Formation and Inhibition of Nε-(Carboxymethyl)lysine in Saccharide-Lysine Model Systems during Microwave Heating
Abstract
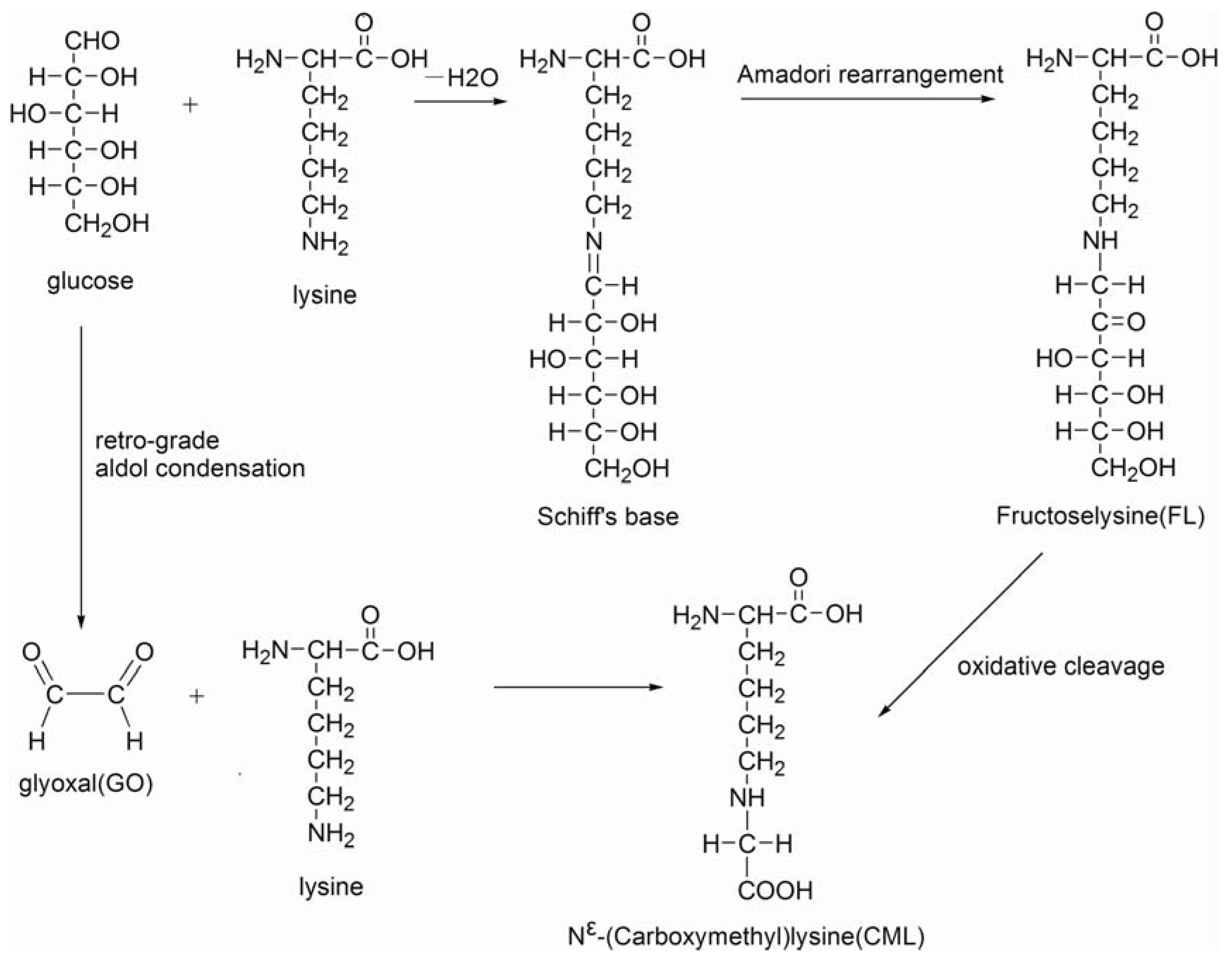
:1. Introduction
2. Results and Discussion
2.1. Formation of CML by Conventional Heating
2.1.1. Temperature of Heating
2.1.2. Time of Heating
2.2. Formation of CML by Microwave Heating
2.2.1. Temperature of Heating
2.2.2. Time of Heating
2.3. Inhibition of CML in Glucose-Lysine Model Systems during Microwave Heating
2.3.1. Effect of Inhibitors on CML Formation
2.3.2. Effect of Inhibition Temperature and Time on Inhibition of CML
3. Experimental
3.1. Preparation of Saccharide-Lysine Conventional Heating Model Systems
3.2. Preparation of Saccharide-Lysine Microwave Heating Model Systems
3.3. Inhibition of CML by Vitamin and Flavonoid
3.4. Purification by Solid Phase Extraction
3.5. Determination of CML Content by HPLC-MS/MS
4. Conclusions
Acknowledgments
References
- Baumann, M.; Stehouwer, C.; Scheijen, J.; Heemann, U.; Boudier, H.S.; Schalkwijk, C. Nε-(Carboxymethyl)lysine during the Early Development of Hypertension. Ann. NY Acad. Sci. 2008, 1126, 201–204. [Google Scholar] [CrossRef] [PubMed]
- Bengmark, S. Advanced glycation and lipoxidation end products-amplifiers of inflammation: The role of food. J. Parenter. Enter. Nutr. 2007, 31, 430–440. [Google Scholar] [CrossRef] [PubMed]
- Van Heijst, J.W.; Niessen, H.W.; Hoekman, K.; Schalkwijk, C.G. Advanced glycation end products in human cancer tissues: Detection of Nε-(Carboxymethyl)lysine and argpyrimidine. Ann. NY Acad. Sci. 2005, 1043, 725–733. [Google Scholar] [CrossRef] [PubMed]
- Sakata, N.; Imanaga, Y.; Meng, J.; Tachikawa, Y.; Takebayashi, S.; Nagai, R.; Horiuchi, S. Increased advanced glycation end products in atherosclerotic lesions of patients with end-stage renal disease. Atherosclerosis 1999, 142, 67–77. [Google Scholar] [CrossRef]
- Stevens, A. The contribution of glycation to cataract formation in diabetes. J. Am. Stat. Assoc. 2000, 69, 519–530. [Google Scholar]
- Singh, R.; Barden, A.; Mori, T.; Beilin, L. Advanced glycation end products, a review. Diabetologia 2001, 44, 129–146. [Google Scholar] [CrossRef] [PubMed]
- Koschinsky, T.; He, C.; Mitsuhashi, T.; Bucala, R.; Liu, C.; Buenting, C.; Heitmann, K.; Vlassara, H. Orally absorbed reactive glycation products (glycotoxins): An environmental risk factor in diabetic nephropathy. Proc. Natl. Acad. Sci. USA 1997, 94, 6474–6479. [Google Scholar] [CrossRef] [PubMed]
- Somoza, V.; Wenzel, E.; Weiss, C.; Clawin-Radecker, I.; Grübel, N.; Erbersdobler, H.F. Dose-Dependent utilisation of casein-linked lysinoalanine, N(epsilon)-fructoselysine and Nε-carboxymethyllysine in rats. Mol. Nutr. Food Res. 2006, 50, 833–841. [Google Scholar] [CrossRef] [PubMed]
- Henle, T. Ages in food: Do they play a role in uremia? Kidney Int. 2003, 63, 145–147. [Google Scholar] [CrossRef] [PubMed]
- Schmid, K.; Haslbeck, M.; Buchner, J.; Somoza, V. Induction of heat shock proteinsand the proteasome system by casein-Nε-(Carboxymethyl)lysine and Nε-(Carboxymethyl)lysine in Caco-2 Cells. Ann. NY Acad. Sci. 2008, 1126, 257–261. [Google Scholar] [CrossRef] [PubMed]
- Fu, M.X.; Requena, J.R.; Jenkins, A.J.; Lyons, T.J.; Baynes, J.W.; Thorpe, S.R. The advanced glycation end product, Nε-(carboxymethyl)lysine, is a product of both lipid peroxidation and glycoxidation reactions. J. Biol. Chem. 1996, 271, 9982–9986. [Google Scholar] [CrossRef] [PubMed]
- Bachmeier, B.E.; Nerlich, A.G.; Rohrbach, H.; Schleicher, E.D.; Friess, U. Maillard products as biomarkers in cancer. Ann. NY Acad. Sci. 2008, 1126, 283–287. [Google Scholar] [CrossRef] [PubMed]
- Ames, J.M. Determination of Nε-(Carboxymethyl)lysine in foods and related systems. Ann. NY Acad. Sci. 2008, 1126, 20–24. [Google Scholar] [CrossRef] [PubMed]
- Oliveira, M.E.C.; Franca, A.S. Microwave heating of foodstuffs. J. Food Eng. 2002, 53, 347–359. [Google Scholar] [CrossRef]
- Pagnotta, M.; Pooley, C.L.F.; Gurland, B.; Choi, M. Microwave activation of the mutarotation of α-D-glucose: An example of an interinsic microwave effect. J. Phys. Org. Chem. 1993, 6, 407–411. [Google Scholar] [CrossRef]
- Bridiau, N.; Sandrine, C.; Thierry, M. Facile synthesis of pseudo-C-glycosyl p-amino-DL-phenylalanine building blocks via Amadori rearrangement. Tetrahedron 2009, 65, 531–535. [Google Scholar] [CrossRef]
- Courel, M.; Ait-ameur, L.; Capuano, E.; Fogliano, V.; Morales, F.J.; Courtois, F.; Birlouez-aragon, I. Effects of formulation and baking conditions on neo-formed contaminants inmodel cookies. Czech J. Food Sci. 2009, 27, 93–95. [Google Scholar] [CrossRef]
- Ameur, L.A.; Mathieu, O.; Lalanne, V.; Trystram, G.; Birlouez-Aragon, I. Comparison of the effects of sucrose and hexose on furfural formation and browning in cookies baked at different temperatures. Food Chem. 2007, 101, 1407–1416. [Google Scholar] [CrossRef]
- Delatour, T.; Hegele, J.; Parisod, V.; Richoz, J.; Maurer, S.; Steven, M.; Buetler, T. Analysis of advanced glycation endproducts in dairy products by isotope dilution liquid chromatography-electrospray tandem mass spectrometry. J. Chromatogr. A 2009, 1216, 2371–2381. [Google Scholar] [CrossRef] [PubMed]
- Fenaille, F.; Parisod, V.; Visani, P.; Populaire, S.; Tabet, J.; Guy, P.A. Modifications of milk constituents during processing: A preliminary benchmarking study. Int. Dairy J. 2006, 16, 728–739. [Google Scholar] [CrossRef]
- Nagai, R.; Deemer, E.K.; Brock, J.W.; Thorpe, S.R.; Baynes, J.W. Effect of glucose concentration on formation of AGEs in erythrocytes in vitro. Ann. NY Acad. Sci. 2005, 1043, 146–150. [Google Scholar] [CrossRef] [PubMed]
- Arribas-Lorenzo, G.; Morales, F.J. Analysis, distribution, and dietary exposure of glyoxal and methylglyoxal in cookies and their relationship with other heat-induced contaminants. J. Agric. Food Chem. 2010, 58, 2966–2972. [Google Scholar] [CrossRef] [PubMed]
- Dunn, J.A.; Ahmed, M.U.; Murtiashaw, M.H.; Richardson, J.M.; Walla, M.D.; Thorpe, S.R.; Baynes, J.W. Reaction of ascorbate with lysine and protein under autoxidizing conditions: Formation of Nε-(carboxymethyl)lysine by reaction between lysine and products of autoxidation of ascorbate. Biochem. J. 1990, 29, 10964–10970. [Google Scholar] [CrossRef]
- Yin, M.C.; Chen, K.C. Nonenzymatic antioxidative and antiglycative effects of oleanolic acid and ursolic acid. J. Agric. Food Chem. 2007, 55, 7177–7181. [Google Scholar] [CrossRef] [PubMed]
- Srey, C.; Hull, G.L.; Connolly, L.; Elliott, C.T.; Del Castillo, M.D.; Ames, J.M. Effect of inhibitor compounds on Nε-(Carboxymethyl)lysine(CML) and Nε-(Carboxyethyl)lysine (CEL) formation in model foods. J. Agric. Food Chem. 2010, 58, 12036–12041. [Google Scholar] [CrossRef] [PubMed]
- Babaei-Jadidi, R.; Karachalias, N.; Ahmed, N.; Battah, S.; Thornalley, P.J. Prevention of incipient diabetic nephropathy by high-dose thiamine and benfotiamine. Diabetes 2003, 52, 2110–2120. [Google Scholar] [CrossRef] [PubMed]
- Rice-Evans, C.A.; Miller, N.J.; Paganga, G. Structure-Antioxidant activity relationships of flavonoids and phenolic acids. Free Radic. Biol. Med. 1996, 20, 933–956. [Google Scholar] [CrossRef]
- Edelstein, D.; Brownlee, M. Mechanistic studies of advanced glycosylation end product inhibition by amino guanidine. Diabetes 1992, 41, 26–29. [Google Scholar] [CrossRef] [PubMed]
- Pashikanti, S.; de Alba, D.R.; Boissonneault, G.A.; Laurean, D.C. Rutin metabolites, novel inhibitors of nonoxidative advanced glycation end products. Free Radic. Biol. Med. 2010, 48, 656–663. [Google Scholar] [CrossRef] [PubMed]
- Cervantes-Lauren, D.; Schramm, D.D.; Jacobson, E.L.; Halaweish, I.; Bruckner, G.G.; Boissonneault, G.A. Inhibition of advanced glycation end product formation on collagen by rutin and its metabolites. J. Nutr. Biochem. 2006, 17, 17531–17540. [Google Scholar] [CrossRef] [PubMed]
- Ahmed, N.; Mirshekar-Syahkal, B.; Kennish, L.; Karachalias, N.; Babaei-Jadidi, R.; Thornalley, P.J. Assay of advanced glycation endproducts in selected beverages and food by liquid chromatography with tandem mass spectrometric detection. Mol. Nutr. Food Res. 2005, 49, 691–699. [Google Scholar] [CrossRef] [PubMed]
- Assar, S.H.; Moloney, C.; Lima, M.; Magee, R.; Jennifer, M.; Ames, J.M. Determination of Nε-(carboxymethyl)lysine in food systems by ultra performance liquid chromatography-mass spectrometry. Amino Acids 2009, 36, 317–326. [Google Scholar] [CrossRef] [PubMed]
Sample Availability: Samples of the compounds of CML are available from the authors. |









| Heating temperature (°C) | Temperature programming |
|---|---|
| 60 | RT→60 °C (5 min), 60 °C (20 min) |
| 80 | RT→80 °C (5 min), 80 °C (20 min) |
| 100 | RT→100 °C (5 min), 100 °C (20 min) |
| 120 | RT→120 °C (5 min), 120 °C (20 min) |
| 140 | RT→140 °C (5 min), 140 °C (20 min) |
| Heating time (min) | Time programming |
|---|---|
| 1 | RT→140 °C (5 min), 140 °C (1 min) |
| 5 | RT→140 °C (5 min), 140 °C (5 min) |
| 10 | RT→140 °C (5 min), 140 °C (10 min) |
| 15 | RT→140 °C (5 min), 140 °C (15 min) |
| 20 | RT→140 °C (5 min), 140 °C (20 min) |
© 2012 by the authors. licensee MDPI, Basel, Switzerland. This article is an open access article distributed under the terms and conditions of the Creative Commons Attribution license (http://creativecommons.org/licenses/by/3.0/).
Share and Cite
Li, L.; Han, L.; Fu, Q.; Li, Y.; Liang, Z.; Su, J.; Li, B. Formation and Inhibition of Nε-(Carboxymethyl)lysine in Saccharide-Lysine Model Systems during Microwave Heating. Molecules 2012, 17, 12758-12770. https://doi.org/10.3390/molecules171112758
Li L, Han L, Fu Q, Li Y, Liang Z, Su J, Li B. Formation and Inhibition of Nε-(Carboxymethyl)lysine in Saccharide-Lysine Model Systems during Microwave Heating. Molecules. 2012; 17(11):12758-12770. https://doi.org/10.3390/molecules171112758
Chicago/Turabian StyleLi, Lin, Lipeng Han, Quanyi Fu, Yuting Li, Zhili Liang, Jianyu Su, and Bing Li. 2012. "Formation and Inhibition of Nε-(Carboxymethyl)lysine in Saccharide-Lysine Model Systems during Microwave Heating" Molecules 17, no. 11: 12758-12770. https://doi.org/10.3390/molecules171112758
APA StyleLi, L., Han, L., Fu, Q., Li, Y., Liang, Z., Su, J., & Li, B. (2012). Formation and Inhibition of Nε-(Carboxymethyl)lysine in Saccharide-Lysine Model Systems during Microwave Heating. Molecules, 17(11), 12758-12770. https://doi.org/10.3390/molecules171112758
