Antiplasmodial Natural Products
Abstract
:1. Introduction
2. Terpenes
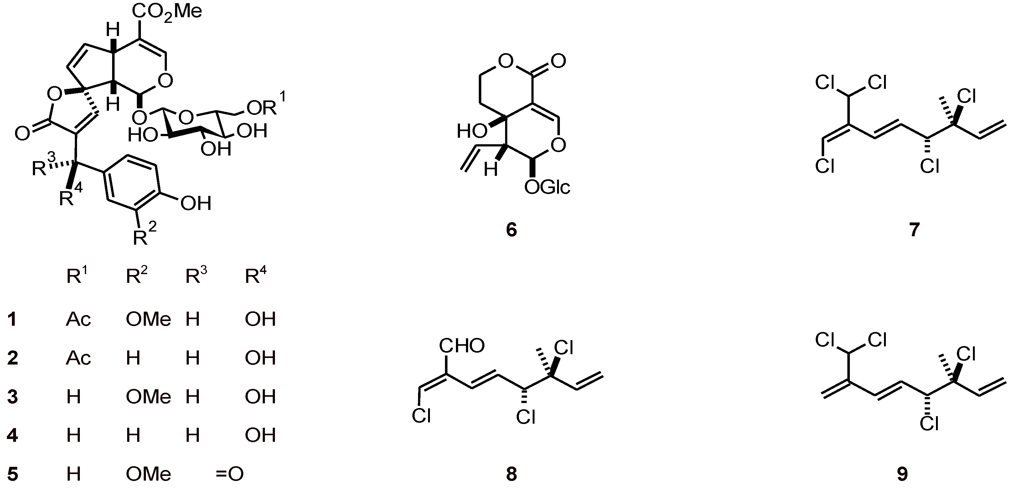
2.1. Iridoids and halogenated monoterpenes

