Optimization of Extraction Conditions of Areca Seed Polyphenols and Evaluation of Their Antioxidant Activities
Abstract
:1. Introduction
2. Results and Discussion
2.1. Optimized Extraction Conditions of Areca Polyphenols
| No | X0 | X1 | X2 | X3 | X1X2 | X1X3 | X2X3 | X12 | X22 | X32 | Y (%) |
|---|---|---|---|---|---|---|---|---|---|---|---|
| 1 | 1 | 1 | 1 | 1 | 1 | 1 | 1 | 1 | 1 | 1 | 12.12 |
| 2 | 1 | 1 | 1 | −1 | 1 | −1 | −1 | 1 | 1 | 1 | 12.67 |
| 3 | 1 | 1 | −1 | 1 | −1 | 1 | −1 | 1 | 1 | 1 | 15.28 |
| 4 | 1 | 1 | −1 | −1 | −1 | −1 | 1 | 1 | 1 | 1 | 14.11 |
| 5 | 1 | −1 | 1 | 1 | −1 | −1 | 1 | 1 | 1 | 1 | 7.05 |
| 6 | 1 | −1 | 1 | −1 | −1 | 1 | −1 | 1 | 1 | 1 | 6.48 |
| 7 | 1 | −1 | −1 | 1 | 1 | −1 | −1 | 1 | 1 | 1 | 12.35 |
| 8 | 1 | −1 | −1 | −1 | 1 | 1 | 1 | 1 | 1 | 1 | 13.07 |
| 9 | 1 | −1.682 | 0 | 0 | 0 | 0 | 0 | 2.828 | 0 | 0 | 10.37 |
| 10 | 1 | 1.682 | 0 | 0 | 0 | 0 | 0 | 2.828 | 0 | 0 | 13.23 |
| 11 | 1 | 0 | −1.682 | 0 | 0 | 0 | 0 | 0 | 2.828 | 0 | 14.41 |
| 12 | 1 | 0 | 1.682 | 0 | 0 | 0 | 0 | 0 | 2.828 | 0 | 8.87 |
| 13 | 1 | 0 | 0 | −1.682 | 0 | 0 | 0 | 0 | 0 | 2.828 | 10.85 |
| 14 | 1 | 0 | 0 | 1.682 | 0 | 0 | 0 | 0 | 0 | 2.828 | 11.41 |
| 15 | 1 | 0 | 0 | 0 | 0 | 0 | 0 | 0 | 0 | 0 | 16.08 |
| 16 | 1 | 0 | 0 | 0 | 0 | 0 | 0 | 0 | 0 | 0 | 16.16 |
| 17 | 1 | 0 | 0 | 0 | 0 | 0 | 0 | 0 | 0 | 0 | 16.00 |
| 18 | 1 | 0 | 0 | 0 | 0 | 0 | 0 | 0 | 0 | 0 | 16.24 |
| 19 | 1 | 0 | 0 | 0 | 0 | 0 | 0 | 0 | 0 | 0 | 16.32 |
| 20 | 1 | 0 | 0 | 0 | 0 | 0 | 0 | 0 | 0 | 0 | 15.92 |
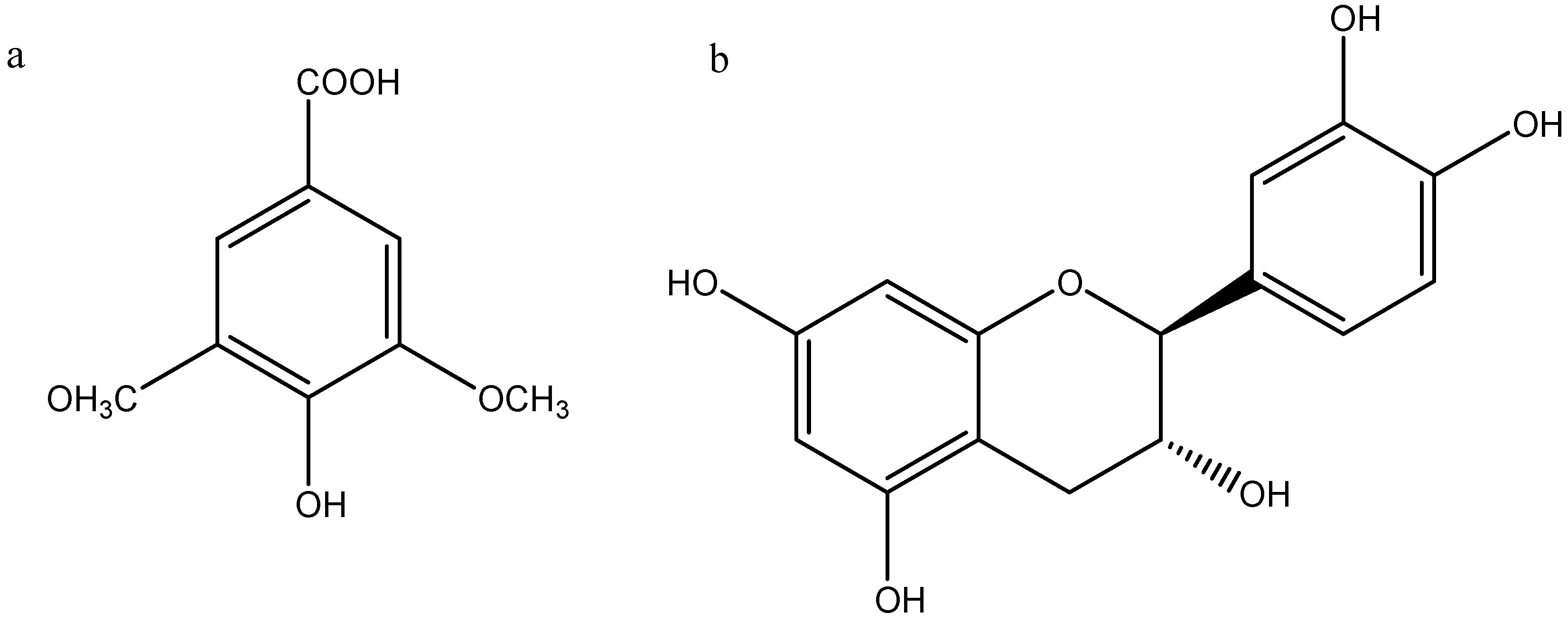
2.2. Preliminary Identification of Polyphenols in Areca Seed


| Peak No. | Phenolic Compounds | MW | [M-H]+ (Frag.MS2m/z) | Retention Time (min) |
|---|---|---|---|---|
| 1 | Syringic acid | 198 | 199 (183,154) | 11.62 |
| 2 | Epicatechin | 290 | 291 (246,180,126) | 12.67 |

2.3. Antioxidant Activities of Areca Seed
| EC50 (mg/mL) | DPPH Radical Scavenging | Hydroxyl Radical Scavenging Activity | Reducing Power |
|---|---|---|---|
| Areca seed | 0.409 b | 3.575 a | 0.188 b |
| Ascorbic acid | 0.964 a | 0.557 b | 0.401 a |
3. Experimental Section
3.1. Plant Materials and Sample Preparation
3.2. Chemicals and Reagents
3.3. Quadratic General Rotary Unitized Design
| Factor and Level | X1/Liquid to Solid Ratio (v/w) | X2/Temperature (°C) | X3/Time (min) |
|---|---|---|---|
| +1.682 | 12 | 85 | 150 |
| +1 | 11.2 | 81 | 138 |
| 0 | 10 | 75 | 120 |
| −1 | 8.8 | 69 | 102 |
| −1.682 | 8 | 65 | 90 |
| Δj | 1.2 | 6 | 18 |
3.4. Extraction of Polyphenols from Areca Seed
3.5. Determination of Polyphenol Content
3.6. Chromatographic Equipment
3.7. Analysis of Polyphenols by LC-TOF-MS
3.8. DPPH Radical-Scavenging Activity Assay
3.9. Hydroxyl Radical-Scavenging Activity Assay
3.10. Reducing Power Assay
3.11. Statistical Analysis
