Next Article in Journal
Phytochemical Analysis of Pfaffia glomerata Inflorescences by LC-ESI-MS/MS
Previous Article in Journal
Combined Mass Spectrometry-Based Metabolite Profiling of Different Pigmented Rice (Oryza sativa L.) Seeds and Correlation with Antioxidant Activities
 
 
Font Type:
Arial Georgia Verdana
Font Size:
Aa Aa Aa
Line Spacing:
Column Width:
Background:
Article

Recent Advances in the Synthesis of Thiophene Derivatives by Cyclization of Functionalized Alkynes

by
Raffaella Mancuso
and
Bartolo Gabriele
*,†
Dipartimento di Chimica e Tecnologie Chimiche, Università della Calabria, Via P. Bucci, 12/C, Arcavacata di Rende (CS) 87036, Italy
*
Author to whom correspondence should be addressed.
These authors contributed equally to this work.
Molecules 2014, 19(10), 15687-15719; https://doi.org/10.3390/molecules191015687
Submission received: 28 August 2014 / Revised: 19 September 2014 / Accepted: 22 September 2014 / Published: 29 September 2014
(This article belongs to the Section Organic Chemistry)

Abstract

:
This review is intended to highlight some recent and particularly interesting examples of the synthesis of thiophene derivatives by heterocyclization of readily available S-containing alkyne substrates.

Graphical Abstract

1. Introduction

Substituted thiophenes are among the most important aromatic heterocyclic derivatives. Many molecules incorporating the thiophene nucleus have, in fact, shown important pharmacological activities [1,2,3,4]. Moreover, thiophene derivatives find large application in material science [5,6,7,8,9,10,11,12,13,14,15] and in coordination chemistry [16,17], and as intermediate in organic synthesis [18,19].
The classical approaches to substituted thiophenes are mainly based on condensation-like reactions or on subsequent functionalization of the thiophene ring [20,21,22,23,24,25,26,27,28,29,30]. However, during the last years, innovative approaches to the regioselective synthesis of substituted thiophenes starting from acyclic precursors have been developed, mainly based on heterocyclization of functionalized alkynes [31].
In this review, we will highlight some recently developed efficient and selective syntheses of thiophene derivatives by cyclization of readily available S-containing alkyne substrates, which have allowed a significant step forward toward a direct and atom-economical entry to this very important class of aromatic heterocycles. As a matter of fact, these processes may allow the construction of the thiophene ring with the desired substitution pattern in a regiospecific manner and in only one step, usually with high atom economy (particularly in the case of cycloisomerization reactions), and starting from readily available starting materials (as the acetylenic S-contaning precursors can be easily prepared in a few step from commercially available compounds through simple synthetic steps).
As will be seen, many of these cyclization reactions leading to thiophenes have been performed under mild conditions (even at rt, in particular with iodocyclizations) in classical organic solvents, either dipolar aprotic (such as N,N-dimethylacetamide (DMA), dimethylsulfoxide (DMSO), or MeCN), apolar or slightly polar (such as toluene, THF, or CH2Cl2), or protic ones (such as MeOH). However, particularly during the last years, the possibility to carry out these processes in unconventional solvents, such as ionic liquids (ILs) has been successfully verified. This has allowed the easy and convenient recycling of the reaction medium and/or of the catalyst (in the case of metal-catalyzed heterocyclizations).
We have structured the review into different Sections. Section 2 will deal with metal-catalyzed or base-promoted heterocyclizations, while in Section 3 iodocyclization reactions will be discussed. Carbocyclization of S-containing alkyne substrates is the topic of Section 4. In Section 5, some miscellaneous methods that cannot be classified into the previous categories are treated. We would like to point out here that most of the mechanisms shown in this review are based on mechanistic pathways proposed by the authors, on the basis of the existing knowledge and, in some cases, of some additional experimental evidences (product stereochemistry, reactivity pattern of the substrates, and so on). Only in a few cases these hypotheses have been corroborated by computation calculations (one example is the iodocyclization of 1-mercapto-3-yn-2-ols 23 in ionic liquids, Section 3, while, to the best of our knowledge, no kinetic studies have been reported so far. Another aspect worth mentioning concerns the reaction conditions reported in the review: they refer to the optimized conditions, usually established after a careful study on the influence of the reaction parameters (such as the catalyst loading, reagents molar ratios, solvent, temperature and so on) on substrate reactivity and product yield.

2. Synthesis of Thiophene Derivatives by Metal-Catalyzed or Base-Promoted Heterocyclization of S-Containing Alkyne Substrates

Metal-catalyzed heterocyclization of functionalized alkynes bearing a suitably placed heteronucleophilic group is a powerful methodology for the regioselective and atom-economical synthesis of substituted heterocycles starting from readily available acyclic substrates (Scheme 1, Y = heteroatom) [31,32,33,34,35,36,37,38,39,40,41,42,43,44,45,46,47,48,49]. The generally accepted mechanism for this important transformation involves the electrophilic activation of the triple bond by coordination to the metal center, followed by either exo or endo cyclization (ensuing from intramolecular nucleophilic attack by the –YH group to the coordinated triple bond) and protonolysis (Scheme 1).
Compared to the considerable number of examples reported in the literature of the synthesis of O- or N-heterocycles (Scheme 1, Y = O or N), there are still relatively few examples of metal-catalyzed heterocyclizations of S-containing alkyne substrates leading to sulfur heterocycles (Scheme 1, Y = S).
Scheme 1. Metal-catalyzed heterocyclization of functionalized alkynes bearing a suitably placed nucleophilic group leading to heterocycles through activation of the triple bond by the metal species followed by intramolecular nucleophilic attack by the heteronucleophile and protonolysis.
Scheme 1. Metal-catalyzed heterocyclization of functionalized alkynes bearing a suitably placed nucleophilic group leading to heterocycles through activation of the triple bond by the metal species followed by intramolecular nucleophilic attack by the heteronucleophile and protonolysis.
Molecules 19 15687 g001
This is probably connected with the “poisoning” effect exerted by the sulfur atom on the metal catalyst, owing to its strong coordinating and adsorptive properties [50,51]. Nevertheless, progress in organometallic catalysis has recently permitted to develop several important processes involving the metal-catalyzed carbon-sulfur bond formation [52,53,54,55]. Although most of these processes concern the formation of sulfurated acyclic molecules, during the last years several important S-cyclization reactions, involving the formation of the C-S bond and leading to S-heterocycles, have been developed.
The first example of the formation of thiophenes by a metal-catalyzed cycloisomerization approach of alkynylthiol derivatives was reported in 2000 by our research group [56]. It concerned the reaction of (Z)-2-en-4-yne-1-thiols 1 (readily obtainable from the corresponding (Z)-2-en-4-yn-1-ols [57]) in N,N-dimethylacetamide (DMA) as the solvent or under solventless conditions at 25–100 °C, carried out in the presence of a particularly simple catalytic system, consisting of PdI2 (1 mol %) in conjunction with KI (2 mol %) (Table 1). The use of KI was necessary in order to make PdI2 soluble and to stabilize the formation of the catalytically active species PdI42−. With low-boiling substrates, solventless conditions were used to facilitate product recovery. In other cases, several polar solvent were tested (a polar solvent was necessary to ensure the dissolution of the ionic catalyst), and, between them, DMA gave the best results in terms of substrate reactivity and product yield. Substrates bearing a terminal as well as an internal triple bond could be employed, while alkyl as well aryl substitution was tolerated on the double bond and at C-1 (Table 1) [56]. One indubitable advantage of this new protocol consisted in the practically neutral conditions employed for realizing the thiocyclization, as compared with the strongly basic conditions previously used (t-BuOK in t-BuOH in the presence of 18-crown-6), which were not compatible with base-sensitive substrates such as those bearing a terminal triple bond [58].
Mechanistically, the reaction is believed to proceed through anti 5-exo-dig intramolecular nucleophilic attack by the thiolic group to the triple bond coordinated to Pd(II), with formal elimination of HI, followed by protonolysis and aromatization or vice versa (Scheme 2; anionic iodide ligand are omitted for clarity). This mechanistic hypothesis was in agreement with the experimental observation that substrates bearing a terminal triple bond were more reactive with respect to those bearing an internal triple bond. With an internal triple bond, in fact, Pd(II) coordination is less favored for steric reasons. A nucleophilic attack by the –SH group on the triple bond, with Pd(II) being coordinated from the opposite site (anti attack), was also in agreement with the significantly higher reactivity observed with substrates unsubstituted at C-3 with respect to enynethiols substituted at C-3 (Table 1, compare Entries 5 and 6). This is clearly related to the fact that an anti-coordination of the triple bond to Pd(II) may be less efficient, for steric reasons, in the presence of a substituent at C-3 [56].
Table 1. PdI2/KI-catalyzed cycloisomerization of (Z)-2-en-4-yne-1-thiols 1 to substituted thiophenes 2 a [56]. Molecules 19 15687 i001
Table 1. PdI2/KI-catalyzed cycloisomerization of (Z)-2-en-4-yne-1-thiols 1 to substituted thiophenes 2 a [56]. Molecules 19 15687 i001
Entry1T (°C)Solventt (h)2Yield of 2 b (%)
1 c Molecules 19 15687 i002100none2 Molecules 19 15687 i00336
2 Molecules 19 15687 i004100none1 Molecules 19 15687 i00571
3 Molecules 19 15687 i006100DMA1.5 Molecules 19 15687 i00758
4 Molecules 19 15687 i008100DMA15 Molecules 19 15687 i00944
5 Molecules 19 15687 i010100DMA8 Molecules 19 15687 i01156
6 Molecules 19 15687 i01225DMA1 Molecules 19 15687 i01389
a: Unless otherwise noted, all cycloisomerization reactions were carried out under nitrogen using 1:KI:PdI2 molar ratio of 100:2:1. For the reactions carried out in DMA, substrate concentration was 2 mmol of 1 per mL of DMA; b: Isolated yield based on starting 1; c: The reaction was carried out with 2 mol % of PdI2.
Scheme 2. Proposed mechanistic pathways for the PdI2-catalyzed cycloisomerization of (Z)-2-en-4-yne-1-thiols 1 leading to thiophenes 2 [56].
Scheme 2. Proposed mechanistic pathways for the PdI2-catalyzed cycloisomerization of (Z)-2-en-4-yne-1-thiols 1 leading to thiophenes 2 [56].
Molecules 19 15687 g002
More recently, a strictly related method has been published, regarding the metal-free cyclization of 4-en-1-yn-3-yl acetates 3 to give 2,4-disubstituted thiophenes 5 through the intermediate formation of (Z)-2-en-4-yne-1-thiolate derivatives 4, formed in situ by allylic nucleophilic substitution with KSAc followed by base-promoted deacylation (Scheme 3) [59]. Intermediates 4 were then converted into thiophenes 5 by 5-exo-dig cyclization and aromatization. The reaction has been applied to the synthesis of several 2,4-disubstitued thiophenes, but presented limitations due to the strong basic conditions employed (for example, the reaction could not be applied to substrates bearing a terminal triple bond) and to the need for the presence of an electron-withdrawing group (EWG) at the C-4 of the starting material (Scheme 3) [59].
Scheme 3. Synthesis of 2,4-disubstitued thiophenes 5 from 4-en-1-yn-3-yl acetates 3 by sequential allylic nucleophilic substitution with KSAc followed by base-promoted deacylation, to give (Z)-2-en-4-yne-1-thiolate derivatives 4, and base-promoted thiocyclization [59].
Scheme 3. Synthesis of 2,4-disubstitued thiophenes 5 from 4-en-1-yn-3-yl acetates 3 by sequential allylic nucleophilic substitution with KSAc followed by base-promoted deacylation, to give (Z)-2-en-4-yne-1-thiolate derivatives 4, and base-promoted thiocyclization [59].
Molecules 19 15687 g003
Scheme 4. Synthesis of 3-cyano-2-(vinylthio)thiophenes 8 from 2-(1,3-dithiolan-2-ylidene)-4-ynenitriles 6 by NaH-induced ring opening, to give (Z)-1-en-4-yne-1-thiolates 7, followed by 5-exo-dig cyclization and aromatization [60].
Scheme 4. Synthesis of 3-cyano-2-(vinylthio)thiophenes 8 from 2-(1,3-dithiolan-2-ylidene)-4-ynenitriles 6 by NaH-induced ring opening, to give (Z)-1-en-4-yne-1-thiolates 7, followed by 5-exo-dig cyclization and aromatization [60].
Molecules 19 15687 g004
In a similar way, 3-cyano-2-(vinylthio)thiophenes 8 were obtained from 2-(1,3-dithiolan-2-ylidene)-4-ynenitriles 6 by NaH-induced ring opening of the 1,3-dithiolan-2-ylidene group (ensuing from deprotonation of the methylene moiety bonded to sulfur), leading to the corresponding (Z)-1-en-4-yne-1-thiolates 7, followed by 5-exo-dig cyclization and aromatization (Scheme 4) [60]. Interestingly, the similar substrates 1,1-bis(ethylthio)-1-en-4-ynes 9, bearing an electron withdrawing group, such as the carbonyl, at the 2 position, reacted in a rather different way when treated with a base such as DBU. In this case, in fact, the intermediate formation of gem-dialkylthiovinylallenes 10 took place, followed by 5-exo-dig S-cyclization and 1,3-migration of the ethyl group from sulfur to the benzylic carbon, eventually leading to substituted thiophenes 11 in good to high yields (Scheme 5) [61].
Scheme 5. Synthesis of thiophenes 11 from 1,1-bis(ethylthio)-1-en-4-ynes 9 by DBU-induced isomerization to gem-dialkylthiovinylallenes 10 followed by 5-exo-dig S-cyclization and 1,3-migration of the ethyl group [61].
Scheme 5. Synthesis of thiophenes 11 from 1,1-bis(ethylthio)-1-en-4-ynes 9 by DBU-induced isomerization to gem-dialkylthiovinylallenes 10 followed by 5-exo-dig S-cyclization and 1,3-migration of the ethyl group [61].
Molecules 19 15687 g005
An interesting approach to multifunctionalized thiophene 16 from 1,1,6,6-tetrakis(ethylthio)-2,5-bis(trifluoromethyl)hexa-1,5-dien-3-yne (12) has been reported, based on treatment of 12 with a mixture of trifluoroacetic acid and water (TFA-H2O 9:3) at 75 °C for 2 h (Scheme 6) [62].
Scheme 6. Synthesis of S-ethyl 2-(5-(ethylthio)-4-(trifluoromethyl)thiophen-2-yl)-3,3,3-trifluoropropanethioate (16) from 1,1,6,6-tetrakis(ethylthio)-2,5-bis(trifluoromethyl)hexa-1,5-dien-3-yne (12) through the intermediate formation of 5-(3,3-bis(ethylthio)-1,1,1-trifluoroprop-2-en-2-yl)-2-(ethylthio)-3-(trifluoromethyl)thiophene (15) [62].
Scheme 6. Synthesis of S-ethyl 2-(5-(ethylthio)-4-(trifluoromethyl)thiophen-2-yl)-3,3,3-trifluoropropanethioate (16) from 1,1,6,6-tetrakis(ethylthio)-2,5-bis(trifluoromethyl)hexa-1,5-dien-3-yne (12) through the intermediate formation of 5-(3,3-bis(ethylthio)-1,1,1-trifluoroprop-2-en-2-yl)-2-(ethylthio)-3-(trifluoromethyl)thiophene (15) [62].
Molecules 19 15687 g006
Formation of S-ethyl 2-(5-(ethylthio)-4-(trifluoromethyl)thiophen-2-yl)-3,3,3-trifluoropropane-thioate (16) is explained to occur by triple bond protonation to give stabilized carbocation 13 followed by sulfur attack to the carbocation and nucleophilic attack of the trifluoroacetate anion to the resulting sufonium cation 14. This leads to the formation of 5-(3,3-bis(ethylthio)-1,1,1-trifluoroprop-2-en-2-yl)-2-(ethylthio)-3-(trifluoromethyl)thiophene intermediate (15), which has been isolated under appropriate conditions, and which upon hydrolysis leads to the final product 16 (Scheme 6) [62]. A one-pot C-S coupling/heterocyclization approach to substituted thiophenes 19 has been recently reported [63]. It involves the Pd-catalyzed reaction of (Z)-1-bromo-1-en-3-ynes 17 with triisopropylsilanethiol (1.2 equiv), carried out in the presence of Xantphos as ligand and lithium hexamethyldisilazane (LiHMDS) as the base, to give (Z)-(1-en-3-ynylthio)triisopropylsilanes 18, followed by 5-endo-dig cyclization, induced by desilylation with tetrabutylammonium fluoride (TBAF) (Scheme 7) [63].
Scheme 7. Synthesis of thiophenes 19 from (Z)-1-bromo-1-en-3-ynes 17 by Pd-catalyzed coupling with triisopropylsilanethiol, to give (Z)-(1-en-3-ynylthio)triisopropylsilanes 18, followed by one-pot 5-endo-dig cyclization, induced by desilylation with tetrabutylammonium fluoride (TBAF) [63].
Scheme 7. Synthesis of thiophenes 19 from (Z)-1-bromo-1-en-3-ynes 17 by Pd-catalyzed coupling with triisopropylsilanethiol, to give (Z)-(1-en-3-ynylthio)triisopropylsilanes 18, followed by one-pot 5-endo-dig cyclization, induced by desilylation with tetrabutylammonium fluoride (TBAF) [63].
Molecules 19 15687 g007
Further functionalization of the final product, to give thiophenes 21 and 22, could be introduced by reacting purified (Z)-triisopropyl-(5-(2-phenylethynyl)oct-4-en-4-ylthio)silane (20) with CsF in the presence of a suitable electrophile, such as dimethyldisulfide or p-chlorobenzaldehyde, and molecular sieves 4A (Scheme 8) [63].
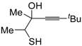
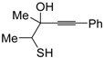
A 5-endo-dig S-cyclization was also involved in the synthesis of substituted thiophenes 24 by Pd-catalyzed heterocyclodehydration of readily available 1-mercapto-3-yn-2-ols 23, recently reported by our research group [64]. The cyclization reaction is catalyzed by PdI2 in conjunction with an excess (10:1 molar ratio) of KI, and takes place either in MeOH at 50–100 °C (Table 2) or in an ionic liquid, such as BmimBF4, at 80 °C. These are optimized conditions, after a careful study on the influence of the reaction parameters (such as the KI:PdI2 molar ratio, the catalyst loading, and so on) on substrate reactivity and product yield. In the case of the reactions carried out in BmimBF4, the catalyst-solvent system could be recycled several times without appreciable loss of activity (Table 3) [64]. This protocol generalized the previous finding by Aponick and coworkers, who reported the Au/Ag-catalyzed transformation of 1-mercapto-4-phenylbut-3-yn-2-ol into 2-phenylthiophene, carried out using 5 mol % of Au[P(t-Bu)2(o-biphenyl)]Cl and 5 mol % of AgOTf in THF at 40 °C in the presence of molecular sieves 4A [65]. The heterocyclodehydration process takes place by 5-endo-dig intramolecular nucleophilic attack of the thiol group to the triple bond coordinated to the metal center, with elimination of HI, followed by dehydration and protonolysis or vice versa (Scheme 9; anionic iodide ligands are omitted for clarity) [64].
Scheme 8. Synthesis of 3-(methylthio)-2-phenyl-4,5-dipropylthiophene (21) and (4-chlorophenyl)(2-phenyl-4,5-dipropylthiophen-3-yl)methanol (22) from (Z)-triisopropyl(5-(2-phenylethynyl)oct-4-en-4-ylthio)silane (20) by CsF-induced 5-exo-dig S-cyclization in the presence of a suitable electrophile (dimethyldisulfide or p-chlorobenzaldehyde respectively) [63].
Scheme 8. Synthesis of 3-(methylthio)-2-phenyl-4,5-dipropylthiophene (21) and (4-chlorophenyl)(2-phenyl-4,5-dipropylthiophen-3-yl)methanol (22) from (Z)-triisopropyl(5-(2-phenylethynyl)oct-4-en-4-ylthio)silane (20) by CsF-induced 5-exo-dig S-cyclization in the presence of a suitable electrophile (dimethyldisulfide or p-chlorobenzaldehyde respectively) [63].
Molecules 19 15687 g008
Table 2. PdI2/KI-catalyzed heterocyclodehydration of 1-mercapto-3-yn-2-ols 23 to substituted thiophenes 24 a [64]. Molecules 19 15687 i014
Table 2. PdI2/KI-catalyzed heterocyclodehydration of 1-mercapto-3-yn-2-ols 23 to substituted thiophenes 24 a [64]. Molecules 19 15687 i014
Entry23PdI2 (mol %)T (°C)t (h)24Yield of 24 (%) b
1 Molecules 19 15687 i0151503 Molecules 19 15687 i01688
2 Molecules 19 15687 i0171801 Molecules 19 15687 i01889
3 Molecules 19 15687 i01925012 Molecules 19 15687 i02075
4 Molecules 19 15687 i0211501 Molecules 19 15687 i02280
5 Molecules 19 15687 i02315024 Molecules 19 15687 i02478
6 Molecules 19 15687 i02521006 Molecules 19 15687 i02650
7 Molecules 19 15687 i0271508 Molecules 19 15687 i02885
8 Molecules 19 15687 i0291508 Molecules 19 15687 i03052 c
9 Molecules 19 15687 i0312803 Molecules 19 15687 i03285
a: All cycloisomerization reactions were carried out in MeOH as the solvent (0.5 mmol of starting thiol 23 per mL of MeOH) in the presence of PdI2 and KI (KI:PdI2 molar ratio of 10). Conversion of substrate was quantitative; b: Isolated yield based on starting 23; c: Substrate conversion was 74%.
Table 3. Recyclable catalytic synthesis of substituted thiophenes 24 by PdI2/KI-catalyzed heterocyclodehydration of 1-mercapto-3-yn-2-ols 23 in BmimBF4 a [64]. Molecules 19 15687 i033
Table 3. Recyclable catalytic synthesis of substituted thiophenes 24 by PdI2/KI-catalyzed heterocyclodehydration of 1-mercapto-3-yn-2-ols 23 in BmimBF4 a [64]. Molecules 19 15687 i033
Entry2324Yield of 24 (%) b
Run 1Run 2Run 3Run 4Run 5Run 6Run 7 c
1 Molecules 19 15687 i034 Molecules 19 15687 i03581838079797879
2 Molecules 19 15687 i036 Molecules 19 15687 i03771727170707169
3 Molecules 19 15687 i038 Molecules 19 15687 i03978777776767776
4 Molecules 19 15687 i040 Molecules 19 15687 i04167666766666565
a: All cycloisomerization reactions were carried out at 80 °C for 24 h in BmimBF4 as the solvent (0.2 mmol of starting thiol 23 per mL of BmimBF4) in the presence of PdI2 (1 mol %) and KI (KI:PdI2 molar ratio of 10). Conversion of substrate was quantitative; b: Isolated yield based on starting 23; c: Run 1 corresponds to the 1st experiment, the next runs to recycles.
Scheme 9. Proposed mechanistic pathways for the PdI2-catalyzed heterocyclodehydration of 1-mercapto-3-yn-2-ols 23 leading to thiophenes 24 [64].
Scheme 9. Proposed mechanistic pathways for the PdI2-catalyzed heterocyclodehydration of 1-mercapto-3-yn-2-ols 23 leading to thiophenes 24 [64].
Molecules 19 15687 g009
Copper-promoted or –catalyzed cyclization of S-containing alkyne derivatives to give thiophenes has also been reported. Thus, (Z)-1-en-3-ynyl(butyl)sulfanes 25 were converted into the corresponding substituted 3-halothiophenes 27 (X = Cl or Br) when treated with 2 equiv of CuX2 in MeCN (X = Cl) or THF (X = Br) as the solvent (Scheme 10) [66]. The process is believed to proceed through CuX2-promoted 5-endo-dig S-cyclization, to give the sulfonium salt 26, followed by reductive elimination with simultaneous nucleophilic attack by the X anion to the butyl group bonded to the sulfur atom of 26 (Scheme 10) [66].
Scheme 10. Synthesis of thiophenes 27 from (Z)-1-en-3-ynyl(butyl)sulfanes 25 by CuX2-promoted 5-endo-dig S-cyclization, to give the sulfonium salt 26, followed by elimination of BuX and Cu(0) [66].
Scheme 10. Synthesis of thiophenes 27 from (Z)-1-en-3-ynyl(butyl)sulfanes 25 by CuX2-promoted 5-endo-dig S-cyclization, to give the sulfonium salt 26, followed by elimination of BuX and Cu(0) [66].
Molecules 19 15687 g010
In a strictly related process, 2-aryl-3-halothiophenes 30 were obtained in moderate yields from but-3-ynyl(butyl)sulfanes 28, when working in the presence of 4 equiv of CuX2 (X = Cl, Br) in DMA under air at 100 °C for 12 h, through the intermediate formation of dihydrothiophenes 29 (Scheme 11) [67].
Scheme 11. Synthesis of 2-aryl-3-halothiophenes 30 from but-3-ynyl(butyl)sulfanes 28 by CuX2-mediated 5-endo-dig S-cyclization, elimination of BuX and Cu(0), and in situ oxidation of dihydrothiophene intermediates 29 [67].
Scheme 11. Synthesis of 2-aryl-3-halothiophenes 30 from but-3-ynyl(butyl)sulfanes 28 by CuX2-mediated 5-endo-dig S-cyclization, elimination of BuX and Cu(0), and in situ oxidation of dihydrothiophene intermediates 29 [67].
Molecules 19 15687 g011
The Cu(I)-catalyzed tandem addition of terminal alkynes to 1-phenylsulfonylalkylidenethiiranes 31/cycloisomerization has allowed a convenient synthesis of functionalized thiophenes 33 (Table 4) [68].
Table 4. CuCl/DBU-catalyzed tandem addition/cycloisomerization of 1-phenylsulfonylalkylidenethiiranes 31 with terminal alkynes leading to thiophenes 33 a [68]. Molecules 19 15687 i042
Table 4. CuCl/DBU-catalyzed tandem addition/cycloisomerization of 1-phenylsulfonylalkylidenethiiranes 31 with terminal alkynes leading to thiophenes 33 a [68]. Molecules 19 15687 i042
Entry311-Alkynet (h)33Yield of 33 (%) b
1 Molecules 19 15687 i043 Molecules 19 15687 i04410 Molecules 19 15687 i04591
2 Molecules 19 15687 i043 Molecules 19 15687 i04610 Molecules 19 15687 i04786
3 Molecules 19 15687 i043 Molecules 19 15687 i0488 Molecules 19 15687 i04968
4 Molecules 19 15687 i043 Molecules 19 15687 i05010 Molecules 19 15687 i05165
5 Molecules 19 15687 i043 Molecules 19 15687 i05210 Molecules 19 15687 i05367
6 Molecules 19 15687 i043 Molecules 19 15687 i05412 Molecules 19 15687 i05568
7 Molecules 19 15687 i043 Molecules 19 15687 i0565 Molecules 19 15687 i05791
8 c Molecules 19 15687 i058 Molecules 19 15687 i05914 Molecules 19 15687 i06076
9 c Molecules 19 15687 i061 Molecules 19 15687 i05916 Molecules 19 15687 i06272
10 c Molecules 19 15687 i063 Molecules 19 15687 i06420 Molecules 19 15687 i06568
a: All reactions were carried out in toluene at 50 °C in the presence of CuCl (20 mol %) and DBU (10 mol %), with a 31: alkyne molar ratio of 1:1.5; b: Isolated yield based on starting 31; c: The reaction was carried out under reflux.
Reactions were carried out in toluene at 50 °C or under reflux with a molar ratio of 31: alkyne:CuCl of 1:1.5:0.2, in the presence of DBU (10 mol % with respect to 31). The reaction is believed to proceed through base-promoted formation of an alkynylcopper intermediate, whose regiospecific attack to the C-2 of the thiirane ring affords (Z)-1-phenylsulfonyl-1-en-4-yne-2-thiolate intermediate 32. 5-Endo-dig cyclization of the latter, ensuing from intramolecular nucleophilic attack of the thiolate group to the triple bond coordinated to CuCl, followed by protonolysis and isomerization, eventually leads to the final thiophene derivative 33 (Scheme 12) [68].
Scheme 12. Formation of thiophenes 33 by CuCl/DBU-catalyzed tandem addition/cycloisomerization of 1-phenylsulfonylalkylidenethiiranes 31 with terminal alkynes through the intermediate formation of (Z)-1-phenylsulfonyl-1-en-4-yne-2-thiolate 32 [68].
Scheme 12. Formation of thiophenes 33 by CuCl/DBU-catalyzed tandem addition/cycloisomerization of 1-phenylsulfonylalkylidenethiiranes 31 with terminal alkynes through the intermediate formation of (Z)-1-phenylsulfonyl-1-en-4-yne-2-thiolate 32 [68].
Molecules 19 15687 g012
An interesting approach to 2,5-disubstituted thiophenes 38, starting from 1-bromoalkynes 34 and Na2S (5 equiv) in the presence of CuI (15 mol %) and 1,10-phenanthroline (20 mol %), in DMF at 70 °C, has been recently developed (Scheme 13) [69]. The proposed mechanism starts with the Cu(I)-catalyzed formation of 1,3-diynes 35, followed by sulfide attack to the triple bond to give enynethiolate intermediate 36. Cu-promoted 5-endo-dig cyclization of the latter, ensuing from intramolecular attack by the sulfur atom to the triple bond coordinated to CuI, leads to 3-thienylcopper complex 37, from which the final product is formed by protonolysis (Scheme 13) [69].
Scheme 13. Synthesis of thiophenes 38 from 1-bromoalkynes 34 and Na2S by CuI-induced 5-endo-dig S-cyclization of enynethiolate intermediate 36, formed by sulfide addition to 1,3-diynes 35, deriving in their turn from CuI-catalyzed homocoupling of 34 [69].
Scheme 13. Synthesis of thiophenes 38 from 1-bromoalkynes 34 and Na2S by CuI-induced 5-endo-dig S-cyclization of enynethiolate intermediate 36, formed by sulfide addition to 1,3-diynes 35, deriving in their turn from CuI-catalyzed homocoupling of 34 [69].
Molecules 19 15687 g013
The direct, metal-free conversion of 1,3-diynes 39 to thiophenes 40, by reaction with a 3-fold excess of NaSH or Na2S•9H2O in DMF at 25–80 °C for 1–48 h, has also been reported, as exemplified in Scheme 14 [70].
Scheme 14. Metal-free synthesis of thiophenes 40 from 1,3-diynes 39 and Na2S [70].
Scheme 14. Metal-free synthesis of thiophenes 40 from 1,3-diynes 39 and Na2S [70].
Molecules 19 15687 g014

3. Synthesis of Thiophene Derivatives by Iodocyclization of S-Containing Alkyne Substrates

The iodocyclization of suitably functionalized alkynes is a very important synthetic tool for the direct preparation of iodine-containing carbo- and heterocycles starting from readily available starting materials [71,72,73,74,75,76,77,78,79]. The utility of the method is further demonstrated by the possibility to elaborate the final products through various cross-coupling reactions (such as Heck, Suzuki-Miyaura, and Sonogashira reactions). The process is usually carried out under mild conditions, and takes place trough intramolecular nucleophilic attack of the nucleophilic group of the substrate to the iodonium ion formed by the reaction between the triple bond and the electrophilic iodine species (indicated with I+); both exo and endo cyclization modes are possible, as shown in Scheme 15. The process is usually carried out in the presence of a base, to buffer the acid generated during the process.
Scheme 15. Iodocyclization of alkynes bearing a suitably placed nucleophilic group leading to iodinated carbo- or heterocycles [71,72,73,74,75,76,77,78,79].
Scheme 15. Iodocyclization of alkynes bearing a suitably placed nucleophilic group leading to iodinated carbo- or heterocycles [71,72,73,74,75,76,77,78,79].
Molecules 19 15687 g015
Recently, several novel approaches to iodinated thiophenes have been reported, starting from readily available sulfur-containing alkynes. As an extension of the previously reported syntheses of 3-iodofuran and 3-iodopyrrole derivatives by the iodocyclization of 3-yne-1,2 diols [80,81,82,83,84] and N-protected 1-amino-3-yn-1-ols [80,85], respectively, our research group has reported a particularly facile and convenient synthesis of 3-iodothiopenes 41 by dehydrative iodocyclization of 1-mercapto-3-yn-2-ols 23, according to Scheme 16 [86]. Reactions were carried out in MeCN at room temperature for 5 h, using molecular iodine as the electrophilic iodine species (2–3 equiv) and NaHCO3 as the base (1–3 equiv). Iodine-induced 5-endo-dig cyclization was followed by dehydration with aromatization to give 41 in fair to high yields (65%–88%, Scheme 16) [86].
Scheme 16. Synthesis of 3-iodothiophenes 41 by 5-endo-dig iodocyclization/dehydration of 1-mercapto-3-yn-2-ols 23 [86].
Scheme 16. Synthesis of 3-iodothiophenes 41 by 5-endo-dig iodocyclization/dehydration of 1-mercapto-3-yn-2-ols 23 [86].
Molecules 19 15687 g016
Interestingly, the process also took place in an ionic liquid bearing a basic anionic moiety, such as 1-ethyl-3-methylimidazolium ethylsulfate (EmimEtSO4), as the solvent, in the absence of external bases [87]. As reported in Table 5, the reaction medium could be recycled several times without significantly affecting the reaction outcome. Theoretical calculations have confirmed the role of the ethylsulfate anion in the deprotonation of the thiolic group of the substrate [87].
A thioether or thioester group can also act as intramolecular nucleophile in an iodocyclization process, eventually leading to a thiophene derivative. Thus, 5-(4-(benzylthio)but-1-ynyl)-2-methoxyphenyl acetate 42 was easily transformed into 5-(3-iodothiophen-2-yl)-2-methoxyphenol 45 in almost quantitative yield by a three-step procedure, involving iodocyclization (carried out with I2 in CH2Cl2 at room temperature), to give dihydrothiophene 44, followed by oxidation with DDQ and deacylation with K2CO3 in MeOH (Scheme 17) [88].
Table 5. Recyclable and base-free synthesis of 3-iodothiophenes 41 by iodoheterocyclization of 1-mercapto-3-yn-2-ols 23 in EmimEtSO4 a [87]. Molecules 19 15687 i066
Table 5. Recyclable and base-free synthesis of 3-iodothiophenes 41 by iodoheterocyclization of 1-mercapto-3-yn-2-ols 23 in EmimEtSO4 a [87]. Molecules 19 15687 i066
Entry2341Yield of 41 (%) b
Run 1Run 2Run 3Run 4Run 5Run 6Run 7 c
1 Molecules 19 15687 i067 Molecules 19 15687 i06870687071727072
2 Molecules 19 15687 i069 Molecules 19 15687 i07065676862656560
3 Molecules 19 15687 i071 Molecules 19 15687 i07277686769687071
4 d Molecules 19 15687 i073 Molecules 19 15687 i07477737065616060
5 e Molecules 19 15687 i075 Molecules 19 15687 i07681737675727374
a: Unless otherwise noted, all iodocyclization reactions were carried out at rt for 24 h in EmimEtSO4 as the solvent (0.25 mmol of starting thiol 23 per mL of EmimEtSO4) in the presence of 1 equiv of I2. Conversion of substrate was quantitative; b: Isolated yield based on starting 23; c: Run 1 corresponds to the 1st experiment, the next runs to recycles; d: The reaction was carried out with a I2:substrate molar ratio of 2; e: The reaction was carried out with a I2:substrate molar ratio of 1.5.
Scheme 17. Synthesis of 5-(3-iodothiophen-2-yl)-2-methoxyphenol 45 by 5-endo-dig iodocyclization of 5-(4-(benzylthio)but-1-ynyl)-2-methoxyphenyl acetate 42 to give 5-(3-iodo-4,5-dihydrothiophen-2-yl)-2-methoxyphenyl acetate 44 (through the intermediate formation of sulfonium ion salt 43) followed by oxidation and deacylation [88].
Scheme 17. Synthesis of 5-(3-iodothiophen-2-yl)-2-methoxyphenol 45 by 5-endo-dig iodocyclization of 5-(4-(benzylthio)but-1-ynyl)-2-methoxyphenyl acetate 42 to give 5-(3-iodo-4,5-dihydrothiophen-2-yl)-2-methoxyphenyl acetate 44 (through the intermediate formation of sulfonium ion salt 43) followed by oxidation and deacylation [88].
Molecules 19 15687 g017
As concerns the mechanism leading to 44, as shown in Scheme 17, the initial iodocyclization is followed by nucleophilic attack by the iodide anion on the benzyl group of the sulfonium intermediate 43. In a similar way, (Z)-1-en-3-ynyl(butyl)sulfanes 46 were smoothly converted into 3-iodothiophenes 47 when treated with 1.1 equiv of I2 in CH2Cl2 or 1,2-dichloroethane (DCE) at rt or 70 °C for 5 min–2 h, as shown in Table 6 [89,90].
Table 6. Synthesis of 3-iodothiophenes 47 by iodocyclization of (Z)-1-en-3-ynyl(butyl)sulfanes 46 a [89,90]. Molecules 19 15687 i077
Table 6. Synthesis of 3-iodothiophenes 47 by iodocyclization of (Z)-1-en-3-ynyl(butyl)sulfanes 46 a [89,90]. Molecules 19 15687 i077
Entry46SolventtT47Yield of 47 (%) b
1 Molecules 19 15687 i078CH2Cl25 minrt Molecules 19 15687 i07982
2 Molecules 19 15687 i080CH2Cl25 minrt Molecules 19 15687 i08192
3 Molecules 19 15687 i082CH2Cl215 minrt Molecules 19 15687 i08377
4 Molecules 19 15687 i084CH2Cl220 minrt Molecules 19 15687 i08565
5 Molecules 19 15687 i086CH2Cl230 minrt Molecules 19 15687 i08784
6 Molecules 19 15687 i088DCE2 h70 °C Molecules 19 15687 i08980
7 Molecules 19 15687 i090DCE2 h70 °C Molecules 19 15687 i09168
a: I2 was added dropwise in the appropriate solvent; b: Isolated yield based on starting 46.
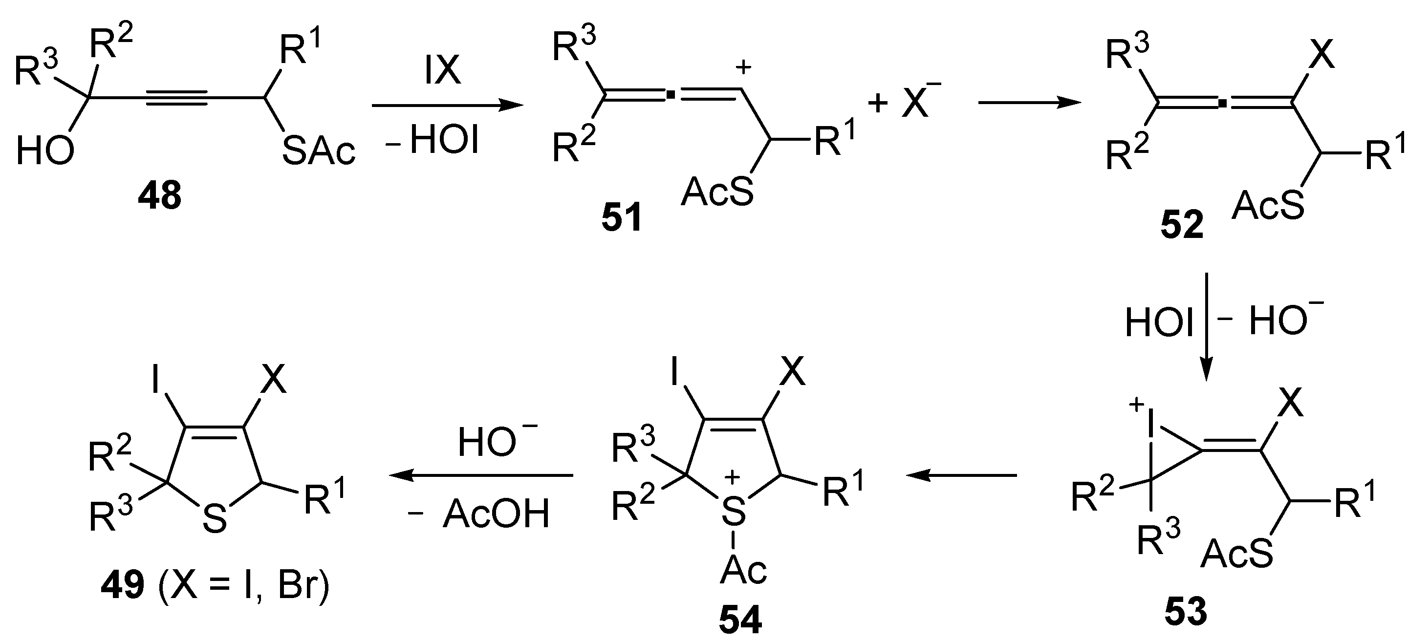
3,4-Dihalodihydrothiophenes 49 have been obtained in moderate to excellent yields (39%–98%) by the iodocyclization of S-4-hydroxybut-2-ynyl ethanethioate 48, carried out with an excess of I2 or IBr (2–3 equiv) in CH2Cl2 at rt for 1 h, according to Scheme 18 [91,92]. These products could be conveniently converted into the corresponding 3,4-dihalothiophenes 50 through oxidation with DDQ and then further elaborated by the Heck or Sonogashira reactions [91].
Scheme 18. Synthesis of 3,4-dihalodihydrothiophenes 49 by iodocyclization of S-4-hydroxybut-2-ynyl ethanethioate 48 and their oxidation into 3,4-dihalothiophenes 50 [91,92].
Scheme 18. Synthesis of 3,4-dihalodihydrothiophenes 49 by iodocyclization of S-4-hydroxybut-2-ynyl ethanethioate 48 and their oxidation into 3,4-dihalothiophenes 50 [91,92].
Molecules 19 15687 g018
Mechanistically, the idocyclization process is believed to occur through I2- or IBr-induced formation of an allenic carbocation 51 (with simultaneous formation of HOI), followed by iodide (or bromide) attack to give an iodoallene (or bromoallene) intermediate 52 (Scheme 19). Reaction of the latter with HOI affords the iodonium intermediate 53, which then undergoes intramolecular nucleophilic attack by the sulfur atom to give sulfonium cation 54. Deacylation of the latter by the previously generated hydroxide anion eventually affords 3,4-dihalodihydrothiophenes 49 (Scheme 19) [91,92].
Scheme 19. Proposed mechanism for the formation of 3,4-dihalodihydrothiophenes 49 by iodocyclization of S-4-hydroxybut-2-ynyl ethanethioate 48 [91,92].
Scheme 19. Proposed mechanism for the formation of 3,4-dihalodihydrothiophenes 49 by iodocyclization of S-4-hydroxybut-2-ynyl ethanethioate 48 [91,92].
Molecules 19 15687 g019
Starting from S-4-oxobut-2-ynylethanethioates 55, the formation of 3,4-diodothiophenes 56 could be obtained directly, using 3 equiv of I2 in nitromethane at rt for 5 h (Scheme 20) [92].
Scheme 20. Synthesis of 3,4-diiodothiophenes 56 by iodocyclization of S-4-oxobut-2-ynylethanethioates 55 [92].
Scheme 20. Synthesis of 3,4-diiodothiophenes 56 by iodocyclization of S-4-oxobut-2-ynylethanethioates 55 [92].
Molecules 19 15687 g020

4. Synthesis of Thiophene Derivatives by Carbocyclization of S-Containing Alkyne Substrates

Only a few methods have been reported so far in the literature for the synthesis of thiophenes through carbocyclization of S-containing acetylenes. To the best of our knowledge, the first catalytic example of such an approach was reported by our research group in 1999 [93]. It involved the PdI2/KI-catalyzed carbonylative carbocyclization of dipropargyl sulfide (57) to afford a mixture of 3,4-bis(methoxycarbonylmethylene)tetrahydrothiophene (58, 39%, Z,Z:E,E ca. 1:1) and 3,4-bis- (methoxycarbonylmethyl)thiophene (59, 3%), which could be treated directly, without further purification, with Et3N in CH2Cl2 at 60 °C for 3 h to selectively give the novel thiophene derivatative 59 in 40% isolated yield based on starting 57 (Scheme 21). The carbonylation reaction was carried out in MeOH as the solvent at 40 °C and under 20 atm of a 3:1 mixture of CO-air, in the presence of 0.5 mol % of PdI2 and 5 mol % of KI for 5 h [93].
Scheme 21. Synthesis of 3,4-bis(methoxycarbonylmethyl)thiophene (59) by PdI2-catalyzed oxidative carbonylative carbocyclization of dipropargyl sulfide 57 followed by base-promoted isomerization [93].
Scheme 21. Synthesis of 3,4-bis(methoxycarbonylmethyl)thiophene (59) by PdI2-catalyzed oxidative carbonylative carbocyclization of dipropargyl sulfide 57 followed by base-promoted isomerization [93].
Molecules 19 15687 g021
The carbonylative carbocyclization process started with the formation of a methoxycarbonylpalladium iodide intermediate 60 from the reaction between PdI2, CO, and MeOH [49,94,95,96,97,98,99,100], followed by the insertion of the triple bond of 57 into the palladium-carbon bond to give complex 61, stabilized by the chelation from the second triple bond (Scheme 22; anionic iodide ligands are omitted for clarity). Further insertion of the triple bond leads to the carbocyclized vinylpalladium intermediate 62, from which the final product 58 is obtained from nucleophilic displacement by MeOH. In the last step, Pd(0) was generated, which is then reoxidized back to PdI2 according to a mechanism involving initial oxidation of 2 mol of HI (also ensuing from the carbonylation process) to give I2, followed by oxidative addition of I2 to Pd(0) [49,94,95,96,97,98,99,100] (Scheme 22).
Later on, the anionic carbocyclization of some dipropargylic sulfides was studied, using t-BuOK in THF at rt for 1 min [101]. The reaction of (3-phenylprop-2-ynyl)(prop-2-ynyl)sulfane (63) led to a 1:1 diastereoisomeric mixture of 2-styrylthiophene (65) in 70% yield, through a mechanism involving the formation of diallenyl sulfide 64 as intermediate (Scheme 23). Similar results were obtained with (4,4-dimethylpent-2-ynyl)(3-phenylprop-2-ynyl)sulfane [101].
Scheme 22. Proposed mechanism for the formation of bis(methoxycarbonylmethylene)-tetrahydrothiophene (58) by PdI2-catalyzed oxidative carbonylative carbocyclization of dipropargyl sulfide (57) [93].
Scheme 22. Proposed mechanism for the formation of bis(methoxycarbonylmethylene)-tetrahydrothiophene (58) by PdI2-catalyzed oxidative carbonylative carbocyclization of dipropargyl sulfide (57) [93].
Molecules 19 15687 g022
Scheme 23. Formation of 2-styrylthiophene (65) by base-promoted carbocyclization of (3-phenylprop-2-ynyl)(prop-2-ynyl)sulfane (65) [101].
Scheme 23. Formation of 2-styrylthiophene (65) by base-promoted carbocyclization of (3-phenylprop-2-ynyl)(prop-2-ynyl)sulfane (65) [101].
Molecules 19 15687 g023
A more complicated reaction mixture was observed from the reaction of bis(3-phenylprop-2-ynyl)sulfane, with formation of products deriving from radical cycloaromatization besides the expected vinylthiophene. A radical cycloaromatization mechanism was also at work in the case of bis(4-methylpent-4-en-2-ynyl)sulfane (66) with formation of 6-methyl-4-(prop-1-en-2-yl)-4,5-dihydrobenzo[c]thiophene 68 in 36% yield, through the formation of the diradical intermediate 67 [101] (Scheme 24).
A propargyl-allenyl isomerization was also the first step in the formation of β-allyl thiophene derivatives 73 starting from functionalized allyl(4-en-2-ynyl)sulfanes 69, using DBU as the base in THF at rt [102]. As shown in Scheme 25, the initially formed eneallynyl intermediate 70 underwent thio-Claisen rearrangement (TCR) to give trienethione 71. Deprotonation of the latter followed by intramolecular conjugate addition afforded 5-methylene-2,5-dihydrothiophene 72, whose aromatization led to the final thiophene derivative 73 [102].
Scheme 24. Formation of 6-methyl-4-(prop-1-en-2-yl)-4,5-dihydrobenzo[c]thiophene (68) by base-promoted carbocyclization of bis(4-methylpent-4-en-2-ynyl)sulfane (66) [101].
Scheme 24. Formation of 6-methyl-4-(prop-1-en-2-yl)-4,5-dihydrobenzo[c]thiophene (68) by base-promoted carbocyclization of bis(4-methylpent-4-en-2-ynyl)sulfane (66) [101].
Molecules 19 15687 g024
Scheme 25. Synthesis of β-allyl thiophene derivatives 73 by base-promoted isomerization/thio-Claisen rearrangement/conjugate addition/aromatization of allyl(4-en-2-ynyl)sulfanes 69 [102].
Scheme 25. Synthesis of β-allyl thiophene derivatives 73 by base-promoted isomerization/thio-Claisen rearrangement/conjugate addition/aromatization of allyl(4-en-2-ynyl)sulfanes 69 [102].
Molecules 19 15687 g025
An interesting tandem thermal rearrangement/carbocyclization process of dipropargylic disulfides 74, leading to a mixture of 1,3-dihydrothieno[3,4,-c]thiophenes 75 and thienyl disulfides 76, has been reported recently [103]. As shown in Table 7, the reaction takes place in CHCl3, MeCN, or DMSO as the solvent at 60–70 °C for 1.5–160 h [103].
Mechanistically, the reaction leading to 75 is believed to occur via an initial double [2,3]-sigmatropic rearrangement to give diallenyl disulfides 77, which may then undergo a [3,3]-sigmatropic rearrangement to give 2,3-dimethylene-1,4-dithione 78, followed by a double conjugate addition of the sulfur atoms to the double bonds of 78, to give 1,4-dihydrothieno[3,4-c]thiophene 79, and isomerization (Scheme 26, path a). On the other hand, 76 may be formed by dimerization of the thiyl radical intermediate 80, formed in its turn from 79 by the action of O2 (Scheme 26, path b). Accordingly, the formation of 76 could be minimized working in the absence of air under argon atmosphere (entry 2, Table 8) [103].
Table 7. Synthesis of 1,3-dihydrothieno[3,4-c]thiophenes 75 and thienyl disulfides 76 by tandem thermal rearrangement/carbocyclization process of dipropargylic disulfides 74 a [103]. Molecules 19 15687 i092
Table 7. Synthesis of 1,3-dihydrothieno[3,4-c]thiophenes 75 and thienyl disulfides 76 by tandem thermal rearrangement/carbocyclization process of dipropargylic disulfides 74 a [103]. Molecules 19 15687 i092
Entry74Solventt (h)T (°C)7576Yield of 75 (%) bYield of 76 (%) b
1 Molecules 19 15687 i093CHCl31.560 Molecules 19 15687 i094 Molecules 19 15687 i0951327
2c Molecules 19 15687 i093CHCl3260 Molecules 19 15687 i094 Molecules 19 15687 i095737
3 Molecules 19 15687 i096CHCl316060 Molecules 19 15687 i097 Molecules 19 15687 i0985411
4 Molecules 19 15687 i096DMSO2470 Molecules 19 15687 i097 Molecules 19 15687 i098045
5 Molecules 19 15687 i099CHCl32460 Molecules 19 15687 i100 Molecules 19 15687 i101458
6 Molecules 19 15687 i099MeCN1660 Molecules 19 15687 i100 Molecules 19 15687 i1013612
a: The mixture 75+76 was isolated by column chromatography. Products 75 and 76 were not separated; b: Yield based on starting 74, referred to the isolated overall yield of 75+76 and based on the 75:76 molar ratio as determined by 1H-NMR; c: The reaction was carried out under argon atmosphere.
Scheme 26. Proposed mechanistic pathway for the formation of 1,3-dihydrothieno[3,4-c]-thiophenes 75 and thienyl disulfides 76, by tandem thermal rearrangement/carbocyclization of dipropargylic disulfides 74 [103].
Scheme 26. Proposed mechanistic pathway for the formation of 1,3-dihydrothieno[3,4-c]-thiophenes 75 and thienyl disulfides 76, by tandem thermal rearrangement/carbocyclization of dipropargylic disulfides 74 [103].
Molecules 19 15687 g026
Table 8. Multicomponent synthesis of ethyl 2-(2-(dimethylamino)thiophen-3-yl)-2-oxoacetate derivatives 84 starting from acetylenic esters 81, tetramethylthiourea 82, and ethyl bromopyruvate 83 a [104]. Molecules 19 15687 i102
Table 8. Multicomponent synthesis of ethyl 2-(2-(dimethylamino)thiophen-3-yl)-2-oxoacetate derivatives 84 starting from acetylenic esters 81, tetramethylthiourea 82, and ethyl bromopyruvate 83 a [104]. Molecules 19 15687 i102
Entry8184Yield of 84 b (%)
1 Molecules 19 15687 i103 Molecules 19 15687 i10490
2 Molecules 19 15687 i105 Molecules 19 15687 i10685
3 Molecules 19 15687 i107 Molecules 19 15687 i10874
4 Molecules 19 15687 i109 Molecules 19 15687 i11073
5 Molecules 19 15687 i111 Molecules 19 15687 i11275
a: All reactions were carried out with an equimolar amount of 81, 82, and 83 (2 mmol per 15 mL of CH2Cl2); b: Isolated yield.

5. Synthesis of Thiophene Derivatives by Miscellaneous Methods Starting from Functionalized Alkyne Substrates

Miscellaneous methods that cannot be classified into the previous categories are reviewed here. Acetylenic esters can be useful precursors for the construction of the thiophene ring. Thus, ethyl 2-(2-(dimethylamino)thiophen-3-yl)-2-oxoacetate derivatives 84 have been conveniently synthesized through a multicomponent approach, employing acetylenic esters 81, tetramethylthiourea 82, and ethyl bromopyruvate 83 as starting materials [104]. Reactions were carried out in CH2Cl2 at rt using equimolar amounts of 81, 82, and 83, to afford the corresponding thiophenes 84 in good to high yields (Table 8) [104].
The proposed reaction mechanism involves the formation of a 1,5-dipolar intermediate 85 from the reaction between 81 and 82, followed by nucleophilic attack by the carbanion to 83 to give the organic salt 86. The final thiophene derivative 84 is then formed from 86 by elimination of HBr to give the dipolar intermediate 87, followed by intramolecular nucleophilic attack, affording dihydrothiophene 88, and elimination of dimethylamine (Scheme 27) [104].
Scheme 27. Proposed mechanism for the formation of ethyl 2-(2-(dimethylamino)thiophen-3-yl)-2-oxoacetate derivatives 84 starting from acetylenic esters 81, tetramethylthiourea 82, and ethyl bromopyruvate 83 [104].
Scheme 27. Proposed mechanism for the formation of ethyl 2-(2-(dimethylamino)thiophen-3-yl)-2-oxoacetate derivatives 84 starting from acetylenic esters 81, tetramethylthiourea 82, and ethyl bromopyruvate 83 [104].
Molecules 19 15687 g027
In a similar way, trialkyl 4-arylthiophene-2,3,5-tricarboxylates 93 were obtained in moderate yields (30%–50%) from the reaction between dialkyl acetylenedicarboxylates 89, KSCN, and 3-aryl-2-cyanoacrylates 90, carried out in MeCN at rt for 6 h, through the intermediate formation of the organic salt 91, which undergoes cyclization with loss of KCN (to give dihydrothiophene derivative 92) followed by elimination of HCN (Scheme 28) [105].
Another useful utilization of acetylenic diesters for the thiophene synthesis has been reported recently. It involves the reaction between β-oxodithioesters 94 and dialkyl acetylenedicarboxylates 89 (1:1 molar ratio) carried out in the presence of an equimolar amount of dimethylaminopyridine (DMAP) in CH2Cl2 at rt for 3–5 min (Scheme 29) [106]. The process takes place through α-deprotonation of 94 by DMAP and intermolecular conjugate addition (from nucleophilic attack by the sulfur atom to the triple bond of 89, to give anionic intermediate 95), followed by intramolecular conjugate addition to give dihydrothiophene 96, and elimination of Me2S, eventually leading to dialkyl thiophene-2,3-dicarboxylate derivatives 97 (Scheme 29) [106].
Scheme 28. Synthesis of trialkyl 4-arylthiophene-2,3,5-tricarboxylates 93 starting from dialkyl acetylenedicarboxylates 89, KSCN, and 3-aryl-2-cyanoacrylates 90 [105].
Scheme 28. Synthesis of trialkyl 4-arylthiophene-2,3,5-tricarboxylates 93 starting from dialkyl acetylenedicarboxylates 89, KSCN, and 3-aryl-2-cyanoacrylates 90 [105].
Molecules 19 15687 g028
Scheme 29. Synthesis of dialkyl thiophene-2,3-dicarboxylate derivatives 97 starting from β-oxodithioesters 94 and dialkyl acetylenedicarboxylates 89 in the presence of DMAP [106].
Scheme 29. Synthesis of dialkyl thiophene-2,3-dicarboxylate derivatives 97 starting from β-oxodithioesters 94 and dialkyl acetylenedicarboxylates 89 in the presence of DMAP [106].
Molecules 19 15687 g029
A mechanism involving a conjugate addition by a thiolate anion to an activate triple bond was also at work in a modification of the classical Fiesselmann thiophene synthesis [107], involving the reaction between acetylenic ketones 98 and methyl thioglycolate 99 to give methyl thiophene-2-carboxylates 100 (Scheme 30) [108]. Reactions were carried out by dissolving an equimolar amount of 98 and 99 in THF at 0 °C followed, after 2 h, by the addition of a 1:2 mixture of CsCO3/MgSO4 in MeOH and stirring at rt for 2 h [108].
Scheme 30. Synthesis of methyl thiophene-2-carboxylates 100 from acetylenic ketones 98 and methyl thioglycolate (99) in the presence of CsCO3, MgSO4, and MeOH [108].
Scheme 30. Synthesis of methyl thiophene-2-carboxylates 100 from acetylenic ketones 98 and methyl thioglycolate (99) in the presence of CsCO3, MgSO4, and MeOH [108].
Molecules 19 15687 g030
A particularly convenient approach to 2,4-disubstituted thiophenes 104, based on a sequential three-component Sonogashira coupling/Fiesselmann-type cyclocondensation, has been reported recently [109]. Thus, the reaction between (hetero)aroyl chlorides 101 and terminal alkynes 102 (1.1 equiv) (carried out at rt in THF for 2 h, in the presence of 2 mol % of PdCl2(PPh3)2, 4 mol % of CuI, and 1.05 equiv of Et3N) was followed by the addition of EtOH, ethyl thioglycolate 103 (1.2 equiv) and DBU (1.5 equiv), to give, after stirring for 12–24 h at rt, thiophene derivatives 104 in moderate to excellent yields (32%–97%, Table 9). The method has also been successfully applied to the synthesis of luminescent terthiophenes and pentathiophenes [109].
Table 9. Synthesis of ethyl thiophene-2-carboxylates 104 starting from sequential Sonogashira coupling between (hetero)aroyl chlorides 101 and terminal alkynes 102/Fiesselmann-type cyclocondensation a [109]. Molecules 19 15687 i113
Table 9. Synthesis of ethyl thiophene-2-carboxylates 104 starting from sequential Sonogashira coupling between (hetero)aroyl chlorides 101 and terminal alkynes 102/Fiesselmann-type cyclocondensation a [109]. Molecules 19 15687 i113
Entry101102104Yield of 104 b (%)
1 Molecules 19 15687 i114 Molecules 19 15687 i115 Molecules 19 15687 i11697
2 Molecules 19 15687 i117 Molecules 19 15687 i118 Molecules 19 15687 i11988
3 Molecules 19 15687 i120 Molecules 19 15687 i121 Molecules 19 15687 i12268
4 Molecules 19 15687 i120 Molecules 19 15687 i123 Molecules 19 15687 i12483
5 Molecules 19 15687 i120 Molecules 19 15687 i125 Molecules 19 15687 i12632
6 Molecules 19 15687 i120 Molecules 19 15687 i127 Molecules 19 15687 i12850
7 Molecules 19 15687 i120 Molecules 19 15687 i129 Molecules 19 15687 i13080
8 Molecules 19 15687 i131 Molecules 19 15687 i115 Molecules 19 15687 i13290
a: The Sonogashira coupling was carried out in THF at rt for 2 h, employing 1 equiv of 101 (0.1 M), 1.1 equiv of 102, 0.02 equiv of PdCl2(PPh3)2, 0.04 equiv of CuI, and 1.05 equiv of Et3N. After stirring at rt for 2 h, EtOH (1 mL) was added, together with 1.2 equiv of 103 and 1.5 equiv of DBU; the resulting mixture was then allowed to stir for 12–24 h; b: Isolated yield based on starting 101.
An interesting approach to regioisomeric 2,3,5-triaryl-4-trifluoromethylthiphenes 107 and 108, based on 1,3-dipolar cycloaddition between 1-aryl-3,3,3-trifluoro-1-propynes 105 and 1,3-dithiolium-4-olates 106 (1:1 molar ratio), was developed some years ago (Scheme 31) [109]. Reactions were carried out in xylenes at 120 °C for 20–32 h [110].
Scheme 31. Synthesis of 2,3,5-triaryl-4-trifluoromethylthiophenes 107 and 108 from 1-aryl-3,3,3-trifluoro-1-propynes 105 and 1,3-dithiolium-4-olates 106 [110].
Scheme 31. Synthesis of 2,3,5-triaryl-4-trifluoromethylthiophenes 107 and 108 from 1-aryl-3,3,3-trifluoro-1-propynes 105 and 1,3-dithiolium-4-olates 106 [110].
Molecules 19 15687 g031

6. Conclusions

The development of novel, efficient and selective methods for the construction of the thiophene ring starting from acyclic precursors is a very important target in current organic synthesis, in view of the high significance of the products obtained and of the more and more stringent requirements in the direction of a sustainable chemistry. In this regard, the synthesis of thiophene derivatives by heterocyclization of readily available S-containing alkyne substrates has proved to be a valuable and reliable approach, and it is destined to assume a central role in the next future for the one-step production of this particularly important class of heterocyclic derivatives. Recent progress in organometallic catalysis has also recently opened the way to the use of metal catalysis for promoting S-heterocyclization reactions leading to thiophenes under particularly mild and efficient reaction conditions. Further progress will allow developing other novel synthetic routes characterized by even more efficiency and selectivity under environmentally friendly conditions.

Acknowledgments

Thanks are due to the European Commission, FSE (Fondo Sociale Europeo) and Calabria Region for a fellowship grant to Raffaella Mancuso.

Conflicts of Interest

The authors declare no conflict of interest.

References

  1. Mohareb, R.M.; Abdallah, A.E.M.; Abdelaziz, M.A. New approaches for the synthesis of pyrazole, thiophene, thieno[2,3-b]pyridine, and thiazole derivatives together with their anti-tumor evaluations. Med. Chem. Res. 2014, 23, 564–579. [Google Scholar] [CrossRef]
  2. Sperry, J.B.; Wright, D.L. Furans, thiophenes and the related heterocycles in drug discovery. Curr. Opin. Drug Discov. Dev. 2005, 8, 723–740. [Google Scholar]
  3. Gronowitz, S.; Hornfeldt, A.B. Thiophenes; Elsevier: Oxford, UK, 2004. [Google Scholar]
  4. Mishra, R.; Jha, K.K.; Kumar, S.; Tomer, I. Synthesis, properties and biological activity of thiophene: A review. Der Pharma Chemica 2001, 3, 38–54. [Google Scholar]
  5. Abdou, M.M. Thiophene-based azo dyes and their applications in dyes chemistry. Am. J. Chem. 2013, 3, 126–135. [Google Scholar]
  6. Handbook of Thiophene-Based Materials: Applications in Organic Electronics and Photonics; Peperichka, I.F.; Peperichka, D.F. (Eds.) John Wiley & Sons: West Sussex, UK, 2009.
  7. Mishra, A.; Ma, C.-Q.; Bäuerle, P. Functional oligothiophenes: Molecular design for multidimensional nanoarchitectures and their applications. Chem. Rev. 2009, 109, 1141–1276. [Google Scholar] [CrossRef]
  8. Ong, B.S.; Wu, Y.; Li, Y.; Liu, P.; Pan, H. Thiophene polymer semiconductors for organic thin-film transistors. Chemistry 2008, 14, 4766–4778. [Google Scholar] [CrossRef] [PubMed]
  9. Osaka, I.; McCullough, R.D. Advances in molecular design and synthesis of regioregular polythiophenes. Acc. Chem. Res. 2008, 41, 1202–1214. [Google Scholar] [CrossRef] [PubMed]
  10. Barbarella, G.; Melucci, M.; Sotgiu, G. The versatile thiophene: An overview of recent research on thiophene-based materials. Adv. Mater. 2005, 17, 1581–1593. [Google Scholar] [CrossRef]
  11. Guernion, N.J.L.; Hayes, W. 3- and 3,4-substituted pyrroles and thiophenes and their corresponding polymers—A review. Curr. Org. Chem. 2004, 8, 637–651. [Google Scholar] [CrossRef]
  12. McCullough, R.D.; Hotta, S.; Ito, K.; Bäuerle, P.; Fichou, D.; Ziegler, C.; Horowitz, G.; Delannoy, P.; Cornil, J.; Beljonne, D.; et al. Handbook of Oligo- and Polythiophenes; Fichou, D., Ed.; Wiley-VCH: Weinheim, Germany, 1999. [Google Scholar]
  13. Chan, H.S.O.; Ng, S.C. Synthesis, characterization and applications of thiophene-based functional polymers. Prog. Polym. Sci. 1998, 23, 1167–1231. [Google Scholar] [CrossRef]
  14. Schopf, G.; Komehl, G. Advances in Polymer Sciences: Polythiophenes-Electrically Conductive Polymers; Abel, A., Ed.; Springer-Verlag: Berlin, Germany, 1997. [Google Scholar]
  15. Roncali, J. Conjugated poly(thiophenes)—Synthesis, functionalization, and applications. Chem. Rev. 1992, 92, 711–738. [Google Scholar] [CrossRef]
  16. Angelici, R.J. Thiophenes in organotransition metal chemistry: Patterns of reactivity. Organometallics 2001, 20, 1259–1275. [Google Scholar] [CrossRef]
  17. Rauchfuss, T.B. The coordination chemistry of thiophenes. Prog. Inorg. Chem. 1991, 39, 259–329. [Google Scholar]
  18. Roman, G. Advances in the chemistry of Mannich bases of thiophenes and furans. Mini-Rev. Org. Chem. 2013, 10, 27–39. [Google Scholar] [CrossRef]
  19. Rassu, G.; Zanardi, F.; Battistini, L.; Casiraghi, G. The synthetic utility of furan-, pyrrole- and thiophene-based 2-silyloxy dienes. Chem. Soc. Rev. 2000, 29, 109–118. [Google Scholar] [CrossRef]
  20. El-Sayed, A.; Allah, O.A.A.; El-Saghier, A.M.M.; Mohamed, S.K. Synthesis and reactions of five-membered heterocycles using phase transfer catalyst (PCT) techniques. J. Chem. 2014. [Google Scholar] [CrossRef]
  21. Khidre, R.E.; Abdelwahab, B.F. Synthesis of 5-membered heterocycles using benzoylacetonitriles as synthon. Turk. J. Chem. 2013, 37, 685–711. [Google Scholar] [CrossRef]
  22. Joule, J.A. Thiophenes from Viktor Meyer to poly(thiophene) some reactions and synthesis. Phosphorus Sulfur Silicon Relat. Elem. 2013, 188, 287–316. [Google Scholar] [CrossRef]
  23. Serdyuk, O.V.; Abaev, V.T.; Butin, A.V. Nenajdenko, V.G. Synthesis of fluorinated thiophenes and their analogues. Synthesis 2011, 2505–2529. [Google Scholar]
  24. Hameed, S.; Akhtar, T. Recent advances in the synthesis of five-membered heterocycles. Curr. Org. Chem. 2011, 15, 694–711. [Google Scholar] [CrossRef]
  25. Nenajdenko, V.G.; Balenkova, E.S. Preparation of α,β-unsaturated trifluoromethylketones and their application in the synthesis of heterocycles. Arkivoc 2011, 1, 246–328. [Google Scholar] [CrossRef]
  26. Katritzky, A.R.; Rachwal, S. Synthesis of heterocycles mediated by benzotriazole. 1. Monocyclic systems. Chem. Rev. 2010, 110, 1564–1610. [Google Scholar] [CrossRef] [PubMed]
  27. Shestopalov, A.M.; Shestopalov, A.A.; Rodinovskaya, L.A. Multicomponent reactions of carbonyl compounds and derivatives of cyanoacetic acid: Synthesis of carbo- and heterocycles. Synthesis 2008, 2008, 1–25. [Google Scholar] [CrossRef]
  28. Erian, A.W.; Sherif, S.M.; Gaber, H.M. The chemistry of α-haloketones and their utility in heterocyclic synthesis. Molecules 2003, 8, 793–865. [Google Scholar] [CrossRef]
  29. Deryagina, E.N.; Voronkov, M.G. Thermal methods for the synthesis of thiophene, selenophene, and their derivatives. (Review). Chem. Heterocycl. Compd. 2000, 36, 1–14. [Google Scholar] [CrossRef]
  30. Gronowitz, S. The Chemistry of Heterocyclic Compounds: Thiophene and Its Derivatives; Gronowitz, S., Ed.; Wiley & Sons: New York, NY, USA, 1991; Volume 44, Chapter 2, Part 3. [Google Scholar]
  31. Godoi, B.; Schumacher, R.F.; Zeni, G. Synthesis of heterocycles via electrophilic cyclization of alkynes containing heteroatom. Chem. Rev. 2011, 111, 2937–2980. [Google Scholar] [CrossRef] [PubMed]
  32. Chinchilla, R.; Nájera, C. Chemicals from alkynes with palladium catalysis. Chem. Rev. 2014, 114, 1783–826. [Google Scholar] [CrossRef] [PubMed]
  33. Alcaide, B.; Almendros, P. Gold-catalyzed cyclization reactions of allenol and alkynol derivatives. Acc. Chem. Res. 2014, 47, 929–952. [Google Scholar] [CrossRef]
  34. Hashmi, A.S.K. Dual gold catalysis. Acc. Chem. Res. 2014, 47, 864–876. [Google Scholar] [CrossRef] [PubMed]
  35. Zeng, X. Recent advances in catalytic sequential reactions involving hydroelement addition to carbon-carbon multiple bonds. Chem. Rev. 2013, 113, 6864–6900. [Google Scholar] [CrossRef] [PubMed]
  36. Gulevich, A.V.; Dudnik, A.S.; Chernyak, N.; Gevorgyan, V. Transition metal-mediated synthesis of monocyclic aromatic heterocycles. Chem. Rev. 2013, 113, 3084–3213. [Google Scholar] [CrossRef] [PubMed]
  37. Nakamura, I. Development of π-acidic metal catalyzed reactions toward construction of multi-substituted heterocycles. J. Synth. Org. Chem. Jpn. 2012, 70, 581–592. [Google Scholar] [CrossRef]
  38. Muller, T.J.J. Synthesis of carbo- and heterocycles via coupling-isomerization reactions. Synthesis 2012, 44, 159–174. [Google Scholar] [CrossRef]
  39. Platon, M.; Amardeil, R.; Djakovitch, L.; Hierso, J.-C. Progress in palladium-based catalytic systems for the sustainable synthesis of annulated heterocycles: A focus on indole backbones. Chem. Soc. Rev. 2012, 41, 3929–3968. [Google Scholar] [CrossRef] [PubMed]
  40. Adcock, H.V.; Davies, P.W. π-Acid mediated insertion of alkynes into carbon-heteroatom σ-bonds. Synthesis 2012, 44, 3401–3420. [Google Scholar] [CrossRef]
  41. Wen, J.-J.; Zhu, Y.; Zhan, Z.-P. The synthesis of aromatic heterocycles from propargylic compounds. Asian J. Org. Chem. 2012, 1, 108–129. [Google Scholar] [CrossRef]
  42. Herndon, J.W. The Chemistry of the carbon–transition metal double and triple bond: Annual survey covering the year 2009. Coord. Chem. Rev. 2011, 255, 3–100. [Google Scholar] [CrossRef]
  43. Soriano, E.; Marco-Contelles, J. Mechanistic insights on the cycloisomerization of polyunsaturated precursors catalyzed by platinum and gold complexes. Acc. Chem. Res. 2009, 42, 1026–1036. [Google Scholar] [CrossRef] [PubMed]
  44. Majumdar, K.C.; Debnath, P.; Roy, B. Metal-catalyzed heterocyclization: Formation of five- and six-membered oxygen heterocycles through carbon-oxygen bond forming reactions. Heterocycles 2009, 78, 2661–2728. [Google Scholar] [CrossRef]
  45. Kirsch, S.F. Construction of heterocycles by the strategic use of alkyne π-activation in catalyzed cascade reactions. Synthesis 2008, 3183–3204. [Google Scholar]
  46. Weibel, J.-M.; Blanc, A.; Pale, P. Ag-mediated reactions: Coupling and heterocyclization reactions. Chem. Rev. 2008, 108, 3149–3173. [Google Scholar] [CrossRef] [PubMed]
  47. Wolfe, J.P.; Thomas, J.S. Recent developments in palladium-catalyzed heterocycle synthesis and functionalization. Curr. Org. Chem. 2005, 9, 625–655. [Google Scholar] [CrossRef]
  48. Zeni, G.; Larock, R.C. Synthesis of heterocycles via palladium π-olefin and π-alkyne chemistry. Chem. Rev. 2004, 104, 2285–2309. [Google Scholar] [CrossRef] [PubMed]
  49. Gabriele, B.; Salerno, G.; Costa, M. PdI2-catalyzed synthesis of heterocycles. Synlett 2004, 2468–2483. [Google Scholar]
  50. Smith, G.V.; Notheisz, F.; Zsigmond, Á.G.; Bartók, M. Modification of Pd and Pt by thiophene and carbon tetrachloride during hydrogenation and isomerization of (+)-Apopinene. Stud. Surf. Sci. Catal. 1993, 75, 2463–2466. [Google Scholar]
  51. Hegedus, L.L.; McCabe, R.W. Catalyst Poisoning; Marcel Dekker: New York, NY, USA, 1984. [Google Scholar]
  52. Castarlenas, R.; di Giuseppe, A.; Pérez-Torrente, J.J.P.; Oro, L.A. The emergence of transition-metal-mediated hydrothiolation of unsaturated carbon-carbon bonds: A mechanistic outlook. Angew. Chem. Int. Ed. 2013, 52, 211–222. [Google Scholar] [CrossRef]
  53. Beletskaya, I.P.; Ananikov, V.P. Transition-metal-catalyzed C-S, C-Se, and C-Te bond formation via cross-coupling and atom-economic addition reactions. Chem. Rev. 2011, 111, 1596–1636. [Google Scholar] [CrossRef] [PubMed]
  54. Bichler, P.; Love, J. Organometallic approaches to carbon-sulfur bond formation. Top. Organomet. Chem. 2010, 31, 39–64. [Google Scholar]
  55. Kondo, T.; Mitsudo, T. Metal-catalyzed carbon-sulfur bond formation. Chem. Rev. 2000, 100, 3205–3220. [Google Scholar] [CrossRef] [PubMed]
  56. Gabriele, B.; Salerno, G.; Fazio, A. Novel synthesis of substituted thiophenes by palladium-catalyzed cycloisomerization of (Z)-2-en-4-yne-1-thiols. Org. Lett. 2000, 2, 351–352. [Google Scholar] [CrossRef] [PubMed]
  57. Gabriele, B.; Salerno, G.; Lauria, E. A general and facile synthesis of substituted furans by palladium-catalyzed cycloisomerization of (Z)-2-en-4-yn-1-ols. J. Org. Chem. 1999, 64, 7687–7692. [Google Scholar] [CrossRef]
  58. Marshall, J.A.; DuBay, W.J. A new synthesis of thiophenes through base-promoted cyclization of β- and γ-alkynyl thiols. Synlett 1993, 1993, 209–210. [Google Scholar] [CrossRef]
  59. Reddy, C.R.; Valleti, R.R.; Reddy, M.D. A thioannulation approach to substitued thiophenes from Morita-Baylis-Hillman Acetates of Acetylenic Aldehydes. J. Org. Chem. 2013, 78, 6495–6502. [Google Scholar] [CrossRef] [PubMed]
  60. Fang, Z.; Liao, P.; Yang, Z.; Wang, Y.; Zhou, B.; Yang, Y.; Bi, X. Synthesis of dihydrothiophenes and thiophenes by the strategic use of 2-vinylidene-1,3-dithiolane as masked thiolate anion. Eur. J. Org. Chem. 2014, 924–927. [Google Scholar]
  61. Fang, Z.; Yuan, H.; Liu, Y.; Tong, Z.; Li, H.; Yang, J.; Barry, B.-D.; Liu, J.; Liao, P.; Zhang, J.; et al. gem-Dialkylthio vinylallenes: Alkylthio-regulated reactivity and application in the divergent synthesis of pyrroles and thiophenes. Chem. Commun. 2012, 48, 8802–8804. [Google Scholar] [CrossRef]
  62. Nocentini, T.; Brulé, C.; Bouillon, J.-P.; Gouault-Bironneau, S.; Portella, C. Fluoride-induced coupling of perfluoroketene dithioacetals with silyl alkynes: A way towards new polyfunctionalized trifluoromethyl building blocks. J. Fluor. Chem. 2007, 128, 1300–1305. [Google Scholar] [CrossRef]
  63. Guilarte, V.; Fernández-Rodríguez, M.A.; García-García, P.; Hernando, E.; Sanz, R. A practical, one-pot synthesis of highly substituted thiophenes and benzo[b]thiophenes from bromoenynes and o-alkynylbromobenzenes. Org. Lett. 2011, 13, 5100–5103. [Google Scholar] [CrossRef] [PubMed]
  64. Gabriele, B.; Mancuso, R.; Veltri, L.; Maltese, V.; Salerno, G. Synthesis of substituted thiophenes by palladium-catalyzed heterocyclodehydration of 1-mercapto-3-yn-2-ols in conventional and nonconventional solvents. J. Org. Chem. 2012, 77, 9905–9909. [Google Scholar] [CrossRef] [PubMed]
  65. Aponick, A.; Li, C.-Y.; Malinge, J.; Marques, E.F. An extremely facile synthesis of furans, pyrroles, and thiophenes by the dehydrative cyclization of propargyl alcohols. Org. Lett. 2009, 11, 4624–4627. [Google Scholar] [CrossRef] [PubMed]
  66. Barancelli, D.A.; Schumacher, R.F.; Leite, M.R.; Zeni, G. Copper(II)-mediated intramolecular cyclization of (Z)-chalcogenoenynes: Synthesis of 3-halochalcogenophene derivatives. Eur. J. Org. Chem. 2011, 6713–6718. [Google Scholar]
  67. Schumacher, R.F.; Rosário, A.R.; Leite, M.R.; Zeni, G. Cyclization of homopropargyl chalcogenides by copper(II) salts: Selective synthesis of 2,3-dihydroselenophenes, 3-arylselenophenes, and 3-haloselenophenes/thiophenes. Chem. Eur. J. 2013, 19, 13059–13064. [Google Scholar] [CrossRef] [PubMed]
  68. Zhang, Y.; Bian, M.; Yao, W.; Gu, J.; Ma, C. Direct synthesis of highly substituted thiophenes through copper(I)-catalyzed tandem reactions of alkylidenethiiranes with terminal alkynes. Chem. Commun. 2009, 4729–4731. [Google Scholar]
  69. Jiang, H.; Zeng, W.; Li, Y.; Wu, W.; Huang, L.; Fu, W. Copper(I)-catalyzed synthesis of 2,5-substituted furans and thiophenes from haloalkynes or 1,3-diynes. J. Org. Chem. 2012, 77, 5179–5183. [Google Scholar] [CrossRef] [PubMed]
  70. Tang, J.; Zhao, X. Synthesis of 2,5-disubstituted thiophenes via metal-free sulfur heterocyclization of 1,3-diynes with sodium hydrosulfide. RSC Adv. 2012, 2, 5488–5490. [Google Scholar] [CrossRef]
  71. Gabriele, B.; Mancuso, R.; Larock, R.C. Recent advances in the synthesis of iodoheterocycles via iodocyclization of functionalized alkynes. Curr. Org. Chem. 2014, 18, 341–358. [Google Scholar] [CrossRef]
  72. Banerjee, A.K.; Laya, M.S.; Cabrera, E.V. Iodocyclization: Past and present examples. Curr. Org. Chem. 2011, 15, 1058–1080. [Google Scholar] [CrossRef]
  73. Parvatkar, P.T.; Parameswaran, P.S. Recent developments in the synthesis of five- and six-membered heterocycles using molecular iodine. Chem. Eur. J. 2012, 18, 5460–5489. [Google Scholar] [CrossRef] [PubMed]
  74. Palisse, A.; Kirsch, S.F. Metal-free reactions of alkynes via electrophilic iodocarbocyclizations. Org. Biomol. Chem. 2012, 10, 8041–8047. [Google Scholar] [CrossRef] [PubMed]
  75. Dubrovskiy, A.V.; Markina, N.A.; Larock, R.C. Iodocyclization, followed by palladium-catalyzed coupling: A versatile strategy for heterocyclic library construction. Comb. Chem. High Throughput Screen. 2012, 15, 451–472. [Google Scholar] [CrossRef] [PubMed]
  76. Mphahele, M.J. Molecular iodine-mediated cyclization of tethered heteroatom-containing alkenyl or alkynyl systems. Molecules 2009, 14, 4814–4837. [Google Scholar] [CrossRef] [PubMed]
  77. Togo, H.J. Synthetic use of molecular iodine. Synth. Org. Chem. Jpn. 2008, 66, 652–663. [Google Scholar] [CrossRef]
  78. Togo, H.; Iida, S. Synthetic use of molecular iodine for organic synthesis. Synlett 2006, 2006, 2159–2175. [Google Scholar] [CrossRef]
  79. French, A.N.; Bissmire, S.; Wirth, T. Iodine electrophiles in stereoselective reactions: Recent developments and synthetic applications. Chem. Soc. Rev. 2004, 33, 354–362. [Google Scholar] [CrossRef] [PubMed]
  80. Spina, R.; Colacino, E.; Gabriele, B.; Salerno, G.; Martinez, J.; Lamaty, F. Electrophilic iodo-mediated cyclization in PEG under microwave irradiation: Easy access to highly functionalized furans and pyrroles. Synlett 2012, 2012, 1481–1484. [Google Scholar]
  81. Bew, S.P.; El-Taeb, G.M.M.; Jones, S.; Knight, D.W.; Tan, W.-F. Expedient syntheses of β-iodofurans by 5-endo-dig cyclisations. Eur. J. Org. Chem. 2007, 34, 5759–5770. [Google Scholar] [CrossRef]
  82. Wen, S.-G.; Liu, W.-M.; Liang, Y.-M. Convenient synthesis of polysubstituted 3-iodofurans through the tandem ring-opening/cyclization reaction of 1-alkynyl-2,3-epoxy alcohols. Synthesis 2007, 3295–3300. [Google Scholar]
  83. El-Taeb, G.M.M.; Evans, A.B.; Jones, S.; Knight, D.W. Practical alternatives for the synthesis of β-iodofurans by 5-endo-dig cyclisations of 3-alkyne-1,2-diols. Tetrahedron Lett. 2001, 42, 5945–5948. [Google Scholar] [CrossRef]
  84. Bew, S.P.; Knight, D.W. A brief synthesis of β-iodofurans. Chem. Commun. 1996, 1007–1008. [Google Scholar]
  85. Knight, D.W.; Rost, H.C.; Sharland, C.M.; Singkhonrat, J. A general approach to polysubstituted pyrroles. Tetrahedron Lett. 2007, 48, 7906–7910. [Google Scholar] [CrossRef]
  86. Gabriele, B.; Mancuso, R.; Salerno, G.; Larock, R.C. An iodocyclization approach to substituted 3-iodothiophenes. J. Org. Chem. 2012, 77, 7640–7645. [Google Scholar] [CrossRef] [PubMed]
  87. Mancuso, R.; Pomelli, C.S.; Chiappe, C.; Larock, R.C.; Gabriele, B. Org. Biomol. Chem. 2014, 12, 651–659. [CrossRef]
  88. Flynn, B.L.; Flynn, G.P.; Hamel, E.; Jung, M.K. The synthesis and tubulin binding activity of thiophene-based analogues of combretastatin A-4. Bioorg. Med. Chem. Lett. 2001, 11, 2341–2343. [Google Scholar] [CrossRef] [PubMed]
  89. Santana, S.S.; Carvalho, D.B.; Casemiro, N.S.; Hurtado, G.R.; Viana, L.H.; Kassab, N.M.; Barbosa, S.L.; Marques, F.A.; Guerrero, P.G., Jr.; Baroni, A.C.M. Improvement in the synthesis of (Z)-organylthioenynes via hydrothiolation of buta-1,3-diynes: A comparative study using NaOH or TBAOH as base. Tetrahedron Lett. 2012, 53, 5733–5738. [Google Scholar] [CrossRef]
  90. Santana, S.S.; Carvalho, D.B.; Cassemiro, N.S.; Viana, L.H.; Hurtado, G.R.; Amaral, M.S.; Kassab, N.M.; Guerrero, P.G., Jr.; Barbosa, S.L.; Dabdoub, M.J.; et al. Synthesis of 3-iodothiophenes via iodocyclization of (Z)-thiobutenynes. Tetrahedron Lett. 2014, 55, 52–55. [Google Scholar] [CrossRef]
  91. Yang, F.; Jin, T.; Bao, M.; Yamamoto, Y. Facile synthesis of 3,4-diiododihydrothiophenes via electrophilic iodocyclization. Tetrahedron Lett. 2011, 52, 936–938. [Google Scholar] [CrossRef]
  92. Yang, F.; Jin, T.; Bao, M.; Yamamoto, Y. Facile synthesis of dihaloheterocycles via electrophilic iodocyclization. Tetrahedron 2011, 67, 10147–10155. [Google Scholar] [CrossRef]
  93. Fazio, A.; Gabriele, B.; Salerno, G.; Destri, S. Synthesis of 3,4-bis[(methoxycarbonyl)methyl]thiophene and bis-, ter- and pentathiophenes with alternating 3,4-bis[(methoxycarbonylmethyl)-substituted rings. Tetrahedron 1999, 55, 485–502. [Google Scholar] [CrossRef]
  94. Gabriele, B.; Mancuso, R.; Salerno, G. Oxidative carbonylation as a powerful tool for the direct synthesis of carbonylated heterocycles. Eur. J. Org. Chem. 2012, 6825–6839. [Google Scholar]
  95. Gabriele, B.; Salerno, G.; Costa, M. Oxidative Carbonylations. Top. Organomet. Chem. 2006, 18, 239–272. [Google Scholar]
  96. Gabriele, B.; Salerno, G. Palladium(II) Iodide. In Electronic Encyclopedia of Reagents for Organic Synthesis (E-EROS); Crich, D., Ed.; Wiley-Interscience: New York, NY, USA, 2006. [Google Scholar]
  97. Gabriele, B.; Salerno, G.; Costa, M.; Chiusoli, G.P. Recent advances in the synthesis of carbonyl compounds by palladium-catalyzed oxidative carbonylation reactions of unsaturated substrates. Curr. Org. Chem. 2004, 8, 919–946. [Google Scholar] [CrossRef]
  98. Gabriele, B.; Salerno, G.; Costa, M.; Chiusoli, G.P. Recent developments in the synthesis of heterocyclic derivatives by PdI2-catalyzed oxidative carbonylation reactions. J. Organomet. Chem. 2003, 687, 219–228. [Google Scholar] [CrossRef]
  99. Gabriele, B.; Salerno, G. Cyclocarbonylation. In Handbook of Organometallic Chemistry for Organic Synthesis; Negishi, E., Ed.; Wiley-Interscience: New York, NY, USA, 2002; Volume II, pp. 2623–2641. [Google Scholar]
  100. Gabriele, B.; Costa, M.; Salerno, G.; Chiusoli, G.P. An efficient and selective palladium-catalysed oxidative dicarbonylation of alkynes to alkyl- or aryl-maleic esters. J. Chem. Soc. Perkin Trans. 1994, 1, 83–87. [Google Scholar] [CrossRef]
  101. Zafrani, Y.; Cherkinsky, M.; Gottlieb, H.E.; Braverman, S. A new approach to the synthesis of 2-vinylthiophenes and selenophenes; competition between free radical and anionic cycloaromatization of bridged di- and tetrapropargylic sulfides and selenides. Tetrahedron 2003, 59, 2641–2649. [Google Scholar] [CrossRef]
  102. Zhou, H.; Xie, Y.; Ren, L.; Su, R. Sulfur-assisted five-cascade sequential reactions for the convenient and efficient synthesis of allyl thiophen-2-yl acetates, propionates, and ketones. Org. Lett. 2010, 12, 356–359. [Google Scholar] [CrossRef] [PubMed]
  103. Braverman, S.; Cherkinsky, M.; Meridor, D.; Sprecher, M. Synthesis and reactivity of dipropargylic disulfides: Tandem rearrangements, cyclization, and oxidative dimerization. Tetrahedron 2010, 66, 1925–1930. [Google Scholar] [CrossRef]
  104. Yavari, I.; Hossaini, Z.; Seyfi, S.; Shirgahi-Talari, F. Efficient synthesis of highly substituted thiophenes from acetylenic esters, ethyl bromopyruvate, and tetranethylyhiourea. Monatsh. Chem. 2008, 139, 1257–1259. [Google Scholar] [CrossRef]
  105. Hassanabadi, A.; Hosseini-Tabatabaei, M.R. Synthesis of highly functionalized thiophenes by three-component and one-pot reaction. J. Sulfur Chem. 2012, 33, 273–277. [Google Scholar] [CrossRef]
  106. Nandi, G.C.; Samai, S.; Singh, M.S. One-pot two component [3+2] cycloaddition/annulation protocol for the synthesis of highly functionalized thiophene derivatives. J. Org. Chem. 2011, 76, 8009–8014. [Google Scholar] [CrossRef] [PubMed]
  107. Fiesselmann, H.; Schipprak, P. Über oxythiophencarbonsäureester, I. Mitteil.: Über die anlagerung von thioglykolsäureester an fumarsäure-, maleinsäure- und acetylendicarbonsäureester. Chem. Ber. 1954, 87, 835–841. (In German) [Google Scholar] [CrossRef]
  108. Obrecht, D.; Gerber, F.; Sprenger, D.; Masquelin, T. A novel approach towards 2,3,5-trisubstituted thiophenes via tandem Michael addition/intramolecular Knoevenagel condensation. Helv. Chim. Acta 1997, 80, 531–537. [Google Scholar] [CrossRef]
  109. Teiber, M.; Müller, T.J.J. Rapid consecutive three-component coupling-Fiesselmann synthesis of luminescent 2,4-disubstituted thiophenes and oligothiophenes. Chem. Commun. 2012, 48, 2080–2082. [Google Scholar] [CrossRef]
  110. Meazza, G.; Zanardi, G.; Guglielmetti, G.; Piccardi, P. Synthesis of 2,3,5-triaryl-4-trifluoromethyl thiophenes. J. Fluor. Chem. 1997, 82, 175–180. [Google Scholar] [CrossRef]

Share and Cite

MDPI and ACS Style

Mancuso, R.; Gabriele, B. Recent Advances in the Synthesis of Thiophene Derivatives by Cyclization of Functionalized Alkynes. Molecules 2014, 19, 15687-15719. https://doi.org/10.3390/molecules191015687

AMA Style

Mancuso R, Gabriele B. Recent Advances in the Synthesis of Thiophene Derivatives by Cyclization of Functionalized Alkynes. Molecules. 2014; 19(10):15687-15719. https://doi.org/10.3390/molecules191015687

Chicago/Turabian Style

Mancuso, Raffaella, and Bartolo Gabriele. 2014. "Recent Advances in the Synthesis of Thiophene Derivatives by Cyclization of Functionalized Alkynes" Molecules 19, no. 10: 15687-15719. https://doi.org/10.3390/molecules191015687

APA Style

Mancuso, R., & Gabriele, B. (2014). Recent Advances in the Synthesis of Thiophene Derivatives by Cyclization of Functionalized Alkynes. Molecules, 19(10), 15687-15719. https://doi.org/10.3390/molecules191015687

Article Metrics

Back to TopTop