2.2. Sesquiterpenes


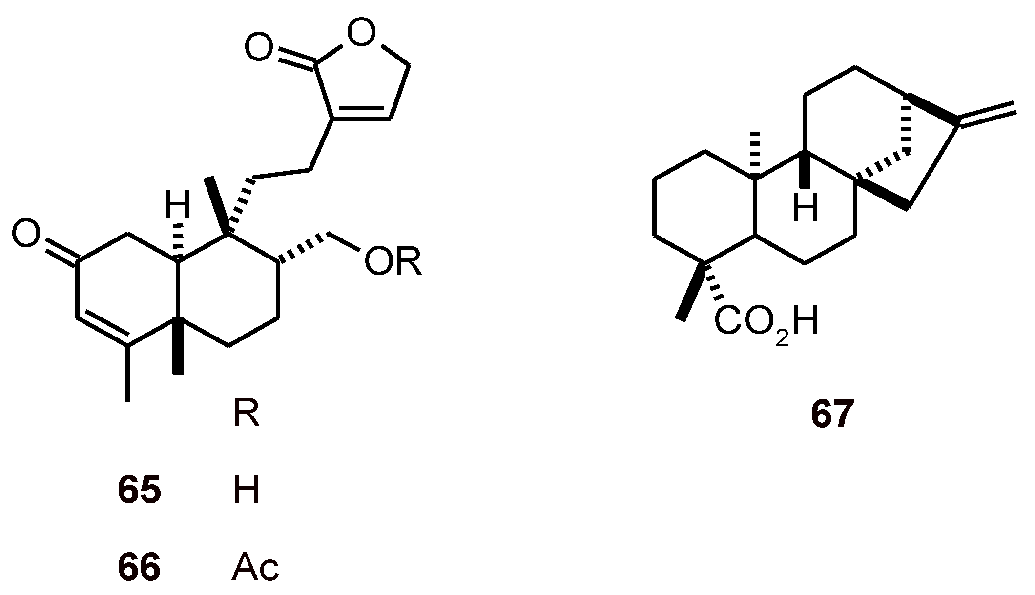
2.3. Diterpenes



2.4. Nitrogenated diterpenes

2.5. Tetranorditerpenes

2.6. Terpenoid benzoquinones and analogues

2.7. Steroids

2.8. Quassinoids

2.9. Limonoids


2.10. Cucurbitacins
2.11. Lanostanes

2.12. Other triterpenes

3. Flavonoids


4. Alkaloids








5. Peptides and Macrocyclic Compounds

6. Phenylalkanoids
6.1. Phenylpropanoids

6.2. Phenylethanoids

6.3. Phenylmethanoids, benzylesters, and phenolics

7. 4-Aryl-3,4-dihydrocoumarins

8. Xanthones, Naphthopyrones, and Analogues Vismiones

9. Anthraquinones and Anthrones

10. Halenaquinone Derivatives

11. Endoperoxides, Peroxides and Other Polyketides from Sponges


12. Acetylenes

13. β-Resorcylic Acid Lactones

14. Depsidones

15. Benzophenones

16. Miscellaneous Compounds
16.1. Diterpene-benzoate macrolides and analogues

16.2. Strobilurins

16.3. Other compounds



4. Conclusions
Acknowledgements
References
- Watts, K.R.; Tenney, K.; Crews, P. The structural diversity and promise of antiparasitic marine invertebrate-derived small molecules. Curr. Opin. Biotechnol. 2010, 21, 808–818. [Google Scholar] [CrossRef]
- Singh, B.; Sung, L.K.; Matusop, A.; Radhakrishnan, A.; Shamsul, S.S.G.; Cox-Singh, J.; Thomas, A.; Conway, D.J. A large focus of naturally acquired Plasmodium knowlesi infections in human beings. Lancet 2004, 363, 1017–1024. [Google Scholar]
- Vogel, G. Infectious disease - New map illustrates risk from the 'other' malaria. Science 2010, 329, 618–618. [Google Scholar] [CrossRef]
- Fidock, D.A. Drug discovery - Priming the antimalarial pipeline. Nature 2010, 465, 297–298. [Google Scholar]
- Mendis, K.; Rietveld, A.; Warsame, M.; Bosman, A.; Greenwood, B.; Wernsdorfer, W.H. From malaria control to eradication: The WHO perspective. Trop. Med. Intern. Health 2009, 14, 802–809. [Google Scholar] [CrossRef]
- Wells, T.N.C.; Alonso, P.L.; Gutteridge, W.E. New medicines to improve control and contribute to the eradication of malaria. Nat. Rev. Drug Discov. 2009, 8, 879–891. [Google Scholar]
- Gamo, F.J.; Sanz, L.M.; Vidal, J.; de Cozar, C.; Alvarez, E.; Lavandera, J.L.; Vanderwall, D.E.; Green, D.V.S.; Kumar, V.; Hasan, S.; Brown, J.R.; Peishoff, C.E.; Cardon, L.R.; Garcia-Bustos, J.F. Thousands of chemical starting points for antimalarial lead identification. Nature 2010, 465, 305–310. [Google Scholar]
- Camargo, L.M.; de Oliveira, S.; Basano, S.; Garcia, C.R. Antimalarials and the fight against malaria in Brazil. Ther. Clin. Risk Manag. 2009, 5, 311–317. [Google Scholar]
- Fattorusso, E.; Taglialatela-Scafati, O. Marine Antimalarials. Mar. Drugs 2009, 7, 130–152. [Google Scholar] [CrossRef]
- Bero, J.; Frédérich, M.; Quetin-Leclercq, J. Antimalarial compounds isolated from plants used in traditional medicine. J. Pharm. Pharmacol. 2009, 61, 1401–1433. [Google Scholar]
- Magadula, J.J.; Erasto, P. Bioactive natural products derived from the East African flora. Nat. Prod. Rep. 2009, 26, 1535–1554. [Google Scholar] [CrossRef]
- Batista, R.; Silva, A.D.J.; de Oliveira, A.B. Plant-derived antimalarial agents: new leads and efficient phytomedicines. Part II. Non-alkaloidal natural products. Molecules 2009, 14, 3037–3072. [Google Scholar] [CrossRef]
- Sivonen, K.; Leikoski, N.; Fewer, D.P.; Jokela, J. Cyanobactins-ribosomal cyclic peptides produced by cyanobacteria. Appl. Microbiol. Biotechnol. 2010, 86, 1213–1225. [Google Scholar] [CrossRef]
- Mariath, I.R.; Falcão, H.D.; Barbosa-Filho, J.M.; de Sousa, L.C.F.; Tomaz, A.C.A.; Batista, L.M.; Diniz, M.F.F.M.; Athayde, P.F.; Tavares, J.F.; Silva, M.S.; da Cunha, E.V.L. Plants of the American continent with antimalarial activity. Rev. Bras. Farmacogn. 2009, 19, 158–192. [Google Scholar] [CrossRef]
- Gademann, K.; Kobylinska, J. Antimalarial natural products of marine and freshwater origin. Chem. Rec. 2009, 9, 187–198. [Google Scholar] [CrossRef]
- Wright, C.W. Recent developments in research on terrestrial plants used for the treatment of malaria. Nat. Prod. Rep. 2010, 27, 961–968. [Google Scholar] [CrossRef]
- Krettli, A.U. Antimalarial drug discovery: screening of Brazilian medicinal plants and purified compounds. Expert Opin. Drug Discov. 2009, 4, 95–108. [Google Scholar] [CrossRef]
- Kaur, K.; Jain, M.; Kaur, T.; Jain, R. Antimalarials from nature. Bioorg. Med. Chem. 2009, 17, 3229–3256. [Google Scholar] [CrossRef]
- Ikegami-Kawai, M.; Arai, C.; Ogawa, Y.; Yanoshita, R.; Ihara, M. Selective accumulation of a novel antimalarial rhodacyanine derivative, SSJ-127, in an organelle of Plasmodium berghei. Bioorg. Med. Chem. 2010, 18, 7804–7808. [Google Scholar] [CrossRef]
- Corbett, Y.; Herrera, L.; Gonzalez, J.; Cubilla, L.; Capson, T.L.; Coley, P.D.; Kursar, T.A.; Romero, L.I.; Ortega-Barria, E. A novel DNA-based microfluorimetric method to evaluate antimalarial drug activity. Am. J. Trop. Med. Hyg. 2004, 70, 119–124. [Google Scholar]
- Ibáñez-Calero, S.L.; Jullian, V.; Sauvain, M. A new anthraquinone isolated from Rumex obtusifolius. Rev. Boliv. Quím. 2009, 26, 49–56. [Google Scholar]
- Longeon, A.; Copp, B.R.; Roué, M.; Dubois, J.; Valentin, A.; Petek, S.; Debitus, C.; Bourguet-Kondracki, M.L. New bioactive halenaquinone derivatives from South Pacific marine sponges of the genus Xestospongia. Bioorg. Med. Chem. 2010, 18, 6006–6011. [Google Scholar]
- Pabón, A.; Deharo, E.; Zuluaga, L.; Maya, J.D.; Saez, J.; Blair, S. Plasmodium falciparum: Effect of Solanum nudum steroids on thiol contents and β-hematin formation in parasitized erythrocytes. Exp. Parasitol. 2009, 122, 273–279. [Google Scholar] [CrossRef]
- Krettli, A.U.; Adebayo, J.O.; Krettli, L.G. Testing of natural products and synthetic molecules aiming at new antimalarials. Current Drug Targets 2009, 10, 261–270. [Google Scholar] [CrossRef]
- Wein, S.; Maynadier, M.; Van Ba, C.T.; Cerdan, R.; Peyrottes, S.; Fraisse, L.; Vial, H. Reliability of antimalarial sensitivity tests depends on drug mechanisms of action. J. Clin. Microbiol. 2010, 48, 1651–1660. [Google Scholar]
- Tamura, S.; Kubata, B.K.; Syamsurizal; Itagaki, S.; Horii, T.; Taba, M.K.; Murakami, N. New anti-malarial phenylpropanoid conjugated iridoids from Morinda morindoides. Bioorg. Med. Chem. Lett. 2010, 20, 1520–1523. [Google Scholar] [CrossRef]
- Soni, S.; Gupta, S. In vitro anti-plasmodial activity of Enicostemma littorale. Am. J. Infect. Dis. 2009, 5, 259–262. [Google Scholar] [CrossRef]
- Afolayan, A.F.; Mann, M.G.A.; Lategan, C.A.; Smith, P.J.; Bolton, J.J.; Beukes, D.R. Antiplasmodial halogenated monoterpenes from the marine red alga Plocamium cornutum. Phytochemistry 2009, 70, 597–600. [Google Scholar] [CrossRef]
- Isaka, M.; Srisanoh, U.; Veeranondha, S.; Choowong, W.; Lumyong, S. Cytotoxic eremophilane sesquiterpenoids from the saprobic fungus Berkleasmium nigroapicale BCC 8220. Tetrahedron 2009, 65, 8808–8815. [Google Scholar] [CrossRef]