4. Conclusions
Acknowledgments
Author Contributions
Conflicts of Interest
References
- Chen, L.Q. The Cultivation and development status of Chinese areca nut industry. Mod. Agric. Sci. Technol. 2007, 5, 114–117. [Google Scholar]
- Staples, G.W.; Bevacqua, R.F. Areca catechu (betel nut palm). In Species Profiles for Pacific Island Agroforestry; Elevitch, C.R., Ed.; Permanent Agriculture Resources (PAR): Holualoa, HI, USA, 2006; pp. 1–17. [Google Scholar]
- Sharan, R.N.; Mehrotra, R.; Choudhury, Y.; Asotra, K. Association of betel nut with carcinogenesis: Revisit with a clinical perspective. PLoS One 2012, 7. [Google Scholar] [CrossRef]
- Bravo, L. Polyphenols: Chemistry, dietary sources, metabolism and nutritional significance. Nutr. Rev. 1998, 56, 317–333. [Google Scholar]
- Martinez-Valverde, I.; Periago, M.J.; Ros, G. Significado nutricional de los compuestos fen olicos de la dieta. Arch. Latinoam. Nutr. 2000, 50, 5–18. [Google Scholar]
- Guo, Q.; Zhao, B.; Shen, S.; Hou, J.; Xin, W. ESR study on the structure-antioxidant activity relationship of tea flavan-3-ols and their epimers. Biochim. Biophys. Acta 1999, 1427, 13–23. [Google Scholar]
- Farombi, E.O.; Britton, G.; Emerole, G.O. Evaluation of antioxidant activity and partial characterization ofextracts from browned yam flour diet. Food Res. Int. 2000, 33, 493–499. [Google Scholar]
- McDonald, S.; Prenzler, P.D.; Antolovich, M.; Robards, K. Phenolic content and antioxidant activity of olive extracts. Food Chem. 2001, 73, 73–84. [Google Scholar]
- Zhang, C.J.; Lv, F.J.; Tai, J.X.; Wang, Z.N.; Fu, Q. Quantitative dtermination of total phenolics and tannin in areca nut and its products. Food Res. Dev. 2008, 29, 119–121. [Google Scholar]
- Dahmounea, F.; Spigno, G.; Moussia, K.; Remini, H.; Cherbal, A.; Madani, K. Pistacia lentiscus leaves as a source of phenolic compounds: Microwave-assisted extraction optimized and compared with ultrasound-assisted and conventional solvent extraction. Ind. Crop. Prod. 2014, 61, 31–40. [Google Scholar]
- Ahmad-Qasem, M.H.; Cánovas, J.; Barrajón-Catalán, E.; Micol, V.; Cárcel, J.A.; García-Pérez, J.V. Kinetic and compositional study of phenolic extraction from olive leaves (var. Serrana) by using power ultrasound. Innov. Food Sci. Emerg. 2013, 17, 120–129. [Google Scholar]
- Dey, T.B.; Kuhad, R.C. Enhanced production and extraction of phenolic compounds from wheat by solid-state fermentation with Rhizopus oryzae RCK2012. Biotechnol. Rep. 2014, 4, 120–127. [Google Scholar]
- Santos-Buelga, C.; Gonzalez-Manzano, S.; Dueñas, M.; Gonzalez-Paramas, A.M. Extraction and isolation of phenolic compounds. Methods Mol. Biol. 2012, 864, 427–464. [Google Scholar]
- Han, L.; Zhang, H.D.; Li, G.S.; Lu, S.H.; Sheng, L.Z. Optimization of extraction technology and antioxidant activities of total phenol from betel nut seed. J. Agric. Mach. 2010, 41, 134–139. [Google Scholar]
- Han, L. Studies on Extraction and Separation of Antioxidant Constituents from Areca Nut. Master’s Thesis, Haian University, Haian, China, June 2010. [Google Scholar]
- De Rijke, E.; Out, P.; Neissen, W.M.A.; Ariese, F.; Gooijer, C.; Brinkman, U.A.T. Analytical separation and detection methods for flavonoids. J. Chromatogr. A 2006, 1112, 31–63. [Google Scholar]
- Prasain, J.K.; Wang, C.-C.; Barnes, S. Mass spectroscopic methods for the determination of flavonoids in biological samples. Free Radic. Biol. Med. 2004, 9, 1324–1350. [Google Scholar]
- Puessa, T.; Floren, J.; Kuldkepp, P.; Raal, A. Survey of grapevine Vitis vinifera stem polyphenols by liquid chromatography-diode array detection-tandem mass spectrometry. J. Agric. Food Chem. 2006, 54, 7488–7494. [Google Scholar]
- Mujumder, A.M.; Kapadi, A.H.; Pendse, G.S. Chemistry and pharmacology of betel nut Areca catechu Linn. J. Plant Crops 1979, 7, 69–92. [Google Scholar]
- Wang, C.K.; Lee, W.H. The separation, characteristics and biological activities of phenolics in areca fruit. J. Agric. Food Chem. 1996, 44, 2014–2019. [Google Scholar]
- Wang, C.K.; Lee, W.H.; Peng, C.H. Contents of phenolics and alkaloids in Areca catechu Linn during maturation. J. Agric. Food Chem. 1997, 45, 1185–1188. [Google Scholar]
- Govindarajan, V.S.; Methew, A.G. Polyohenolic substances of arecanut. Phytochemistry 1963, 2, 321–326. [Google Scholar]
- Wang, M.Y.; Luo, J.H.; Li, J.G. Determ ination of polyphenols in areca catechu by HPLC. Nat. Prod. Res. Dev. 2011, 23, 101–104. [Google Scholar]
- Mathew, A.G.; Parpia, H.A.B.; Govindarajan, V.S. The nature of the complex proanthocyanidins. Phytochemistry 1969, 8, 1543–1547. [Google Scholar]
- Nonaka, G.; Hsu, F.; Nishioka, I. Structures of dimeric, trimeric and tetrameric procyanidins from Areca catechu L. J. Chem. Soc. Chem. Commun. 1981, 781–783. [Google Scholar]
- Zhang, X.; Mei, W.L.; Zeng, Y.B.; Liu, J.; Dai, W.J.; Dai, H.F. Phenolic constituents from the fruits of Areca catechu and their anti-bacterial activities. J. Trop. Subtrop. Bot. 2009, 17, 74–76. [Google Scholar]
- Zhang, W.M.; Li, B.; Han, L.; Zhang, H.D. Antioxidant acitivties of the extracts from betel flower, husk and seed. Afr. J. Biotechnol. 2009, 16, 3887–3892. [Google Scholar]
- Zhang, C.M.; Huang, Y.L.; Cheng, F.F. Analysis of nine phenolic compounds of areca inflorescence extracts. Chin. J. Trop. Crops 2011, 32, 965–969. [Google Scholar]
- Pu, Y.X. Extraction, Purification and Constituent Identification of Polyphenols from Areca Nut. Master’s Thesis, Central South University Forestry Technology, Changsha, China, June 2012. [Google Scholar]
- Wang, C.K.; Su, H.Y.; Li, C.K. Chemical composition and toxicity of Taiwanese betel quid extract. Food Chem. Toxicol. 1999, 37, 135–144. [Google Scholar]
- Zhang, C.J.; Lv, F.J.; Tao, H.T. Advances of research on bioactivity components and function of areca nut. Food Nutr. Chin. 2008, 6, 50–52. [Google Scholar]
- Liu, R.H. Health benefits of fruits and vegetables are from additive and synergistic combination of phytochemicals. Am. J. Clin. Nutr. 2003, 78, 517S–520S. [Google Scholar]
- Singleton, V.L.; Rossi, J.A. Colorimetric of total phenolics with phosphomolybdic-phosphotungstic acid reagents. Am. J. Enol. Vitic. 1965, 16, 144–158. [Google Scholar]
- Brand-Williams, W.; Cuvelier, M.; Berset, C. Use of a free radical method to evaluate antioxidant activity. Lebensm.-Wiss. Technol. 1995, 28, 25–30. [Google Scholar]
- Barros, L.; Baptista, P.; Ferreira, I.C.F.R. Effect of Lactarius piperatus fruiting body maturity stage on antioxidant activity measured by several biochemical assays. Food Chem. Toxicol. 2007, 45, 1731–1737. [Google Scholar]
- Halliwell, B.; Gutteridge, J.M.; Grootveld, M. Methods for the measurement of hydroxyl radicals in biochemical systems: Deoxyribose degradation and aromatic hydroxylation. Methods Biochem. Anal. 1987, 33, 59–90. [Google Scholar]
- Oyaizu, M. Studies on products of browning reaction: Antioxidative activity of products of browning reaction. Jpn. J. Nutr. 1986, 40, 307–315. [Google Scholar]
- Sample Availability: Samples of areca seed are available from the authors.
© 2014 by the authors. Licensee MDPI, Basel, Switzerland. This article is an open access article distributed under the terms and conditions of the Creative Commons Attribution license ( http://creativecommons.org/licenses/by/4.0/).
Share and Cite
Zhang, W.-M.; Huang, W.-Y.; Chen, W.-X.; Han, L.; Zhang, H.-D. Optimization of Extraction Conditions of Areca Seed Polyphenols and Evaluation of Their Antioxidant Activities. Molecules 2014, 19, 16416-16427. https://doi.org/10.3390/molecules191016416
Zhang W-M, Huang W-Y, Chen W-X, Han L, Zhang H-D. Optimization of Extraction Conditions of Areca Seed Polyphenols and Evaluation of Their Antioxidant Activities. Molecules. 2014; 19(10):16416-16427. https://doi.org/10.3390/molecules191016416
Chicago/Turabian StyleZhang, Wei-Min, Wu-Yang Huang, Wen-Xue Chen, Lin Han, and Hai-De Zhang. 2014. "Optimization of Extraction Conditions of Areca Seed Polyphenols and Evaluation of Their Antioxidant Activities" Molecules 19, no. 10: 16416-16427. https://doi.org/10.3390/molecules191016416
APA StyleZhang, W.-M., Huang, W.-Y., Chen, W.-X., Han, L., & Zhang, H.-D. (2014). Optimization of Extraction Conditions of Areca Seed Polyphenols and Evaluation of Their Antioxidant Activities. Molecules, 19(10), 16416-16427. https://doi.org/10.3390/molecules191016416
