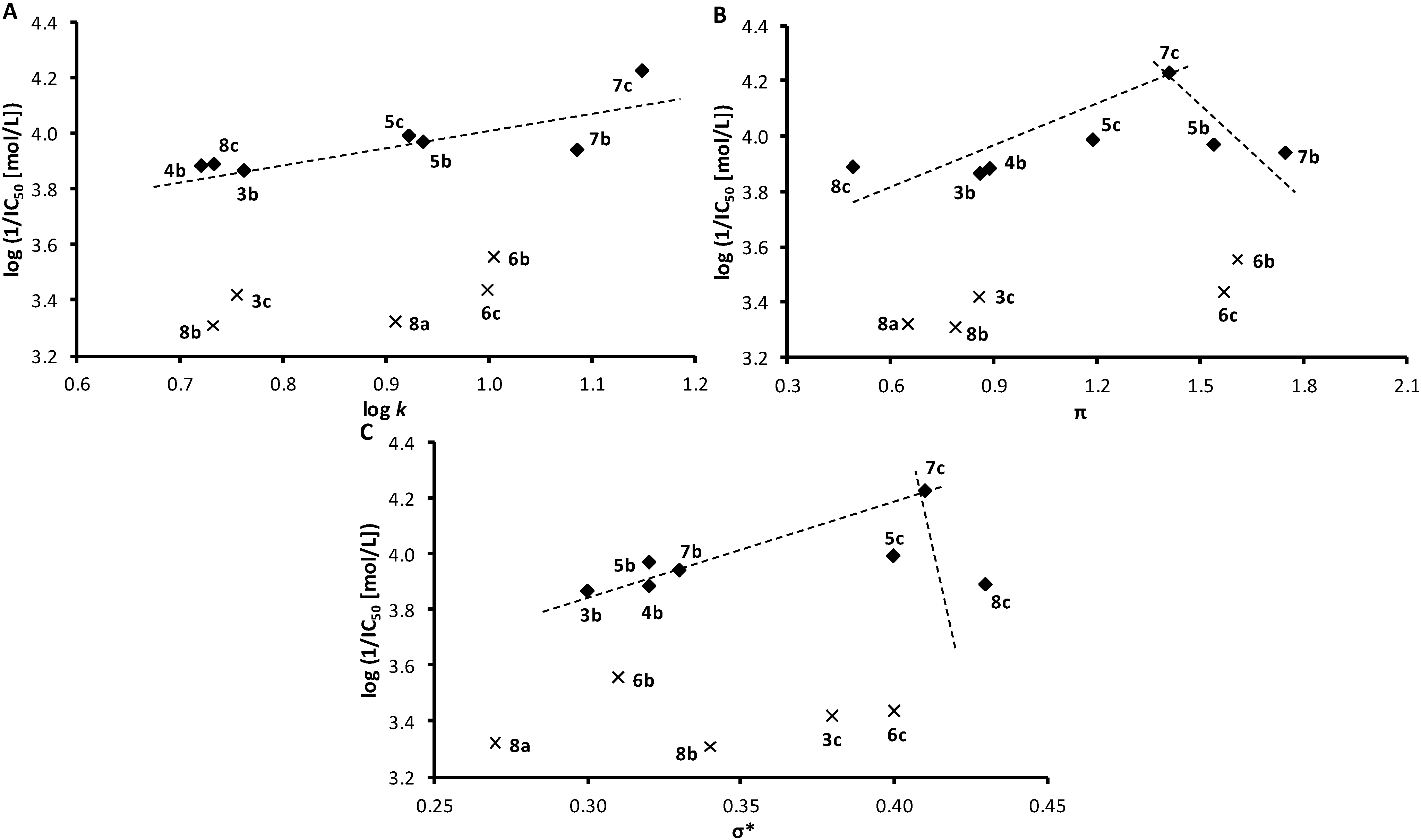
2.5. Inhibition of Photosynthetic Electron Transport (PET) in Spinach Chloroplasts

3. Experimental Section
3.1. General
3.2. Synthesis
General Procedure for Synthesis of Carboxamide Derivatives 1–8c
3.3. Lipophilicity Determination Using HPLC (Capacity Factor k /Calculated log k)
3.4. In Vitro Antimycobacterial Evaluation
3.5. In Vitro Cytotoxicity Assay
3.6. Study of Inhibition Photosynthetic Electron Transport (PET) in Spinach Chloroplasts
4. Conclusions
Acknowledgements
Author Contributions
Conflicts of Interest
References
- World Health Organization. Global Tuberculosis Report 2013; WHO Press: Geneva, Switzerland, 2013. [Google Scholar]
- Wagner, D.; Young, L.S. Nontuberculous mycobacterial infections: A clinical review. Infection 2004, 32, 257–270. [Google Scholar] [CrossRef]
- Koul, A.; Arnoult, E.; Lounis, N.; Guillemont, J.; Andries, K. The challenge of new drug discovery for tuberculosis. Nature 2011, 469, 483–490. [Google Scholar] [CrossRef]
- Shaner, D.L. Herbicide safety relative to common targets in plants and mammals. Pest. Manag. Sci. 2004, 60, 17–24. [Google Scholar] [CrossRef]
- Delaney, J.; Clarke, E.; Hughes, D.; Rice, M. Modern agrochemical research: A missed opportunity for drug discovery? Drug Discov. Today 2006, 11, 839–845. [Google Scholar] [CrossRef]
- Duke, S.O. Herbicide and pharmaceutical relationships. Weed Sci. 2010, 58, 334–339. [Google Scholar] [CrossRef]
- Dolezal, M.; Cmedlova, P.; Palek, L.; Vinsova, J.; Kunes, J.; Buchta, V.; Jampilek, J.; Kralova, K. Synthesis and antimycobacterial evaluation of substituted pyrazinecarboxamides. Eur. J. Med. Chem. 2008, 43, 1105–1113. [Google Scholar] [CrossRef]
- Imramovsky, A.; Pesko, M.; Kralova, K.; Vejsova, M.; Stolarikova, J.; Vinsova, J.; Jampilek, J. Investigating spectrum of biological activity of 4- and 5-chloro-2-hydroxy-N-[2-(arylamino)-1-alkyl-2-oxoethyl]benzamides. Molecules 2011, 16, 2414–2430. [Google Scholar] [CrossRef]
- Gonec, T.; Bobal, P.; Sujan, J.; Pesko, M.; Guo, J.; Kralova, K.; Pavlacka, L.; Vesely, L.; Kreckova, E.; Kos, J.; et al. Investigating the spectrum of biological activity of substituted quinoline-2-caboxamides and their isosteres. Molecules 2012, 17, 613–644. [Google Scholar] [CrossRef]
- Kos, J.; Zadrazilova, I.; Pesko, M.; Keltosova, S.; Tengler, J.; Gonec, T.; Bobal, P.; Kauerova, T.; Oravec, M.; Kollar, P.; et al. Antibacterial and herbicidal activity of ring-substituted 3-hydroxynaphthalene-2-carboxanilides. Molecules 2013, 18, 7977–7997. [Google Scholar] [CrossRef]
- Gonec, T.; Kos, J.; Zadrazilova, I.; Pesko, M.; Govender, R.; Keltosova, S.; Chambel, B.; Pereira, D.; Kollar, P.; Imramovsky, A.; et al. Antibacterial and herbicidal activity of ring-substituted 2-hydroxynaphthalene-1-carboxanilides. Molecules 2013, 18, 9397–9419. [Google Scholar] [CrossRef]
- Gonec, T.; Kos, J.; Zadrazilova, I.; Pesko, M.; Keltosova, S.; Tengler, J.; Bobal, P.; Kollar, P.; Cizek, A.; Kralova, K.; et al. Antimycobacterial and herbicidal activity of ring-substituted 1-hydroxynaphthalene-2-carboxanilides. Bioorg. Med. Chem. 2013, 21, 6531–6541. [Google Scholar] [CrossRef]
- Fajkusova, D.; Pesko, M.; Keltosova, S.; Guo, J.; Oktabec, Z.; Vejsova, M.; Kollar, P.; Coffey, A.; Csollei, J.; Kralova, K.; et al. Anti-infective and herbicidal activity of N-substituted 2–aminobenzothiazoles. Bioorg. Med. Chem. 2012, 20, 7059–7068. [Google Scholar] [CrossRef]
- Kralova, K.; Sersen, F.; Cizmarik, J. Inhibitory effect of piperidinoethylesters of alkoxyphenylcarbamic acids on photosynthesis. Gen. Physiol. Biophys. 1992, 11, 261–267. [Google Scholar]
- Kralova, K.; Bujdakova, H.; Kuchta, T.; Loos, D. Correlation between biological activity and the structure of 6-amino-2-R-thiobenzothiazoles. Anti-yeast activity and inhibition of photochemical activity of chloroplasts. Pharmazie 1994, 49, 460–461. [Google Scholar]
- Kralova, K.; Kallova, J.; Loos, D.; Devinsky, F. Correlation between biological activity and the structure of N,N'-bis(alkyldimethyl)-1,6-hexanediammonium dibromides. Antibacterial activity and inhibition of photochemical activity of chloroplasts. Pharmazie 1994, 49, 857–858. [Google Scholar]
- Bujdakova, H.; Kralova, K.; Sidoova, E. Antifungal and antialgal activity of 3-(2-alkylthio-6-benzothiazolylaminomethyl)-2-benzoxazolinethiones. Pharmazie 1995, 50, 156–156. [Google Scholar]
- Kralova, K.; Bujdakova, H.; Cizmarik, J. Antifungal and antialgal activity of piperidinopropyl esters of alkoxy substituted phenylcarbamic acids. Pharmazie 1995, 50, 440–441. [Google Scholar]
- Laursen, J.S.; Engel-Andreasen, J.; Fristrup, P.; Harris, P.; Olsen, C.A. Cis-trans amide bond rotamers in β-peptoids and peptoids: Evaluation of stereoelectronic effects in backbone and side chains. J. Am. Chem. Soc. 2013, 135, 2835–2844. [Google Scholar] [CrossRef]
- Pattabiraman, V.R.; Bode, J.W. Rethinking amide bond synthesis. Nature 2011, 480, 471–479. [Google Scholar] [CrossRef]
- Roth, H.J.; Fenner, H. Arzneistoffe, 3rd ed.; Deutscher Apotheker Verlag: Stuttgart, Germany, 2000; pp. 51–114. [Google Scholar]
- Sinning, C.; Watzer, B.; de Petrocellis, L.; di Marzo, V.; Imming, P. Dopamides, vanillylamides, ethanolamides, and arachidonic acid amides of anti-inflammatory and analgesic drug substances as TRPV1 ligands. Chem. Med. Chem. 2008, 3, 1956–1964. [Google Scholar] [CrossRef]
- Good, N.E. Inhibitors of the Hill reaction. Plant Physiol. 1961, 36, 788–803. [Google Scholar] [CrossRef]
- Musiol, R.; Tabak, D.; Niedbala, H.; Podeszwa, B.; Jampilek, J.; Kralova, K.; Dohnal, J.; Finster, J.; Mencel, A.; Polanski, J. Investigating biological activity spectrum for novel quinoline analogues 2: Hydroxyquinolinecarboxamides with photosynthesis inhibiting activity. Bioorg. Med. Chem. 2008, 16, 4490–4499. [Google Scholar] [CrossRef]
- Imramovsky, A.; Vinsova, J.; Monreal-Ferriz, J.; Dolezal, R.; Jampilek, J.; Kaustova, J.; Kunc, F. New antituberculotics originated from salicylanilides with promising in vitro activity against atypical mycobacterial strains. Bioorg. Med. Chem. 2009, 17, 3572–3579. [Google Scholar] [CrossRef]
- Otevrel, J.; Mandelova, Z.; Pesko, M.; Guo, J.; Kralova, K.; Sersen, F.; Vejsova, M.; Kalinowski, D.; Kovacevic, Z.; Coffey, A.; et al. Investigating the spectrum of biological activity of ring-substituted salicylanilides and carbamoylphenylcarbamates. Molecules 2010, 15, 8122–8142. [Google Scholar] [CrossRef]
- Imramovsky, A.; Pesko, M.; Monreal-Ferriz, J.; Kralova, K.; Vinsova, J.; Jampilek, J. Photosynthesis-inhibiting efficiency of 4-chloro-2-(chlorophenylcarbamoyl)phenyl alkyl-carbamates. Bioorg. Med. Chem. Lett. 2011, 21, 4564–4567. [Google Scholar] [CrossRef]
- Pauk, K.; Zadrazilova, I.; Imramovsky, A.; Vinsova, J.; Pokorna, M.; Masarikova, M.; Cizek, A.; Jampilek, J. New derivatives of salicylamides: Preparation and antimicrobial activity against various bacterial species. Bioorg. Med. Chem. 2013, 21, 6574–6581. [Google Scholar] [CrossRef]
- Andries, K.; Verhasselt, P.; Guillemont, J.; Gohlmann, H.W.; Neefs, J.M.; Winkler, H.; van Gestel, J.; Timmerman, P.; Zhu, M.; Lee, E.; et al. A diarylquinoline drug active on the ATP synthase of Mycobacterium tuberculosis. Science 2005, 307, 223–227. [Google Scholar] [CrossRef]
- Jampilek, J.; Dolezal, M.; Kunes, J.; Buchta, V.; Kralova, K. Quinaldine derivatives: Preparation and biological activity. Med. Chem. 2005, 1, 591–599. [Google Scholar] [CrossRef]
- Musiol, R.; Jampilek, J.; Buchta, V.; Niedbala, H.; Podeszwa, B.; Palka, A.; Majerz-Maniecka, K.; Oleksyn, B.; Polanski, J. Antifungal properties of new series of quinoline derivatives. Bioorg. Med. Chem. 2006, 14, 3592–3598. [Google Scholar] [CrossRef]
- Musiol, R.; Jampilek, J.; Kralova, K.; Richardson, D.R.; Kalinowski, D.; Podeszwa, B.; Finster, J.; Niedbala, H.; Palka, A.; Polanski, J. Investigating biological activity spectrum fornovel quinoline analogues. Bioorg. Med. Chem. 2007, 15, 1280–1288. [Google Scholar] [CrossRef]
- Podeszwa, B.; Niedbala, H.; Polanski, J.; Musiol, R.; Tabak, D.; Finster, J.; Serafin, K.; Wietrzyk, J.; Boryczka, S.; Mol, W.; et al. Investigating the antiproliferative activity of quinoline-5,8-dione analogues on tumour cell lines. Bioorg. Med. Chem. Lett. 2007, 17, 6138–6141. [Google Scholar] [CrossRef]
- Jampilek, J.; Musiol, R.; Finster, J.; Pesko, M.; Carroll, J.; Kralova, K.; Vejsova, M.; Coffey, A.; Polanski, J. Investigating biological activity spectrum for novel styrylquinazoline analogues. Molecules 2009, 14, 4246–4265. [Google Scholar] [CrossRef]
- Mrozek-Wilczkiewicz, A.; Kalinowski, D.; Musiol, R.; Finster, J.; Kovacevic, Z.; Jampilek, J.; Rzeszowska-Wolny, J.; Richardson, D.R.; Polanski, J. Investigating anti-proliferative activity of styrylazanaphthalenes and azanaphthalenediones. Bioorg. Med. Chem. 2010, 18, 2664–2671. [Google Scholar] [CrossRef]
- Serda, M.; Mrozek-Wilczkiewicz, A.; Jampilek, J.; Pesko, M.; Kralova, K.; Vejsova, M.; Musiol, R.; Polanski, J. Investigation of biological properties for (hetero)aromatic thiosemicarbazones. Molecules 2012, 17, 13483–13502. [Google Scholar] [CrossRef]
- Cieslik, W.; Musiol, R.; Nycz, J.; Jampilek, J.; Vejsova, M.; Wolff, M.; Machura, B.; Polanski, J. Contribution to investigation of antimicrobial activity of styrylquinolines. Bioorg. Med. Chem. 2012, 20, 6960–6968. [Google Scholar] [CrossRef]
- Rokade, Y.B.; Sayyed, R.Z. Naphthalene derivatives: A new range of antimicrobials with high therapeutic value. Rasayan J. Chem. 2009, 2, 972–980. [Google Scholar]
- Durrant, J.D.; Hall, L.; Swift, R.V.; Landon, M.; Schnaufer, A.; Schnaufer, A.; Amaro, R.E. Novel naphthalene-based inhibitors of Trypanosoma brucei RNA editing ligase 1. PLoS Negl. Trop. Dis. 2010. [Google Scholar] [CrossRef]
- Parineeta, B.N. Derivatives of 1-chloromethyl naphthalene: Synthesis and microbiological evaluation as potential antifungal agents. Der Pharma Chem. 2011, 3, 105–111. [Google Scholar]
- Kanno, T.; Tanaka, A.; Shimizu, T.; Nakano, T.; Nishizaki, T. 1-[2-(2-Methoxyphenylamino)ethylamino]-3-(naphthalene-1-yloxy)propan-2-ol as a potential anticancer drug. Pharmacology 2013, 91, 339–345. [Google Scholar] [CrossRef]
- Damu, G.L.V.; Wang, Q.P.; Zhang, H.Z.; Zhang, Y.Y.; Lv, J.S.; Zhou, C.H. A series of naphthalimide azoles: Design, synthesis and bioactive evaluation as potential antimicrobial agents. Sci. Chin. Chem. 2013, 56, 952–969. [Google Scholar] [CrossRef]
- Draber, W.; Tietjen, K.; Kluth, J.F.; Trebst, A. Herbicides in photosynthesis research. Angew. Chem. 1991, 3, 1621–1633. [Google Scholar]
- Tischer, W.; Strotmann, H. Relationship between inhibitor binding by chloroplasts and inhibition of photosynthetic electron-transport. Biochim. Biophys. Acta 1977, 460, 113–125. [Google Scholar] [CrossRef]
- Trebst, A.; Draber, W. Structure activity correlations of recent herbicides in photosynthetic reactions. In Advances in Pesticide Science; Greissbuehler, H., Ed.; Pergamon Press: Oxford, UK, 1979; pp. 223–234. [Google Scholar]
- Bowyer, J.R.; Camilleri, P.; Vermaas, W.F.J. Photosystem II and its interaction with herbicides. In Herbicides, Topics in Photosynthesis; Baker, N.R., Percival, M.P., Eds.; Elsevier: Amsterdam, The Netherlands, 1991; Volume 10, pp. 27–85. [Google Scholar]
- National Committee for Clinical Laboratory Standards. Susceptibility Testing of Mycobacteria, Nocardiae, and Other Aerobic Actinomycetes; Approved Standard, M24-A2, 2nd ed.; National Committee for Clinical Laboratory Standards: Wayne, PA, USA, 2011. [Google Scholar]
- Carroll, J.; Douarre, P.; Coffey, A.; Buckley, J.; Cashman, B.; O’Farrell, K.; O’Mahony, J. Optimization of a rapid viability assay for Mycobacterium avium paratuberculosis by using alamarBlue. Appl. Environ. Microbiol. 2009, 75, 7870–7872. [Google Scholar] [CrossRef]
- Bueno, J. Antitubercular in vitro drug discovery: Tools for begin the search. In Understanding Tuberculosis-New Approaches to Fighting against Drug Resistance; Cardona, P.J., Ed.; In Tech: Rijeka, Croatia, 2012; pp. 147–168. [Google Scholar]
- Janin, Y.L. Antituberculosis drugs: Ten years of research. Bioorg. Med. Chem. 2007, 15, 2479–2513. [Google Scholar] [CrossRef]
- Bueno, R.V.; Braga, R.C.; Segretti, N.D.; Ferreir, E.I.; Trossini, G.H.; Andrade, C.H. New tuberculostatic agents targeting nucleic acid biosynthesis: Drug design using QSAR approaches. Curr. Pharm. Des. 2014, 20, 4474–4485. [Google Scholar]
- Koul, A.; Vranckx, L.; Dhar, N.; Gohlmann, H.W.H.; Ozdemir, E.; Neefs, J.M.; Schulz, M.; Lu, P.; Mortz, E.; McKinney, J.D.; et al. Delayed bactericidal response of Mycobacterium tuberculosis to bedaquiline involves remodelling of bacterial metabolism. Nat. Commun. 2014. [Google Scholar] [CrossRef]
- Suffness, M.; Douros, J. Current status of the NCI plant and animal product program. J. Nat. Prod. 1982, 45, 1–14. [Google Scholar] [CrossRef]
- Bell, F. CCLVII.–The migration of acyl grups in o-aminophenols. J. Chem. Soc. 1930, 1981–1987. [Google Scholar] [CrossRef]
- Kumar, K.N.; Sreeramamurthy, K.; Palle, S.; Mukkanti, K.; Das, P. Dithiocarbamate and DBU-promoted amide bond formation under microwave condition. Tetrahedron Lett. 2010, 51, 899–902. [Google Scholar] [CrossRef]
- Kobs, U.; Neumann, W.P. Facile and effective synthesis of unusually substituted aromatic N-phenylamides. Chem. Ber. 1990, 123, 2191–2194. [Google Scholar] [CrossRef]
- Shah, R.; Deshpande, R.K. A simplified method for the preparation of anilides. J. Uni. Bombay 1933, 2, 125–127. [Google Scholar]
- Strukil, V.; Bartolec, B.; Portada, T.; Dilovic, I.; Halasz, I.; Margetic, D. One-pot mechanosynthesis of aromatic amides and dipeptides from carboxylic acids and amines. Chem. Commun. 2012, 48, 12100–12102. [Google Scholar] [CrossRef]
- Liu, L.H.; Guo, L.; Liu, C.H.; Zhang, X.; Jiang, Y.B. Intramolecular charge transfer with 1-naphthanilides and 2-naphthanilides. Chin. J. Chem. 2005, 23, 857–864. [Google Scholar] [CrossRef]
- Zhang, Z.; Yu, Y.; Liebeskind, L.S. N-Amidation by copper-mediated cross-coupling of organostannanes or boronic acids with O-acetyl hydroxamic acids. Org. Lett. 2008, 10, 3005–3008. [Google Scholar] [CrossRef]
- Bahrami, K.; Khodaei, M.M.; Targhan, H.; Arabi, M.S. Preparation of esters and amides from carboxylic acids and N-formylation of amines promoted by 1,3,5-triazo-2,4,6-triphosphorine-2,2,4,4,6,6-hexachloride. Tetrahedron Lett. 2013, 54, 5064–5068. [Google Scholar] [CrossRef]
- Tambade, P.J.; Patil, Y.P.; Bhanage, B.M. Palladium bis(2,2,6,6-tetramethyl-3,5-heptanedionate catalyzed alkoxycarbonylation and aminocarbonylation reactions. Appl. Organometal. Chem. 2009, 23, 235–240. [Google Scholar] [CrossRef]
- El-Sheikh, M.I.; Marks, A.; Biehl, E.R. Investigation of the synthesis of benzoxazole via aryne reaction. J. Org. Chem. 1981, 46, 3256–3259. [Google Scholar] [CrossRef]
- Aluri, B.R.; Niaz, B.; Kindermann, M.K.; Jones, P.G.; Heinicke, J. P-C-N-Heterocycles: Synthesis of biaryl-type 1,3-benzazaphospholes with ortho-substituted phenyl or 2-heteroaryl groups. Dalton Trans. 2011, 40, 211–224. [Google Scholar] [CrossRef]
- Masarovicova, E.; Kralova, K. Approaches to measuring plant photosynthesis activity. In Handbook of Photosynthesis, 2nd ed.; Pessarakli, M., Ed.; Taylor & Francis Group: Boca Raton, FL, USA, 2005; pp. 617–656. [Google Scholar]
- Kralova, K.; Sersen, F.; Sidoova, E. Photosynthesis inhibition produced by 2-alkylthio-6-R-benzothiazoles. Chem. Pap. 1992, 46, 348–350. [Google Scholar]
- Sample Availability: Samples of the compounds are available from the authors.
© 2014 by the authors. Licensee MDPI, Basel, Switzerland. This article is an open access article distributed under the terms and conditions of the Creative Commons Attribution license ( http://creativecommons.org/licenses/by/4.0/).
Share and Cite
Gonec, T.; Kos, J.; Nevin, E.; Govender, R.; Pesko, M.; Tengler, J.; Kushkevych, I.; Stastna, V.; Oravec, M.; Kollar, P.; et al. Preparation and Biological Properties of Ring-Substituted Naphthalene-1-Carboxanilides. Molecules 2014, 19, 10386-10409. https://doi.org/10.3390/molecules190710386
Gonec T, Kos J, Nevin E, Govender R, Pesko M, Tengler J, Kushkevych I, Stastna V, Oravec M, Kollar P, et al. Preparation and Biological Properties of Ring-Substituted Naphthalene-1-Carboxanilides. Molecules. 2014; 19(7):10386-10409. https://doi.org/10.3390/molecules190710386
Chicago/Turabian StyleGonec, Tomas, Jiri Kos, Eoghan Nevin, Rodney Govender, Matus Pesko, Jan Tengler, Ivan Kushkevych, Vendula Stastna, Michal Oravec, Peter Kollar, and et al. 2014. "Preparation and Biological Properties of Ring-Substituted Naphthalene-1-Carboxanilides" Molecules 19, no. 7: 10386-10409. https://doi.org/10.3390/molecules190710386
APA StyleGonec, T., Kos, J., Nevin, E., Govender, R., Pesko, M., Tengler, J., Kushkevych, I., Stastna, V., Oravec, M., Kollar, P., O'Mahony, J., Kralova, K., Coffey, A., & Jampilek, J. (2014). Preparation and Biological Properties of Ring-Substituted Naphthalene-1-Carboxanilides. Molecules, 19(7), 10386-10409. https://doi.org/10.3390/molecules190710386