- Pedersen, M.M.; Chukwujekwu, J.C.; Lategan, C.A.; van Staden, J.; Smith, P.J.; Staerk, D. Antimalarial sesquiterpene lactones from Distephanus angulifolius. Phytochemistry 2009, 70, 601–607. [Google Scholar] [CrossRef]
- Efange, S.M.N.; Brun, R.; Wittlin, S.; Connolly, J.D.; Hoye, T.R.; McAkam, T.; Makolo, F.L.; Mbah, J.A.; Nelson, D.P.; Nyongbela, K.D.; Wirmum, C.K. Okundoperoxide, a bicyclic cyclofarnesylsesquiterpene endoperoxide from Scleria striatinux with antiplasmodial activity. J. Nat. Prod. 2009, 72, 280–283. [Google Scholar] [CrossRef]
- Kim, J.J.; Chung, I.M.; Jung, J.C.; Kim, M.Y.; Moon, H.I. In vivo antiplasmodial activity of 11(13)-dehydroivaxillin from Carpesium ceruum. J. Enzyme Inhib. Med. Chem. 2009, 24, 247–250. [Google Scholar] [CrossRef]
- Schmidt, T.J.; Nour, A.M.M.; Khalid, S.A.; Kaiser, M.; Brun, R. Quantitative structure- antiprotozoal activity relationships of sesquiterpene lactones. Molecules 2009, 14, 2062–2076. [Google Scholar] [CrossRef]
- Rodríguez, I.I.; Rodríguez, A.D.; Zhao, H. Aberrarone: A gorgonian-derived diterpene from Pseudopterogorgia elisabethae. J. Org. Chem. 2009, 74, 7581–7584. [Google Scholar] [CrossRef]
- Wei, X.; Rodríguez, A.D.; Baran, P.; Raptis, R.G. Dolabellane-type diterpenoids with antiprotozoan activity from a Southwestern Caribbean gorgonian octocoral of the genus Eunicea. J. Nat. Prod. 2010, 73, 925–934. [Google Scholar] [CrossRef]
- Sathe, M.; Ghorpade, R.; Srivastava, A.K.; Kaushik, M.P. In vivo antimalarial evaluation of gomphostenins. J. Ethnopharmacol. 2010, 130, 171–174. [Google Scholar] [CrossRef]
- Sathe, M.; Kaushik, M.P. Gomphostenins: Two new antimalarial compounds from the leaves of Gomphostemma niveum. Bioorg. Med. Chem. Lett. 2010, 20, 1312–1314. [Google Scholar] [CrossRef]
- Mthembu, X.S.; Van Heerden, F.R.; Fouché, G. Antimalarial compounds from Schefflera umbellifera. S. Afr. J. Bot. 2010, 76, 82–85. [Google Scholar] [CrossRef]
- Wattanapiromsakul, C.; Chanthathamrongsiri, N.; Bussarawit, S.; Yuenyongsawad, S.; Plubrukarn, A.; Suwanborirux, K. 8-Isocyanoamphilecta-11(20), 15-diene, a new antimalarial isonitrile diterpene from the sponge Ciocalapata sp. Can. J. Chem. 2009, 87, 612–618. [Google Scholar] [CrossRef]
- Wright, A.D.; Lang-Unnasch, N. Diterpene formamides from the tropical marine sponge Cymbastela hooperi and their antimalarial activity in vitro. J. Nat. Prod. 2009, 72, 492–495. [Google Scholar] [CrossRef]
- Herath, H.M.T.B.; Herath, W.H.M.W.; Carvalho, P.; Khan, S.I.; Tekwani, B.L.; Duke, S.O.; Tomaso-Peterson, M.; Nanayakkara, N.P.D. Biologically active tetranorditerpenoids from the fungus Sclerotinia homoeocarpa causal agent of dollar spot in turfgrass. J. Nat. Prod. 2009, 72, 2091–2097. [Google Scholar] [CrossRef]
- Dettrakul, S.; Surerum, S.; Rajviroongit, S.; Kittakoop, P. Biomimetic transformation and biological activities of globiferin, a terpenoid benzoquinone from Cordia globifera. J. Nat. Prod. 2009, 72, 861–865. [Google Scholar] [CrossRef]
- Rao, T.S.P.; Sarma, N.S.; Murthy, Y.L.N.; Kantamreddi, V.; Wright, C.W.; Parameswaran, P.S. New polyhydroxy sterols from the marine sponge Callyspongia fibrosa (Ridley & Dendly). Tetrahedron Lett. 2010, 51, 3583–3586. [Google Scholar]
- Oshimi, S.; Takasaki, A.; Hirasawa, Y.; Hosoya, T.; Awang, K.; Hadi, A.H.A.; Ekasari, W.; Widyawaruyanti, A.; Morita, H. Delaumonones A and B, new antiplasmodial quassinoids from Laumoniera bruceadelpha. Chem. Pharm. Bull. 2009, 57, 867–869. [Google Scholar] [CrossRef]
- Houël, E.; Bertani, S.; Bourdy, G.; Deharo, E.; Jullian, V.; Valentin, A.; Chevalley, S.; Stien, D. Quassinoid constituents of Quassia amara L. leaf herbal tea. Impact on its antimalarial activity and cytotoxicity. J. Ethnopharmacol. 2009, 126, 114–118. [Google Scholar] [CrossRef]
- Cachet, N.; Hoakwie, F.; Bertani, S.; Bourdy, G.; Deharo, E.; Stien, D.; Houel, E.; Gornitzka, H.; Fillaux, J.; Chevalley, S.; Valentin, A.; Jullian, V. Antimalarial activity of simalikalactone E, a new quassinoid from Quassia amara L. (Simaroubaceae). Antimicrob. Agents Chemother. 2009, 53, 4393–4398. [Google Scholar] [CrossRef]
- Chianese, G.; Yerbanga, S.R.; Lucantoni, L.; Habluetzel, A.; Basilico, N.; Taramelli, D.; Fattorusso, E.; Taglialatela-Scafati, O. Antiplasmodial triterpenoids from the fruits of Neem, Azadirachta indica. J. Nat. Prod. 2010, 73, 1448–1452. [Google Scholar] [CrossRef]
- Ramalhete, C.; Lopes, D.; Mulhovo, S.; Molnár, J.; Rosário, V.E.; Ferreira, M.J.U. New antimalarials with a triterpenic scaffold from Momordica balsamina. Bioorg. Med. Chem. 2010, 18, 5254–5260. [Google Scholar] [CrossRef]
- Adams, M.; Christen, M.; Plitzko, I.; Zimmermann, S.; Brun, R.; Kaiser, M.; Hamburger, M. Antiplasmodial lanostanes from the Ganoderma lucidum mushroom. J. Nat. Prod. 2010, 73, 897–900. [Google Scholar] [CrossRef]
- Elfita, E.; Muharni, M.; Latief, M.; Darwati, D.; Widiyantoro, A.; Supriyatna, S.; Bahti, H.H.; Dachriyanus, D.; Cos, P.; Maes, L.; Foubert, K.; Apers, S.; Pieters, L. Antiplasmodial and other constituents from four Indonesian Garcinia spp. Phytochemistry 2009, 70, 907–912. [Google Scholar] [CrossRef]
- Isaka, M.; Yangchum, A.; Rachtawee, P.; Komwijit, S.; Lutthisungneon, A. Hopane-type triterpenes and binaphthopyrones from the scale insect pathogenic fungus Aschersonia paraphysata BCC 11964. J. Nat. Prod. 2010, 73, 688–692. [Google Scholar] [CrossRef]
- Maregesi, S.M.; Hermans, N.; Dhooghe, L.; Cimanga, K.; Ferreira, D.; Pannecouque, C.; Vanden Berghe, D.A.; Cos, P.; Maes, L.; Vlietinck, A.J.; Apers, S.; Pieters, L. Phytochemical and biological investigations of Elaeodendron schlechteranum. J. Ethnopharmacol. 2010, 129, 319–326. [Google Scholar] [CrossRef]
- Sá, M.S. de; Costa, J.F.O.; Krettli, A.U.; Zalis, M.G.; Maia, G.L. de A.; Sette, I.M.F.; Câmara, C. de A.; Barbosa-Filho, J.M.; Giulietti-Harley, A.M.; dos Santos, R.R.; Soares, M.B.P. Antimalarial activity of betulinic acid and derivatives in vitro against Plasmodium falciparum and in vivo in P. berghei-infected mice. Parasitol. Res. 2009, 105, 275–279. [Google Scholar] [CrossRef]
- Santos, D.A.P.; Braga, P.A.C.; Silva, M.F.G.F.; Fernandes, J.B.; Vieira, P.C.; Magalhães, A.F.; Magalhães, E.G.; Marsaioli, A.J.; Moraes, V.R.S.; Rattray, L.; Croft, S.L. Anti-African trypanocidal and antimalarial activity of natural flavonoids, dibenzoylmethanes and synthetic analogues. J. Pharm. Pharmacol. 2009, 61, 257–266. [Google Scholar]
- Agnihotri, V.K.; ElSohly, H.N.; Smillie, T.J.; Khan, I.A.; Walker, L.A. Constituents of Leonotis leonurus flowering tops. Phytochemistry Lett. 2009, 2, 103–105. [Google Scholar]
- Adams, M.; Plitzko, I.; Kaiser, M.; Brun, R.; Hamburger, M. HPLC-profiling for antiplasmodial compounds 3-Methoxycarpachromene from Pistacia atlantica. Phytochemistry Lett. 2009, 2, 159–162. [Google Scholar]
- Songsiang, U.; Wanich, S.; Pitchuanchom, S.; Netsopa, S.; Uanporn, K.; Yenjai, C. Bioactive constituents from the stems of Dalbergia parviflora. Fitoterapia 2009, 80, 427–431. [Google Scholar] [CrossRef]
- Froelich, S.; Schubert, C.; Jenett-Siems, K. Antimalarials from prenylated chalcone derivatives of hops. In Beer in Health and Disease Prevention; Preedy V., R., Ed.; Elsevier/Academic Press: Amsterdam, Netherlands, 2009; pp. 747–752. [Google Scholar]
- Cimanga, R.K.; Tona, G.L.; Kambu, O.K.; Mesia, G.K.; Muyembe, J.J.T.; Apers, S.; Totte, J.; Pieters, L.; Vlietinck, A.J. Antimalarial, antiamoebic and cytotoxic activities of some extracts and isolated constituents from the leaves of Morinda morindoides (Baker) Milne-Redh. (Rubiaceae). Recent Prog. Med. Plants 2009, 25, 225–242. [Google Scholar]
- Dhooghe, L.; Maregesi, S.; Mincheva, I.; Ferreira, D.; Marais, J.P.J.; Lemière, F.; Matheeussen, A.; Cos, P.; Maes, L.; Vlietinck, A.; Apers, S.; Pieters, L. Antiplasmodial activity of (I-3,II-3)-biflavonoids and other constituents from Ormocarpum kirkii. Phytochemistry 2010, 71, 785–791. [Google Scholar] [CrossRef]
- Ekasari, W.; Widyawaruyanti, A.; Zaini, N.C.; Syafruddin, D.; Honda, T.; Morita, H. Antimalarial activity of Cassiarin a from the leaves of Cassia siamea. Heterocycles 2009, 78, 1831–1836. [Google Scholar] [CrossRef]
- Oshimi, S.; Deguchi, J.; Hirasawa, Y.; Ekasari, W.; Widyawaruyanti, A.; Wahyuni, T.S.; Zaini, N.C.; Shirota, O.; Morita, H. Cassiarins C-E, antiplasmodial alkaloids from the flowers of Cassia siamea. J. Nat. Prod. 2009, 72, 1899–1901. [Google Scholar] [CrossRef]
- Tchinda, A.T.; Fuendjiep, V.; Sajjad, A.; Matchawe, C.; Wafo, P.; Khan, S.; Tane, P.; Choudhary, M.I. Bioactive compounds from the fruits of Zanthoxylum leprieurii. Pharmacologyonline 2009, 1, 406–415. [Google Scholar]
- Fernandez, L.S.; Buchanan, M.S.; Carroll, A.R.; Feng, Y.J.; Quinn, R.J.; Avery, V.M. Flinderoles A-C: Antimalarial bis-indole alkaloids from Flindersia species. Org. Lett. 2009, 11, 329–332. [Google Scholar] [CrossRef]
- Fernandez, L.S.; Sykes, M.L.; Andrews, K.T.; Avery, V.M. Antiparasitic activity of alkaloids from plant species of Papua New Guinea and Australia. Int. J. Antimicrob. Agents 2010, 36, 275–279. [Google Scholar] [CrossRef]
- Lopes, S.C.P.; Blanco, Y.C.; Justo, G.Z.; Nogueira, P.A.; Rodrigues, F.L.S.; Goelnitz, U.; Wunderlich, G.; Facchini, G.; Brocchi, M.; Duran, N.; Costa, F.T.M. Violacein extracted from Chromobacterium violaceum inhibits Plasmodium growth in vitro and in vivo. Antimicrob. Agents Chemother. 2009, 53, 2149–2152. [Google Scholar]
- Buchanan, M.S.; Davis, R.A.; Duffy, S.; Avery, V.M.; Quinn, R.J. Antimalarial benzylisoquinoline alkaloid from the rainforest tree Doryphora sassafras. J. Nat. Prod. 2009, 72, 1541–1543. [Google Scholar] [CrossRef]
- Wangchuk, P.; Bremner, J.B.; Samten; Rattanajak, R.; Kamchonwongpaisan, S. Antiplasmodial agents from the Bhutanese medicinal plant Corydalis calliantha. Phytother. Res. 2010, 24, 481–485. [Google Scholar] [CrossRef]
- Thongthoom, T.; Songsiang, U.; Phaosiri, C.; Yenjai, C. Biological activity of chemical constituents from Clausena harmandiana. Arch. Pharmacal. Res. 2010, 33, 675–680. [Google Scholar] [CrossRef]
- Wansi, J.D.; Hussain, H.; Tcho, A.T.; Kouam, S.F.; Specht, S.; Sarite, S.R.; Hoerauf, A.; Krohn, K. Antiplasmodial activities of furoquinoline alkaloids from Teclea afzelii. Phytother. Res. 2010, 24, 775–777. [Google Scholar]
- Mueller, D.; Davis, R.A.; Duffy, S.; Avery, V.M.; Camp, D.; Quinn, R.J. Antimalarial activity of azafluorenone alkaloids from the Australian tree Mitrephora diversifolia. J. Nat. Prod. 2009, 72, 1538–1540. [Google Scholar] [CrossRef]
- Laville, R.; Thomas, O.P.; Berrué, F.; Marquez, D.; Vacelet, J.; Amade, P. Bioactive guanidine alkaloids from two Caribbean marine sponges. J. Nat. Prod. 2009, 72, 1589–1594. [Google Scholar] [CrossRef]
- Yamada, M.; Takahashi, Y.; Kubota, T.; Fromont, J.; Ishiyama, A.; Otoguro, K.; Yamada, H.; Omura, S.; Kobayashi, J. Zamamidine C, 3,4-dihydro-6-hydroxy-10,11-epoxymanzamine A, and 3,4-dihydromanzamine J N-oxide, new manzamine alkaloids from sponge Amphimedon sp. Tetrahedron 2009, 65, 2313–2317. [Google Scholar] [CrossRef]
- Samoylenko, V.; Khan, S.I.; Jacob, M.R.; Tekwani, B.L.; Walker, L.A.; Hufford, C.D.; Muhammad, I. Muhammad, I. Bioactive (+)-manzamine A and (+)-8-hydroxymanzamine A tertiary bases and salts from Acanthostrongylophora ingens and their preparations. Nat. Prod. Commun. 2009, 4, 185–192. [Google Scholar]
- Wangchuk, P.; Bremner, J.B.; Samten; Skelton, B.W.; White, A.H.; Rattanajak, R.; Kamchonwongpaisan, S. Antiplasmodial activity of atisinium chloride from the Bhutanese medicinal plant, Aconitum orochryseum. J. Ethnopharmacol. 2010, 130, 559–562. [Google Scholar]
- Chen, Y.; Li, S.Y.; Sun, F.; Han, H.; Zhang, X.; Fan, Y.Y.; Tai, G.H.; Zhou, Y.F. In vivo antimalarial activities of glycoalkaloids isolated from Solanaceae plants. Pharm. Biol. 2010, 48, 1018–1024. [Google Scholar] [CrossRef]
- Kumarihamy, M.; Fronczek, F.R.; Ferreira, D.; Jacob, M.; Khan, S.I.; Nanayakkara, N.P.D. Bioactive 1,4-dihydroxy-5-phenyl-2-pyridinone alkaloids from Septoria pistaciarum. J. Nat. Prod. 2010, 73, 1250–1253. [Google Scholar] [CrossRef]
- Na, M.; Ding, Y.; Wang, B.; Tekwani, B.L.; Schinazi, R.F.; Franzblau, S.; Kelly, M.; Stone, R.; Li, X.-C.; Ferreira, D.; Hamann, M.T. Anti-infective discorhabdins from a deep-water Alaskan sponge of the genus Latrunculia. J. Nat. Prod. 2010, 73, 383–387. [Google Scholar] [CrossRef]
- Yang, X.Z.; Davis, R.A.; Buchanan, M.S.; Duffy, S.; Avery, V.M.; Camp, D.; Quinn, R.J. Antimalarial bromotyrosine derivatives from the Australian marine sponge Hyattella sp. J. Nat. Prod. 2010, 73, 985–987. [Google Scholar] [CrossRef]
- Davis, R.A.; Carroll, A.R.; Andrews, K.T.; Boyle, G.M.; Tran, T.L.; Healy, P.C.; Kalaitzis, J.A.; Shivas, R.G. Pestalactams A-C: novel caprolactams from the endophytic fungus Pestalotiopsis sp. Org. Biomol. Chem. 2010, 8, 1785–1790. [Google Scholar] [CrossRef]
- Davis, R.A.; Duffy, S.; Avery, V.M.; Camp, D.; Hooper, J.N.A.; Quinn, R.J. (+)-7-Bromotrypargine: an antimalarial β-carboline from the Australian marine sponge Ancorina sp. Tetrahedron Lett. 2010, 51, 583–585. [Google Scholar] [CrossRef]
- Scala, F.; Fattorusso, E.; Menna, M.; Taglialatela-Scafati, O.; Tierney, M.; Kaiser, M.; Tasdemir, D. Bromopyrrole alkaloids as lead compounds against protozoan parasites. Mar. Drugs 2010, 8, 2162–2174. [Google Scholar] [CrossRef]
- Linington, R.G.; Clark, B.R.; Trimble, E.E.; Almanza, A.; Ureña, L.D.; Kyle, D.E.; Gerwick, W.H. Antimalarial peptides from marine cyanobacteria: Isolation and structural elucidation of gallinamide A. J. Nat. Prod. 2009, 72, 14–17. [Google Scholar] [CrossRef]
