Organic Bee Pollen: Botanical Origin, Nutritional Value, Bioactive Compounds, Antioxidant Activity and Microbiological Quality
Abstract
:1. Introduction
2. Results and Discussion
2.1. Palynological Identification
| Family | Pollen type | Found (n a) | Frequency (%) | Range (%) | Mean ± SD b (%) |
|---|---|---|---|---|---|
| Cistaceae | Cistus | 17 | 77.3 | 5.2–90.6 | 44.0 ± 30.0 |
| Boraginaceae | Echium | 16 | 72.7 | 24.5–60.5 | 24.5 ± 18.7 |
| Rosaceae | Prunus | 12 | 54.5 | 0.8–10.3 | 5.8 ± 2.7 |
| Fagaceae | Castanea | 11 | 50.0 | 1.2–65.8 | 23.6 ± 22.6 |
| Asteraceae | Leontodon | 10 | 45.5 | 3.2–49.5 | 21.6 ± 12.3 |
| Fabaceae | Trifollium | 10 | 45.5 | 4.4–45.6 | 13.3 ± 12.3 |
| Ericaceae | Erica | 8 | 36.4 | 6.4–68.0 | 32.7 ± 24.4 |
| Fagaceae | Quercus | 7 | 31.8 | 1.2–16.0 | 8.3 ± 4.9 |
| Mimosaceae | Mimosa | 7 | 31.8 | 1.2–11.2 | 5.3 ± 3.6 |
| Myrtaceae | Eucalyptus | 4 | 18.2 | 1.3–5.6 | 3.2 ± 1.8 |
| Rosaceae | Rubus | 3 | 13.6 | 2.1–5.6 | 4.0 ± 1.8 |
| Pollen Types | Samples | ||||||||||||||||||||||
|---|---|---|---|---|---|---|---|---|---|---|---|---|---|---|---|---|---|---|---|---|---|---|---|
| 1 | 2 | 3 | 4 | 5 | 6 | 7 | 8 | 9 | 10 | 11 | 12 | 13 | 14 | 15 | 16 | 17 | 18 | 19 | 20 | 21 | 22 | ||
| Rosaceae | Prunus | 5.0 | ND | ND | ND | ND | 9.8 | 0.8 | 5.4 | 2.8 | 5.9 | 7.1 | ND | 3.8 | 10.3 | ND | 6.0 | ND | ND | 6.7 | ND | ND | 6.7 |
| I | I | I | I | I | I | I | I | I | I | I | I | ||||||||||||
| Rubus | ND | ND | ND | ND | ND | ND | ND | ND | ND | ND | ND | ND | ND | ND | ND | 3.1 | ND | 5.6 | ND | 4.4 | ND | ND | |
| I | I | I | |||||||||||||||||||||
| Cistaceae | Cistus | 68.2 | 56.0 | 5.4 | 80.6 | 54.8 | ND | 90.6 | 16.8 | 69.8 | 6.5 | ND | 5.2 | ND | 11.5 | 32.8 | 13.2 | 65.0 | ND | 67.9 | 25.7 | 74.5 | ND |
| D | D | P | D | D | D | A | D | I | I | I | A | I | D | P | A | D | |||||||
| Boraginaceae | Echium | 2.5 | 23.2 | 26.6 | 18.2 | ND | ND | 5.4 | 19.8 | 2.6 | 18.7 | 48.9 | ND | 53.6 | ND | 49.6 | 17.1 | 21.2 | ND | 18.5 | ND | 6.9 | 60.5 |
| I | A | A | A | I | A | I | A | D | D | D | A | I | A | I | D | ||||||||
| Fagaceae | Castanea | 19.9 | 10.8 | ND | 12 | 18.8 | 65.8 | ND | ND | 24.8 | ND | ND | ND | 4.5 | 54.6 | 5.2 | ND | ND | 48.9 | ND | ND | 5.4 | ND |
| A | I | I | A | D | A | I | D | I | D | I | |||||||||||||
| Quercus | ND | ND | ND | ND | 1.2 | ND | ND | ND | ND | 9.4 | 7.8 | 16.0 | 5.3 | ND | ND | ND | ND | ND | ND | 12.5 | ND | 5.6 | |
| I | I | I | A | I | I | I | |||||||||||||||||
| Fabaceae | Trifolium | 4.4 | ND | ND | ND | ND | 5.6 | ND | ND | ND | ND | 7.8 | 45.6 | ND | ND | 9.0 | 14.7 | 12.5 | 19.8 | 6.9 | ND | 6.8 | ND |
| I | I | I | D | I | I | I | A | I | I | ||||||||||||||
| Asteraceae | Leontondon | ND | 10.0 | ND | ND | 19.6 | 17.6 | 3.2 | ND | ND | ND | 28.4 | 25.4 | 17.8 | 23.6 | ND | ND | ND | 21.3 | ND | 49.5 | ND | ND |
| I | A | A | I | A | A | A | A | A | D | ||||||||||||||
| Ericaceae | Erica | ND | ND | 68.0 | ND | ND | ND | ND | 46.8 | ND | 54.3 | ND | 6.5 | 6.8 | ND | ND | 45.9 | ND | ND | ND | ND | 6.4 | 27.2 |
| D | D | D | I | I | D | I | A | ||||||||||||||||
| Myrtaceae | Eucalyptus | ND | ND | ND | ND | 5.6 | ND | ND | ND | ND | ND | ND | ND | ND | ND | 3.4 | ND | 1.3 | ND | ND | 2.5 | ND | ND |
| I | I | I | I | ||||||||||||||||||||
| Mimosaceae | Mimosa | ND | ND | ND | ND | ND | 1.2 | ND | 11.2 | ND | 5.2 | ND | 1.3 | 8.2 | ND | ND | ND | ND | 4.4 | ND | 5.4 | ND | ND |
| I | I | I | I | I | I | I | |||||||||||||||||
2.2. Water Activity (aw), pH and Nutritional Composition
| Sample | aw | pH | Ash | Proteins | Fat | Carbohydrates | Energy |
|---|---|---|---|---|---|---|---|
| S1 | 0.44 | 4.9 | 2.4 | 23.1 | 5.7 | 66.2 | 407.9 |
| S2 | 0.45 | 4.6 | 3.6 | 21.4 | 5.0 | 67.5 | 400.5 |
| S3 | 0.44 | 4.7 | 3.4 | 25.6 | 6.1 | 62.0 | 405.2 |
| S4 | 0.35 | 5.2 | 2.6 | 23.0 | 4.5 | 67.2 | 401.3 |
| S5 | 0.45 | 5.0 | 2.1 | 21.9 | 5.5 | 67.9 | 408.9 |
| S6 | 0.54 | 5.1 | 2.1 | 25.6 | 4.7 | 64.7 | 402.8 |
| S7 | 0.22 | 4.6 | 3.3 | 27.1 | 5.2 | 61.2 | 400.1 |
| S8 | 0.21 | 4.3 | 2.0 | 23.0 | 5.0 | 67.3 | 406.3 |
| S9 | 0.22 | 4.5 | 4.0 | 19.1 | 6.3 | 68.4 | 406.6 |
| S10 | 0.41 | 5.1 | 2.0 | 21.0 | 4.9 | 69.6 | 406.7 |
| S11 | 0.42 | 4.8 | 2.2 | 19.2 | 5.8 | 70.6 | 411.1 |
| S12 | 0.41 | 4.8 | 3.0 | 21.1 | 4.3 | 69.2 | 399.9 |
| S13 | 0.40 | 5.0 | 2.4 | 20.3 | 5.0 | 69.9 | 406.1 |
| S14 | 0.40 | 4.5 | 2.9 | 19.5 | 4.8 | 70.5 | 403.3 |
| S15 | 0.40 | 4.6 | 2.5 | 22.2 | 5.3 | 67.4 | 406.0 |
| S16 | 0.32 | 4.9 | 2.8 | 20.6 | 4.8 | 69.5 | 403.2 |
| S17 | 0.44 | 4.8 | 4.0 | 21.3 | 5.0 | 67.2 | 399.1 |
| S18 | 0.51 | 4.5 | 4.0 | 19.7 | 4.3 | 69.7 | 396.4 |
| S19 | 0.44 | 5.1 | 4.0 | 19.3 | 5.7 | 68.8 | 403.2 |
| S20 | 0.32 | 4.8 | 2.4 | 23.7 | 6.3 | 64.8 | 411.0 |
| S21 | 0.52 | 4.9 | 3.0 | 22.2 | 5.4 | 66.9 | 404.8 |
| S22 | 0.37 | 4.5 | 3.2 | 19.4 | 5.0 | 70.2 | 403.1 |
| Mean | 0.39 | 4.8 | 2.9 | 21.8 | 5.2 | 67.6 | 404.3 |
| a SD | 0.09 | 0.2 | 0.7 | 2.2 | 0.6 | 2.6 | 3.8 |
| b Vmax | 0.54 | 5.2 | 4.0 | 27.1 | 6.3 | 70.6 | 411.1 |
| c Vmin | 0.21 | 4.3 | 2.0 | 19.1 | 4.3 | 61.2 | 396.4 |
2.3. Nutrients Composition
| Sample | C10:0 | C16:0 | C18:1n9c + t | C18:2n6c | C18:3n3 | C20:0 | C20:1c | Total a | Other | ∑SFA | ∑MUFA | ∑PUFA | ∑TUFA | PUFA/SFA | ω6/ω3 | ω3/ω6 | TUFA/SFA | SFA/TUFA |
|---|---|---|---|---|---|---|---|---|---|---|---|---|---|---|---|---|---|---|
| S1 | 5.39 | 10.15 | 9.85 | 14.79 | 50.71 | 3.15 | 1.20 | 95.24 | 4.76 | 18.69 | 11.05 | 65.50 | 76.55 | 3.50 | 0.29 | 3.43 | 4.10 | 0.24 |
| S2 | 7.68 | 7.83 | 9.42 | 17.02 | 48.19 | 0.51 | 3.10 | 93.74 | 6.26 | 16.02 | 12.52 | 65.21 | 77.72 | 4.07 | 0.35 | 2.83 | 4.85 | 0.21 |
| S3 | 3.24 | 9.02 | 16.68 | 20.11 | 42.84 | 1.90 | 1.30 | 95.09 | 4.91 | 14.16 | 17.98 | 62.94 | 80.93 | 4.44 | 0.47 | 2.13 | 5.71 | 0.17 |
| S4 | 3.87 | 10.45 | 20.61 | 18.66 | 40.08 | ND | ND | 93.66 | 6.34 | 14.32 | 20.61 | 58.74 | 79.34 | 4.10 | 0.47 | 2.15 | 5.54 | 0.18 |
| S5 | 3.65 | 7.90 | 15.65 | 20.08 | 41.64 | 2.12 | 1.65 | 92.70 | 7.31 | 13.67 | 17.30 | 61.72 | 79.02 | 4.51 | 0.48 | 2.07 | 5.78 | 0.17 |
| S6 | 3.87 | 10.45 | 20.61 | 18.66 | 40.08 | ND | ND | 93.66 | 6.34 | 14.32 | 20.61 | 58.74 | 79.34 | 4.10 | 0.47 | 2.15 | 5.54 | 0.18 |
| S7 | 3.87 | 10.00 | 14.80 | 24.80 | 35.82 | ND | 2.15 | 91.43 | 8.57 | 13.87 | 16.95 | 60.61 | 77.57 | 4.37 | 0.69 | 1.44 | 5.59 | 0.18 |
| S8 | ND | 30.05 | 4.63 | 5.94 | 55.73 | ND | ND | 96.35 | 3.65 | 30.05 | 4.63 | 61.67 | 66.29 | 2.05 | 0.11 | 9.39 | 2.21 | 0.45 |
| S9 | 2.98 | 12.54 | 11.69 | 7.89 | 56.90 | 1.54 | 1.23 | 94.77 | 5.23 | 17.06 | 12.92 | 64.79 | 77.71 | 3.80 | 0.14 | 7.21 | 4.56 | 0.22 |
| S10 | ND | 17.50 | 6.97 | 15.06 | 55.73 | 2.10 | ND | 97.36 | 2.64 | 19.60 | 6.97 | 70.79 | 77.76 | 3.61 | 0.27 | 3.70 | 3.97 | 0.25 |
| S11 | 3.55 | 10.56 | 13.34 | 19.08 | 42.69 | 1.12 | 2.01 | 92.35 | 7.66 | 15.23 | 15.35 | 61.77 | 77.12 | 4.06 | 0.45 | 2.24 | 5.06 | 0.20 |
| S12 | 7.68 | 8.12 | 11.40 | 17.80 | 45.70 | 0.51 | ND | 91.21 | 8.79 | 16.31 | 11.40 | 63.50 | 74.90 | 3.89 | 0.39 | 2.57 | 4.59 | 0.22 |
| S13 | 8.27 | 20.31 | 11.22 | 23.26 | 30.25 | 0.10 | ND | 93.40 | 6.60 | 28.68 | 11.22 | 53.51 | 64.73 | 1.87 | 0.77 | 1.30 | 2.26 | 0.44 |
| S14 | 6.87 | 17.15 | 4.80 | 24.80 | 30.24 | 0.23 | 0.33 | 84.42 | 15.58 | 24.25 | 5.13 | 55.04 | 60.17 | 2.27 | 0.82 | 1.22 | 2.48 | 0.40 |
| S15 | 3.25 | 10.56 | 17.88 | 22.11 | 37.53 | ND | 3.35 | 94.66 | 5.34 | 13.81 | 21.22 | 59.63 | 80.86 | 4.32 | 0.59 | 1.70 | 5.86 | 0.17 |
| S16 | 6.87 | 22.15 | 4.80 | 24.80 | 25.82 | ND | ND | 84.43 | 15.57 | 29.02 | 4.80 | 50.61 | 55.42 | 1.74 | 0.96 | 1.04 | 1.91 | 0.52 |
| S17 | 3.33 | 16.45 | 9.56 | 17.76 | 44.65 | 0.45 | 0.22 | 92.42 | 7.58 | 20.23 | 9.78 | 62.41 | 72.19 | 3.08 | 0.40 | 2.51 | 3.57 | 0.28 |
| S18 | 5.24 | 20.64 | 7.89 | 24.46 | 34.15 | ND | ND | 92.37 | 7.63 | 25.88 | 7.89 | 58.60 | 66.49 | 2.26 | 0.72 | 1.40 | 2.57 | 0.39 |
| S19 | 4.24 | 10.62 | 11.98 | 21.11 | 42.33 | 2.12 | 2.31 | 94.71 | 5.29 | 16.98 | 14.30 | 63.44 | 77.73 | 3.74 | 0.50 | 2.01 | 4.58 | 0.22 |
| S20 | 8.47 | 20.15 | 5.80 | 20.80 | 28.83 | 1.04 | 1.33 | 86.42 | 13.58 | 29.66 | 7.13 | 49.63 | 56.76 | 1.67 | 0.72 | 1.39 | 1.91 | 0.52 |
| S21 | 4.57 | 8.95 | 18.91 | 17.79 | 43.11 | ND | ND | 93.31 | 6.69 | 13.51 | 18.91 | 60.90 | 79.80 | 4.51 | 0.41 | 2.42 | 5.91 | 0.17 |
| S22 | 6.00 | 10.54 | 12.79 | 20.36 | 40.53 | ND | 0.34 | 90.56 | 9.44 | 16.54 | 13.13 | 60.89 | 74.02 | 3.68 | 0.50 | 1.99 | 4.48 | 0.22 |
| Mean | 4.68 | 13.73 | 11.88 | 18.96 | 41.52 | 0.77 | 0.93 | 92.47 | 7.53 | 19.18 | 12.81 | 60.48 | 73.29 | 3.44 | 0.50 | 2.65 | 4.23 | 0.27 |
| * SD | 2.33 | 5.93 | 5.04 | 4.91 | 8.65 | 0.96 | 1.09 | 3.43 | 3.43 | 5.89 | 5.34 | 4.92 | 7.94 | 0.99 | 0.21 | 1.98 | 1.41 | 0.12 |
| ** Vmax | 8.47 | 30.05 | 20.61 | 24.80 | 56.90 | 3.15 | 3.35 | 97.36 | 15.58 | 30.05 | 21.22 | 70.79 | 80.93 | 4.51 | 0.96 | 9.39 | 5.91 | 0.52 |
| *** Vmin | ND | 7.83 | 4.63 | 5.94 | 25.82 | ND | ND | 84.42 | 2.64 | 13.51 | 4.63 | 49.63 | 55.42 | 1.67 | 0.11 | 1.04 | 1.91 | 0.17 |
2.4. Fatty Acid Profile Determination
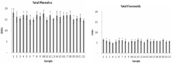
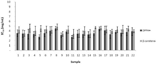
2.5. Bioactive Compounds and Antioxidant Activity


2.6. Microbial Quality
| Sample | Aerobic mesophiles | Moulds and yeasts | Fecal coliforms | E. coli (in 1 g) | Sulphite-reducing clostridia (in 0.01 g) | Salmonella (in 25 g) | S. aureus (in 1 g) |
|---|---|---|---|---|---|---|---|
| S1 | 900 | 320 | <1 | absent | absent | absent | absent |
| S2 | 560 | 300 | <1 | absent | absent | absent | absent |
| S3 | 832 | 220 | <1 | absent | absent | absent | absent |
| S4 | 1500 | 120 | <1 | absent | absent | absent | absent |
| S5 | 500 | 240 | <1 | absent | absent | absent | absent |
| S6 | 2450 | 132 | <1 | absent | absent | absent | absent |
| S7 | 1700 | 2800 | 20 | absent | absent | absent | absent |
| S8 | 650 | 3560 | 30 | absent | absent | absent | absent |
| S9 | 1000 | 1672 | <1 | absent | absent | absent | absent |
| S10 | <10 | <10 | <1 | absent | absent | absent | absent |
| S11 | <10 | 450 | <1 | absent | absent | absent | absent |
| S12 | 1980 | 1230 | <1 | absent | absent | absent | absent |
| S13 | 750 | 1500 | <1 | absent | absent | absent | absent |
| S14 | 2109 | 420 | <1 | absent | absent | absent | absent |
| S15 | <10 | 100 | <1 | absent | absent | absent | absent |
| S16 | 450 | 220 | <1 | absent | absent | absent | absent |
| S17 | 670 | <10 | <1 | absent | absent | absent | absent |
| S18 | 1250 | 2500 | <1 | absent | absent | absent | absent |
| S19 | 2450 | 3000 | <1 | absent | absent | absent | absent |
| S20 | 790 | 900 | <1 | absent | absent | absent | absent |
| S21 | <10 | 100 | <1 | absent | absent | absent | absent |
| S22 | <10 | <10 | <1 | absent | absent | absent | absent |
3. Experimental
3.1. Chemicals
3.2. Apian Pollen Material
3.3. Sample Floral-Type Identification
3.4. Water Activity and pH
3.5. Chemical Composition and Nutritional Value
3.6. Fatty Acid Profile Determination
3.7. Bioactive Compounds Quantification
3.7.1. Extracts Preparation
3.7.2. Total Phenolic Content (TPC)
3.7.3. Total Flavonoid Content (TFC)
3.8. Antioxidant Activity
3.8.1. Scavenging of DPPH Radicals
3.8.2. β-Carotene Bleaching (BCB) Assay
3.9. Microbiological Determinations
4. Conclusions
Conflict of Interest
Acknowledgments
References
- Campos, M.R.G.; Bogdanov, S.; de Almeida-Muradian, L.M.B.; Szczesna, T.; Mancebo, Y.; Frigerio, C.; Ferreira, F. Pollen composition and standardisation of analytical methods. J. Apicult. Res. 2008, 47, 156–163. [Google Scholar]
- Basim, E.; Basim, H.; Ozcan, M. Antibacterial activities of Turkish pollen and propolis extracts against plant bacterial pathogens. J. Food Eng. 2006, 77, 992–996. [Google Scholar] [CrossRef]
- Ozcan, M. Inhibition of Aspergillus parasiticus NRRL 2999 by pollen and propolis extracts. J. Med. Food 2004, 7, 114–116. [Google Scholar] [CrossRef]
- Morais, M.; Moreira, L.; Feás, X.; Estevinho, L.M. Honeybee-collected pollen from five portuguese natural parks: Palynological origin, phenolic content, antioxidant properties and antimicrobial activity. Food Chem. Toxicol. 2011, 49, 1096–1101. [Google Scholar] [CrossRef]
- Bevzo, V.; Grygor’eva, N.P. Effect of bee pollen extract on glutathione system activity in mice liver under X-ray irradiation. Ukr. Biokhim. Zh. 1997, 69, 115–117. [Google Scholar]
- Eraslan, G.; Kanbur, M.; Silici, S. Effect of carbaryl on some biochemical changes in rats: The ameliorative effect of bee pollen. Food Chem. Toxicol. 2009, 47, 86–91. [Google Scholar] [CrossRef]
- Pinto, B.; Cagiagli, F.; Riccio, E.; Reali, D.; Saric, A.; Balog, T.; Likic, S.; Scarpato, R. Antiestrogenic and antigenotoxic activity of bee pollen from Cystus incanus and Salix alba as evaluated by the yeast estrogen screen and the micronucleus assay in human lymphocytes. Eur. J. Med. Chem. 2010, 45, 4122–4128. [Google Scholar]
- Furusawa, E.; Chou, S.C.; Hirazumi, A.; Melera, A. Antitumour potential of pollen extract on lewis lung carcinoma implaned intraperitoneally in syngeneic mice. Phytother. Res. 1995, 9, 255–259. [Google Scholar] [CrossRef]
- Maruyama, H.; Sakamoto, T.; Araki, Y.; Hara, H. Anti-inflammatory effect of bee pollen ethanol extract from Cistus sp of Spanish on carrageenan-induced rat hind paw edema. BMC Complement. Altern. Med. 2010, 10. [Google Scholar] [CrossRef]
- Bogdanov, S. Pollen: Nutrition, Functional Properties, Health: A Review. Bee Product Science. 2011. Available online: http://www.bee-hexagon.net/files/file/fileE/Health/PollenBook2Review.pdf (accessed on 11 May 2012).
- Feás, X.; Pires, J.; Estevinho, M.L.; Iglesias, A.; Pinto de Araujo, J.P. Palynological and physicochemical data characterisation of honeys produced in the Entre-Douro e Minho region of Portugal. Int. J. Food Sci. Technol. 2010, 45, 1255–1262. [Google Scholar] [CrossRef]
- Feás, X.; Pires, J.; Iglesias, A.; Estevinho, M.L. Characterization of artisanal honey produced on the Northwest of Portugal by melissopalynological and physico-chemical data. Food Chem. Toxicol. 2010, 48, 3462–3470. [Google Scholar] [CrossRef]
- EU. Council Directive 92/43/EEC on the conservation of natural habitats and of wild fauna and flora. Off. J. Eur. Commun. L 1992, 206, 7–50.
- EU. Council Directive 834/2007 on organic production and labelling of organic products. Off. J. Eur. Commun. L 2007, 189, 1–23.
- Feás, X.; Estevinho, L.M. A survey of the in vitro antifungal activity of heather (Erica Sp.) organic honey. J. Med. Food 2011, 14, 1–5. [Google Scholar]
- Rial-Otero, R.; Gaspar, E.M.; Moura, I.; Capelo, J.L. Chromatographic-based methods for pesticide determination in honey: An overview. Talanta 2007, 71, 503–514. [Google Scholar]
- Magkos, F.; Arvaniti, F.; Zampelas, A. Organic food: Nutritious food or food for thought? A review of the evidence. Int. J. Food Sci. Nutr. 2003, 54, 357–371. [Google Scholar]
- Yamaguchi, M.; Hamamoto, R.; Uchiyama, S.; Ishiyama, K.; Hashimoto, K. Anabolic effects of bee pollen Cistus ladaniferus extract on bone components in the femoral diaphyseal and metaphyseal tissues of rats in vitro and in vivo. J. Health Sci. 2006, 52, 43–49. [Google Scholar] [CrossRef]
- Hamamoto, R.; Ishiyama, K.; Yamaguchi, M. Inhibitory effects of bee pollen Cistus ladaniferus extract on bone resorption in femoral tissues and osteoclast-like cell formation in bone marrow cells in vitro. J. Health Sci. 2006, 52, 268–275. [Google Scholar] [CrossRef]
- Yamaguchi, M.; Hamamoto, R.; Uchiyama, S.; Ishiyama, K.; Hashimoto, K. Preventive effects of bee pollen Cistus ladaniferus extract in bone loss in streptozotocin-diabetic rats in vivo. J. Health Sci. 2007, 53, 190–195. [Google Scholar] [CrossRef]
- Ishikawa, Y.; Tokura, T.; Ushio, H.; Niyonsaba, F.; Yamamoto, Y.; Tadokoro, T.; Ogawa, H.; Okumura, K. Lipid-soluble components of honeybee collected pollen exert antiallergic effect by inhibiting IgE-mediated mast cell activation in vivo. Phytother. Res. 2009, 23, 1581–1586. [Google Scholar] [CrossRef]
- Nagai, T.; Inoue, R.; Inoue, H.; Suzuki, N. Scavenging capacities of pollen extracts from cistus ladaniferus on autoxidation, superoxide radicals, hydroxyl radicals, and DPPH radicals. Nutr. Res. 2002, 22, 519–526. [Google Scholar]
- Nagai, T.; Inoue, R.; Suzuki, N.; Myoda, T.; Nagashima, T. Antioxidative ability in a linoleic acid oxidation system and scavenging abilities against active oxygen species of enzymatic hydrolysates from pollen Cistus ladaniferus. Int. J. Mol. Med. 2005, 15, 259–263. [Google Scholar]
- Carpes, S.T.; Mourão, G.B.; de Alencar, S.M.; Masson, M.L. Chemical composition and free radical scavenging activity of Apis mellifera bee pollen from Southern Brazil. Braz. J. Food Technol. 2009, 12, 220–229. [Google Scholar] [CrossRef]
- Bonvehi, J.S.; Jordà, R.E. Nutrient composition and microbiological quality of honeybee-collected pollen in Spain. J. Agric. Food Chem. 1997, 45, 725–732. [Google Scholar] [CrossRef]
- Morgano, M.A.; Milani, R.F.; Martins, M.C.T.; Rodriguez-Amaya, D.B. Determination of water content in Brazilian honeybee-collected pollen by Karl Fischer titration. Food Control 2011, 22, 1604–1608. [Google Scholar] [CrossRef]
- Hassan, H.M.M. Chemical composition and nutritional value of palm pollen grains. Global J. Biotechnol. Biochem. 2011, 6, 1–7. [Google Scholar]
- Toledo, I.; Burlingame, B. Biodiversity and nutrition: A common path toward global food security and sustainable development. J. Food Compos. Anal. 2006, 19, 477–483. [Google Scholar] [CrossRef]
- Shawer, M.B.; Au, S.M.; Abdellatif, M.A.; El-Refai, A.A. Biochemical studies of bee-collected pollen in Egypt 2. Fatty acids and non saponifiables. J. Apicult. Res. 1987, 26, 133–136. [Google Scholar]
- Szczęsna, T. Long-chain fatty acids composition of honeybee-collected pollen. J. Apicult. Sci. 2006, 50, 65–79. [Google Scholar]
- Yehuda, S.; Rabinovitz, S.; Carasso, R.L.; Mostofsky, D.I. The role of polyunsaturated fatty acids in restoring the aging neuronal membrane. Neurobiol. Aging 2002, 23, 843–853. [Google Scholar]
- Youdim, K.A.; Martin, A.; Joseph, J.A. Essential fatty acids and the brain: Possible halth implications. Int. J. Dev. Neurosci. 2000, 18, 383–399. [Google Scholar]
- Guil, J.L.; Torija, M.E.; Giménez, J.J.; Rodriguez, I. Identification of fatty acids in edible wild plants by gas chromatography. J. Chromatogr. A 1996, 719, 229–235. [Google Scholar] [CrossRef]
- Campos, M.G.; Webby, R.F.; Markham, K.R.; Mitchell, K.A.; Da Cunha, A.P. Aged induced diminution of free radicals scavenging capacity in bee-pollens and the contribution of constituents favonoids. J. Agric. Food Chem. 2003, 51, 742–745. [Google Scholar]
- Sakanaka, S.; Ishihara, Y. Comparison of antioxidant properties of persimmon vinegar and some other commercial vinegars in radical-scavenging assays and on lipid oxidation tuna homogenates. Food Chem. 2008, 107, 739–744. [Google Scholar] [CrossRef]
- Silva, T.M.S.; Câmara, C.A.; Lins, A.C.; Barbosa-Filho, J.M.; Silva, E.M.S.; Freitas, B.M.; Santos, F.A.R. Chemical composition and free radical scavenging activity of pollen loads from stingless bee Melipona subnitida Ducke. J. Food Compos. Anal. 2006, 19, 507–511. [Google Scholar] [CrossRef]
- Pereira, J.A.; Oliveira, I.; Sousa, A.; Valentão, P.; Andrade, P.; Ferreira, I.; Ferreres, F.; Bento, A.; Seabra, R.; Estevinho, L. Walnut (Juglans regia L.) leaves: Phenolic compounds, antibacterial activity and antioxidant potential of different cultivars. Food Chem. Toxicol. 2007, 45, 2287–2295. [Google Scholar] [CrossRef]
- LeBlanc, B.W.; Davis, O.K.; Boue, S.; de Lucca, A.; Deeby, T. Antioxidant activity of sonoran desert bee pollen. Food Chem. 2009, 115, 1299–1305. [Google Scholar] [CrossRef]
- Ferreira, I.C.F.R.; Aires, E.; Barreira, J.C.M.; Estevinho, L.M. Antioxidant activity of Portuguese honey samples: Different contributions of the entire honey and phenolic extract. Food Chem. 2009, 114, 1438–1443. [Google Scholar]
- Serra, J.; Escola, R. Nutrient composition and micrnbiological quality of honeybee-collected pollen in Spain. J. Agric. Food Chem. 1997, 45, 725–732. [Google Scholar] [CrossRef]
- Hervatin, H.L. Microbiológica e Físico-Quimica do Pólen Apícola in Natura e Desidratado sob Diferentes Temperaturas. Tese de Mestrado em Ciência de Alimentos, Universidade Estadual de Campinas, Campinas, SP, Brazil, 2009. [Google Scholar]
- Bratkowski, J.; Wilde, J. Effect of changing of colony structure on trapped pollen. J. Apicult. Sci. 2003, 47, 11–19. [Google Scholar]
- Almeida-Muradian, L.B.; Pamplona, L.C.; Coimbra, S.; Barth, O. Chemical composition and botanical evaluation of dried bee-pollen pellets. J. Food Compos. Anal. 2005, 18, 105–111. [Google Scholar] [CrossRef]
- Association of Official Analytical Chemists (AOAC), Official Methods of Analysis, 16th ed; AOAC: Arlington, VA, USA, 1995.
- Merill, A.L.; Watt, B.K. Energy Value of Foods, Basis and Derivation. In Agriculture Handbook; United States Department of Agriculture: Washington, DC, USA, 1995; 74. [Google Scholar]
- Moreira, L.; Dias, L.G.; Pereira, J.A.; Estevinho, L. Antioxidant properties, total phenols and pollen analysis of propolis samples from Portugal. Food Chem. Toxicol. 2008, 46, 3482–3485. [Google Scholar] [CrossRef]
- Gomes, S.; Dias, L.; Moreira, L.; Rodrigues, P.; Estevinho, L. Physicochemical, microbiological and antimicrobial properties of commercial honeys from Portugal. Food Chem. Toxicol. 2010, 48, 544–548. [Google Scholar] [CrossRef]
- ISO 21527-2:2008. Microbiology of Food and Animal Feeding Stuffs—Horizontal Method for the Enumeration of Yeasts and Moulds—Part 2: Colony Count Technique in Products with Water Activity Less Than or Equal to 0.95. International Standards Organization: Geneva, Switzerland, 2008.
- ISO 4831:2006. Microbiology of Food and Animal Feeding Stuffs—Horizontal Method for the Detection and Enumeration of Coliforms—Most Probable Number Technique. International Standards Organization: Geneva, Switzerland, 2006.
- ISO 6579:2002(E). Microbiology of Food and Animal Feeding Stuffs—Horizontal Method for the Detection of Salmonella spp. International Standards Organization: Geneva, Switzerland, 2002.
- NP 4400-1:2002. Microbiologia Alimentar. Regras gerais para contagem de Estafilococos coagulase positiva (Staphylococcus aureus e outras espécies). Parte 1: Técnica com confirmação de colónias (método corrente). Instituto Português da Qualidade: Caparica, Portugal, 2002.
- EU. Council Directive 1924/2006 on nutrition and health claims made on foods. Off. J. Eur. Commun. L 2007, 404, 12–17.
- Sample Availability: Samples of the compounds are available from the authors.
© 2012 by the authors; licensee MDPI, Basel, Switzerland. This article is an open-access article distributed under the terms and conditions of the Creative Commons Attribution license (http://creativecommons.org/licenses/by/3.0/).
Share and Cite
Feás, X.; Vázquez-Tato, M.P.; Estevinho, L.; Seijas, J.A.; Iglesias, A. Organic Bee Pollen: Botanical Origin, Nutritional Value, Bioactive Compounds, Antioxidant Activity and Microbiological Quality. Molecules 2012, 17, 8359-8377. https://doi.org/10.3390/molecules17078359
Feás X, Vázquez-Tato MP, Estevinho L, Seijas JA, Iglesias A. Organic Bee Pollen: Botanical Origin, Nutritional Value, Bioactive Compounds, Antioxidant Activity and Microbiological Quality. Molecules. 2012; 17(7):8359-8377. https://doi.org/10.3390/molecules17078359
Chicago/Turabian StyleFeás, Xesús, M. Pilar Vázquez-Tato, Leticia Estevinho, Julio A. Seijas, and Antonio Iglesias. 2012. "Organic Bee Pollen: Botanical Origin, Nutritional Value, Bioactive Compounds, Antioxidant Activity and Microbiological Quality" Molecules 17, no. 7: 8359-8377. https://doi.org/10.3390/molecules17078359
APA StyleFeás, X., Vázquez-Tato, M. P., Estevinho, L., Seijas, J. A., & Iglesias, A. (2012). Organic Bee Pollen: Botanical Origin, Nutritional Value, Bioactive Compounds, Antioxidant Activity and Microbiological Quality. Molecules, 17(7), 8359-8377. https://doi.org/10.3390/molecules17078359

