Chemical Constituents and Bioactivities of Clinacanthus nutans Aerial Parts
Abstract
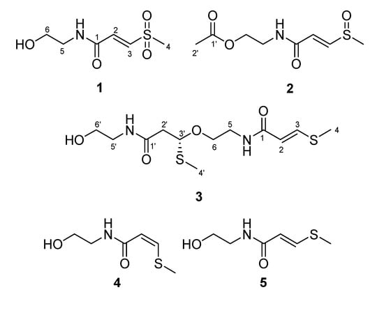
:1. Introduction

2. Results and Discussion
| NO. | 1 | 2 | 3 | 4 |
|---|---|---|---|---|
| 2 | 7.01 (d, 15.0) | 6.68 (d, 15.0) | 5.78 (d, 14.8) | 5.80 (d, 10.0) |
| 3 | 7.43 (d, 15.0) | 7.63 (d, 15.0) | 7.62 (d, 14.8) | 6.83 (d, 10.0) |
| 4 | 3.08 (s) | 2.76 (s) | 2.33 (s) | 2.35 (s) |
| 5 | 3.41 (t, 5.7) | 3.54 (t, 5.4) | 3.65 (m) | 3.46 (t, 5.0) |
| 3.38 (m) | ||||
| 6 | 3.65 (t, 5.7) | 4.17 (t, 5.4) | 3.88 (m) | 3.73 (t, 5.0) |
| 3.52 (m) | ||||
| 2' | 2.05 (s) | 2.80 (dd, 15.0, 9.8) | ||
| 2.70 (dd, 15.0, 3.2) | ||||
| 3' | 4.87 (dd, 9.8, 3.2) | |||
| 4' | 2.06 (s) | |||
| 5' | 3.52 (m) | |||
| 3.38 (m) | ||||
| 6' | 3.74 (m) |
| NO. | 1 | 2 | 3 | 4 |
|---|---|---|---|---|
| 1 | 164.6 (s) | 165.2 (s) | 165.1 (s) | 167.4 (s) |
| 2 | 136.3 (d) | 129.0 (d) | 115.9 (d) | 114.9 (d) |
| 3 | 140.1 (d) | 147.9 (d) | 142.6 (d) | 147.8 (d) |
| 4 | 42.4 (q) | 39.9 (q) | 14.5 (q) | 19.4 (q) |
| 5 | 43.4 (t) | 39.8 (t) | 38.9 (t) | 42.3 (t) |
| 6 | 61.2 (t) | 63.8 (t) | 67.5 (t) | 62.4 (t) |
| 1' | 172.7 (s) | 171.0 (s) | ||
| 2' | 20.7 (q) | 43.3 (t) | ||
| 3' | 81.4 (d) | |||
| 4' | 10.2 (q) | |||
| 5' | 42.2 (t) | |||
| 6' | 62.1 (t) |



3. Experimental Section
3.1. General Procedures
3.2. Plant Material
3.3. Extraction and Isolation
3.4. Anti-Inflammatory Assay
3.5. Anti-Dengue Virus Assay
3.6. Immune-Modulating Assay
4. Conclusions
Supplementary Materials
Acknowledgments
Author Contributions
Conflicts of Interest
References
- Sakdarat, S.; Shuyprom, A.; Pientong, C.; Ekalaksananan, T.; Thongchai, S. Bioactive constituents from the leaves of Clinacanthus nutans Lindau. Bioorg. Med. Chem. 2009, 17, 1857–1860. [Google Scholar] [CrossRef] [PubMed]
- Sakdarat, S.; Shuyprom, A.; Ayudhya, T.D.N.; Waterman, P.G.; Karagianis, G. Chemical composition investigation of the Clinacanthus nutans Lindau leaves. Thai J. Phytopharm. 2008, 15, 13–24. [Google Scholar]
- Kongkaew, C.; Chaiyakunapruk, N. Efficacy of Clinacanthus nutans extracts in patients with herpes infection: Systematic review and meta-analysis of randomized clinical trials. Complement. Ther. Med. 2011, 19, 47–53. [Google Scholar] [CrossRef] [PubMed]
- Janwitayanuchit, W.; Suwanborirux, K.; Patarapanich, C.; Pummangura, S.; Lipipun, V.; Vilaivan, T. Synthesis and anti-herpes simplex viral activity of monoglycosyl diglycerides. Phytochemistry 2003, 64, 1253–1264. [Google Scholar] [CrossRef] [PubMed]
- Ikegami, F.; Shibasaki, I.; Ohmiya, S.; Ruangrungsi, N.; Murakoshi, I. Entadamide A, a new sulphur-containing amide from Entada phaseoloides seeds. Chem. Pharm. Bull. 1985, 33, 5153–5154. [Google Scholar] [CrossRef]
- Ikegami, F.; Sekine, T.; Duangteraprecha, S.; Matsushita, N.; Matsuda, N.; Ruangrungsi, N.; Murakoshi, I. Entadamide C, a sulphur-containing amide from Entada phaseoloides. Phytochemistry 1989, 28, 881–882. [Google Scholar] [CrossRef]
- Tuntiwachwuttikul, P.; Pootaeng-on, Y.; Pansa, P.; Srisanpang, T.; Taylor, W.C. Sulfur-containing compounds from Clinacanthus siamensis. Chem. Pharm. Bull. 2003, 51, 1423–1425. [Google Scholar] [CrossRef] [PubMed]
- Greger, H.; Hofer, O.; Zechner, G.; Hadacek, F.; Wurz, G. Sulphones derived from methylthiopropenoic acid amides from Glycosmis angustifolia. Phytochemistry 1994, 37, 1305–1310. [Google Scholar] [CrossRef]
- Yu, H.-P.; Hsieh, P.-W.; Chang, Y.-J.; Chung, P.-J.; Kuo, L.-M.; Hwang, T.-L. 2-(2-Fluorobenzamido) benzoate ethyl ester (EFB-1) inhibits superoxide production by human neutrophils and attenuates hemorrhagic shock-induced organ dysfunction in rats. Free Radic. Biol. Med. 2011, 50, 1737–1748. [Google Scholar] [CrossRef]
- Yang, S.-C.; Chung, P.-J.; Ho, C.-M.; Kuo, C.-Y.; Hung, M.-F.; Huang, Y.-T.; Chang, W.-Y.; Chang, Y.-W.; Chan, K.-H.; Hwang, T.-L. Propofol inhibits superoxide production, elastase release, and chemotaxis in formyl peptide-activated human neutrophils by blocking formyl peptide receptor 1. J. Immunol. 2013, 190, 6511–6519. [Google Scholar] [CrossRef] [PubMed]
- Hsu, Y.-C.; Chen, N.-C.; Chen, P.-C.; Wang, C.-C.; Cheng, W.-C.; Wu, H.-N. Identification of a small-molecule inhibitor of dengue virus using a replicon system. Arch. Virol. 2012, 157, 681–688. [Google Scholar] [CrossRef] [PubMed]
- Shida, K.; Makino, K.; Morishita, A.; Takamizawa, K.; Hachimura, S.; Ametani, K.; Sato, T.; Kumagai, Y.; Habu, S.; Kaminogawa, S. Lactobacillus casei Inhibits Antigen-Induced IgE Secretion through Regulation of Cytokine Production in Murine Splenocyte Cultures. Int. Arch. Allergy Immunol. 1998, 115, 278–287. [Google Scholar] [CrossRef] [PubMed]
- Sample Availability: Not available.
© 2014 by the authors. Licensee MDPI, Basel, Switzerland. This article is an open access article distributed under the terms and conditions of the Creative Commons Attribution license ( http://creativecommons.org/licenses/by/4.0/).
Share and Cite
Tu, S.-F.; Liu, R.H.; Cheng, Y.-B.; Hsu, Y.-M.; Du, Y.-C.; El-Shazly, M.; Wu, Y.-C.; Chang, F.-R. Chemical Constituents and Bioactivities of Clinacanthus nutans Aerial Parts. Molecules 2014, 19, 20382-20390. https://doi.org/10.3390/molecules191220382
Tu S-F, Liu RH, Cheng Y-B, Hsu Y-M, Du Y-C, El-Shazly M, Wu Y-C, Chang F-R. Chemical Constituents and Bioactivities of Clinacanthus nutans Aerial Parts. Molecules. 2014; 19(12):20382-20390. https://doi.org/10.3390/molecules191220382
Chicago/Turabian StyleTu, Shu-Fen, Rosa Huang Liu, Yuan-Bin Cheng, Yu-Ming Hsu, Ying-Chi Du, Mohamed El-Shazly, Yang-Chang Wu, and Fang-Rong Chang. 2014. "Chemical Constituents and Bioactivities of Clinacanthus nutans Aerial Parts" Molecules 19, no. 12: 20382-20390. https://doi.org/10.3390/molecules191220382
APA StyleTu, S.-F., Liu, R. H., Cheng, Y.-B., Hsu, Y.-M., Du, Y.-C., El-Shazly, M., Wu, Y.-C., & Chang, F.-R. (2014). Chemical Constituents and Bioactivities of Clinacanthus nutans Aerial Parts. Molecules, 19(12), 20382-20390. https://doi.org/10.3390/molecules191220382