- Guerrant, W.; Mwakwari, S.C.; Chen, P.C.; Khan, S.I.; Tekwani, B.L.; Oyelere, A.K. A structure-activity relationship study of the antimalarial and antileishmanial activities of nonpeptide macrocyclic histone deacetylase inhibitors. ChemMedChem 2010, 5, 1232–1235. [Google Scholar] [CrossRef]
- Haritakun, R.; Rachtawee, P.; Chanthaket, R.; Boonyuen, N.; Isaka, M. Butyrolactones from the fungus Aspergillus terreus BCC 4651. Chem. Pharm. Bull. 2010, 58, 1545–1548. [Google Scholar] [CrossRef]
- Lanfranchi, D.A.; Laouer, H.; El Kolli, M.; Prado, S.; Maulay-Bailly, C.; Baldovini, N. Bioactive phenylpropanoids from Daucus crinitus Desf. from Algeria. J. Agric. Food Chem. 2010, 58, 2174–2179. [Google Scholar]
- Gachet, M.S.; Kunert, O.; Kaiser, M.; Brun, R.; Muñoz, R.A.; Bauer, R.; Schühly, W. Jacaranone-derived glucosidic esters from Jacaranda glabra and their activity against Plasmodium falciparum. J. Nat. Prod. 2010, 73, 553–556. [Google Scholar] [CrossRef]
- Kaou, A.M.; Mahiou-Leddet, V.; Canlet, C.; Debrauwer, L.; Hutter, S.; Laget, M.; Faure, R.; Azas, N.; Ollivier, E. Antimalarial compounds from the aerial parts of Flacourtia indica (Flacourtiaceae). J. Ethnopharmacol. 2010, 130, 272–274. [Google Scholar] [CrossRef]
- Tangmouo, J.G.; Ho, R.; Matheeussen, A.; Lannang, A.M.; Komguem, J.; Messi, B.B.; Maes, L.; Hostettmann, K. Antimalarial activity of extract and norbergenin derivatives from the stem bark of Diospyros sanza-minika A. Chevalier (Ebenaceae). Phytother. Res. 2010, 24, 1676–1679. [Google Scholar] [CrossRef]
- Dhooghe, L.; Maregesi, S.; Maes, L.; Cos, P.; Apers, S.; Vlietinck, A.; Pieters, L. Bioassay guided isolation of antiplasmodial constituents from Ormocarpum kirkii. Planta Med. 2009, 75, 904–904. [Google Scholar]
- Laphookhieo, S.; Maneerat, W.; Koysomboon, S. Antimalarial and cytotoxic phenolic compounds from Cratoxylum maingayi and Cratoxylum cochinchinense. Molecules 2009, 14, 1389–1395. [Google Scholar] [CrossRef]
- Hou, Y.; Cao, S.; Brodie, P.J.; Callmander, M.W.; Ratovoson, F.; Rakotobe, E.A.; Rasamison, V.E.; Ratsimbason, M.; Alumasa, J.N.; Roepe, P.D.; Kingston, D.G.I. Antiproliferative and antimalarial anthraquinones of Scutia myrtina from the Madagascar forest. Bioorg. Med. Chem. 2009, 17, 2871–2876. [Google Scholar] [CrossRef]
- Fattorusso, C.; Persico, M.; Calcinai, B.; Cerrano, C.; Parapini, S.; Taramelli, D.; Novellino, E.; Romano, A.; Scala, F.; Fattorusso, E.; Taglialatela-Scafati, O. Manadoperoxides A-D from the Indonesian sponge Plakortis cfr. simplex. Further insights on the structure-activity relationships of simple 1,2-dioxane antimalarials. J. Nat. Prod. 2010, 73, 1138–1145. [Google Scholar] [CrossRef]
- Mohammed, R.; Peng, J.; Kelly, M.; Yousaf, M.; Winn, E.; Odde, S.; Bie, Z.; Xie, A.; Doerksen, R.J.; Hamann, M.T. Polyketide-peroxides from a species of Jamaican Plakortis (Porifera: Demospongiae). Aust. J. Chem. 2010, 63, 877–885. [Google Scholar] [CrossRef]
- Jiménez-Romero, C.; Ortiz, I.; Vicente, J.; Vera, B.; Rodríguez, A.D.; Nam, S.; Jove, R. Bioactive cycloperoxides isolated from the Puerto Rican sponge Plakortis halichondrioides. J. Nat. Prod. 2010, 73, 1694–1700. [Google Scholar] [CrossRef]
- Ueoka, R.; Nakao, Y.; Kawatsu, S.; Yaegashi, J.; Matsumoto, Y.; Matsunaga, S.; Furihata, K.; van Soest, R.W.M.; Fusetani, N. Gracilioethers A−C, antimalarial metabolites from the marine sponge Agelas gracilis. J. Org. Chem. 2009, 74, 4203–4207. [Google Scholar] [CrossRef]
- Gutiérrez, M.; Tidgewell, K.; Capson, T.L.; Engene, N.; Almanza, A.; