Synthesis and Cytotoxicity Testing of New Amido-Substituted Triazolopyrrolo[2,1-c][1,4]benzodiazepine (PBDT) Derivatives
Abstract
1. Introduction
2. Results and Discussion
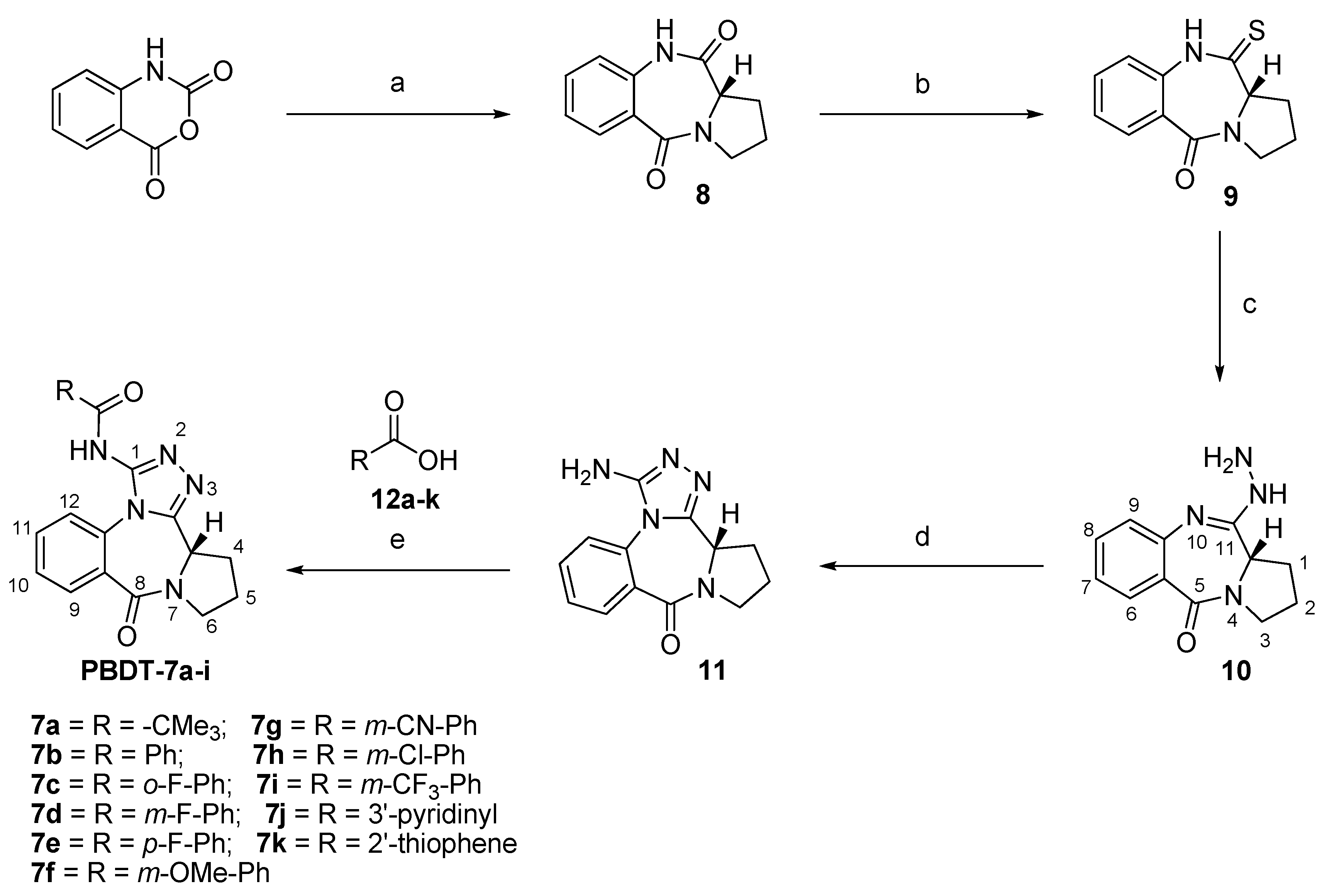
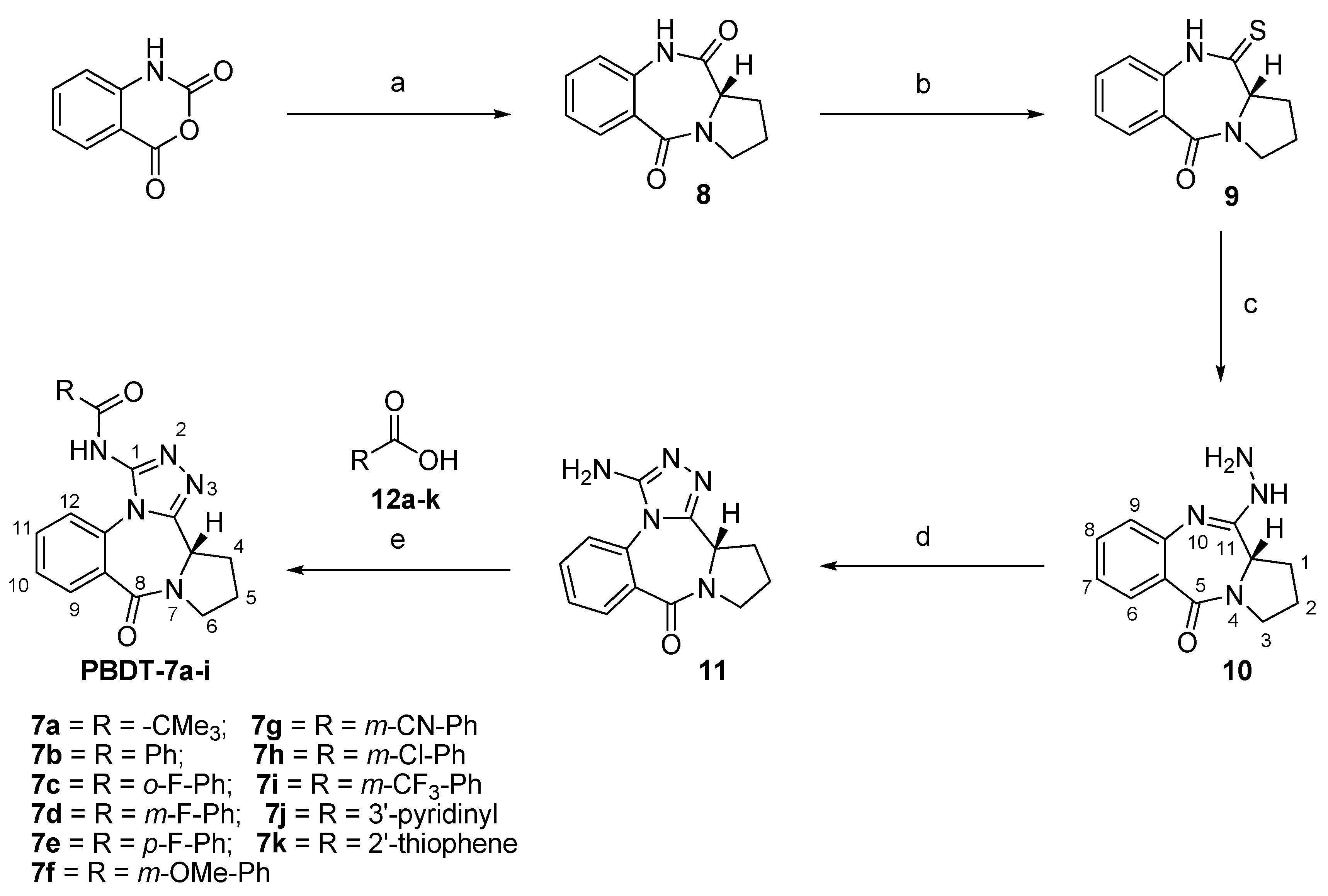
2.1. Synthesis
2.2. Cytotoxicity
3. Experimental
3.1. General
3.2. Synthesis
3.3. General Procedure for Amide Coupling: Preparation of 7b–k
3.4. Biological Activity Test Procedures
3.4.1. Cell Culture
3.4.2. CCK-8 for Cell Proliferation Assay
4. Conclusions
Acknowledgments
References
- McGlynn, K.A.; Tsao, L.; Hsing, A.W.; Devesa, S.S.; Fraumeni, J.F., Jr. International trends and patterns of primary liver cancer. Int. J. Cancer 2001, 94, 290–296. [Google Scholar] [CrossRef] [PubMed]
- Li, L.Y.; Dai, H.Y.; Yeh, F.L.; Kan, S.F.; Lang, J.; Hsu, J.L.; Jeng, L.B.; Chen, Y.H.; Sher, Y.P.; Lin, W.C.; Hung, M.C. Targeted hepatocellular carcinoma proapoptotic BikDD gene therapy. Oncogene 2011, 30, 1773–1783. [Google Scholar] [CrossRef] [PubMed]
- McCall, W.V. A psychiatric perspective on insomnia. J. Clin. Psychitr. 2001, 62, 27–32. [Google Scholar]
- Hsu, M.C.; Schutt, A.D.; Holly, M.; Slice, L.W.; Sherman, M.I.; Richman, D.D.; Potash, M.J.; Volsky, D.J. Inhibition of HIV replication in acute and chronic infections in vitro by a Tat antagonist. Science 1991, 254, 1799–1802. [Google Scholar] [CrossRef] [PubMed]
- Micale, N.; Vairagoundar, R.; Yakovlev, A.G.; Kozikowski, A.P. Design and synthesis of a potent and selective peptidomimetic inhibitor of caspase-3. J. Med. Chem. 2004, 47, 6455–6458. [Google Scholar] [CrossRef] [PubMed]
- De Corte, B.L. From 4,5,6,7-Tetrahydro-5-methylimidazo[4,5,1-jk](1,4) benzodiazepin -2(1H) -one (TIBO) to Etravirine (TMC125): Fifteen years of research on non-nucleoside inhibitors of HIV-1 reverse transcriptase. J. Med. Chem. 2005, 48, 1689–1696. [Google Scholar] [CrossRef] [PubMed]
- Hadac, E.M.; Dawson, E.S.; Darrow, J.W.; Sugg, E.E.; Lybrand, T.P.; Miller, L.J. Novel benzodiazepine photoaffinity probe stereoselectively labels a site deep within the membrane-spanning domain of the cholecystokinin receptor. J. Med. Chem. 2006, 49, 850–863. [Google Scholar] [CrossRef] [PubMed]
- Primofiore, G.; Da Settimo, F.; Taliani, S.; Salerno, S.; Novellino, E.; Greco, G.; Cosimelli, B.; Besnard, F.; Costa, B.; Montali, M.; Martini, C. High affinity central benzodiazepine receptor ligands: Synthesis and biological evaluation of a series of phenyltriazolobenzotriazindione derivatives. J. Med. Chem. 2005, 48, 2936–2943. [Google Scholar] [CrossRef] [PubMed]
- Thurston, D.E. Advances in the study of pyrrolo [2,1-c][1,4]-benzodiazepine (PBD) antitumour antibiotics. In Molecular Aspects of Anticancer Drug-DNA Interactions; Neidle, S., Waring, M.J., Eds.; The Macmillan Press Ltd.: London, UK, 1993; pp. 54–88. [Google Scholar]
- Thurston, D.E.; Bose, D.S. Synthesis of DNA-interactive pyrrolo[2,1-c][1,4]benzodiazepines. Chem. Rev. 1994, 94, 433–465. [Google Scholar] [CrossRef]
- Thomas, A.W. A concise route to triazolobenzodiazepine derivatives via a one-pot alkyne-azide cycloaddition reaction. Bioorg. Med. Chem. Lett. 2002, 12, 1881–1884. [Google Scholar] [CrossRef]
- Roger-Evans, M.; Spurr, P.; Hennig, M. The isolation and use of a benzodiazepine iminochloride for the efficient construction of flumazenil. Tetrahedron Lett. 2003, 44, 2425–2428. [Google Scholar] [CrossRef]
- Broggini, G.; Molteni, G.; Terraneo, A.; Zecchi, G. A facile synthesis of flumazenil analogues. Tetrahedron 1999, 55, 14803–14806. [Google Scholar] [CrossRef]
- Gu, Z.-Q.; Wong, G.; Dominguez, C.; de Costa, B.R.; Rice, K.C.; Skolnick, P. Synthesis and evaluation of imidazo [l,5-a][1,4] benzodiazepine esters with high affinities and selectivities at diazepam-insensitive benzodiazepine receptors. J. Med. Chem. 1993, 36, 1001–1006. [Google Scholar] [CrossRef] [PubMed]
- Brabcova, R.; Kubova, H.; Velisek, L.; Mares, P. Effects of a benzodiazepine, bretazenil (Ro 16-6028), on rhythmic metrazol EEG activity: Comparison with standard anticonvulsants. Epilepsia 1993, 34, 1135–1140. [Google Scholar] [CrossRef] [PubMed]
- Naito, Y.; Akahoshi, F.; Takeda, S.; Okada, T.; Kajii, M.; Nishimura, H.; Sigiura, M.; Fukaya, C.; Kagitani, Y. Synthesis and pharmacological activity of triazole derivatives inhibiting eosinophilia. J. Med. Chem. 1996, 39, 3019–3029. [Google Scholar] [CrossRef] [PubMed]
- Cho, J.H.; Bernard, D.L.; Sidwell, R.W.; Kern, E.R.; Chu, C.K. Synthesis of cyclopentenyl carbocyclic nucleosides as potential antiviral agents against orthopoxviruses and SARS. J. Med. Chem. 2006, 49, 1140–1148. [Google Scholar] [CrossRef] [PubMed]
- Vijaya Raj, K.K.; Narayana, B.; Suchetha Kumari, N.; Ashalatha, B.V.; Sarojini, B.K. Neuropsychobehavioral effects and anticancer activity of some substituted triazolo[4,3-a][1,4]benzodiazepines. J. Pharmacol. Toxicol. 2006, 1, 471–477. [Google Scholar][Green Version]
- Kumaraswamy, S.; Mukkanti, K.; Srinivas, P. Palladium catalyzed synthesis of quinazolino [1,4] benzodiazepine alkaloids and analogous. Tetrahedron 2012, 68, 2001–2006. [Google Scholar][Green Version]
- Foloppe, M.-P.; Rault, I.; Rault, S.; Robba, M. Pyrrolo[2,1-c][1,4]benzodiazepines: Synthesis of N-Substituted Amidines. Heterocycles 1993, 36, 63–69. [Google Scholar][Green Version]
- Hester, J.B., Jr.; Chidester, C.G.; Szmuszkovicz, J. Synthesis and chemistry of N-methyl-6-phenyl-4H-s-triazolo[4,3-a][1,4]benzodiazepinium derivatives. J. Org. Chem. 1974, 44, 2688–2693. [Google Scholar] [CrossRef]
Sample Availability: Samples of compounds PBDT-7a–k are available from the authors. |




| S.No. | Acid (12a–k) | PBDT-7 | Time (min) | Yield (%) |
|---|---|---|---|---|
| 1 | R = t-butyl * | 7a | 45 | 65 |
| 2 | R = phenyl | 7b | 20 | 80 |
| 3 | R = o-fluorophenyl | 7c | 30 | 75 |
| 4 | R = m-fluorophenyl | 7d | 30 | 80 |
| 5 | R = p-fluorophenyl | 7e | 30 | 75 |
| 6 | R = m-methoxyphenyl | 7f | 15 | 70 |
| 7 | R = m-cyanophenyl | 7g | 40 | 65 |
| 8 | R = m-chlorophenyl | 7h | 30 | 65 |
| 9 | R = m-trifluoromethylphenyl | 7i | 15 | 70 |
| 10 | R = 3′-pyridinyl | 7j | 30 | 75 |
| 11 | R = 2′-thiophene | 7k | 30 | 72 |
© 2012 by the authors; licensee MDPI, Basel, Switzerland. This article is an open access article distributed under the terms and conditions of the Creative Commons Attribution license (http://creativecommons.org/licenses/by/3.0/).
Share and Cite
Sorra, K.; Chang, C.-F.; Pusuluri, S.; Mukkanti, K.; Laiu, M.-C.; Bao, B.-Y.; Su, C.-H.; Chuang, T.-H. Synthesis and Cytotoxicity Testing of New Amido-Substituted Triazolopyrrolo[2,1-c][1,4]benzodiazepine (PBDT) Derivatives. Molecules 2012, 17, 8762-8772. https://doi.org/10.3390/molecules17088762
Sorra K, Chang C-F, Pusuluri S, Mukkanti K, Laiu M-C, Bao B-Y, Su C-H, Chuang T-H. Synthesis and Cytotoxicity Testing of New Amido-Substituted Triazolopyrrolo[2,1-c][1,4]benzodiazepine (PBDT) Derivatives. Molecules. 2012; 17(8):8762-8772. https://doi.org/10.3390/molecules17088762
Chicago/Turabian StyleSorra, Kumaraswamy, Chi-Fen Chang, Srinivas Pusuluri, Khagga Mukkanti, Min-Chiau Laiu, Bo-Ying Bao, Chia-Hao Su, and Ta-Hsien Chuang. 2012. "Synthesis and Cytotoxicity Testing of New Amido-Substituted Triazolopyrrolo[2,1-c][1,4]benzodiazepine (PBDT) Derivatives" Molecules 17, no. 8: 8762-8772. https://doi.org/10.3390/molecules17088762
APA StyleSorra, K., Chang, C.-F., Pusuluri, S., Mukkanti, K., Laiu, M.-C., Bao, B.-Y., Su, C.-H., & Chuang, T.-H. (2012). Synthesis and Cytotoxicity Testing of New Amido-Substituted Triazolopyrrolo[2,1-c][1,4]benzodiazepine (PBDT) Derivatives. Molecules, 17(8), 8762-8772. https://doi.org/10.3390/molecules17088762

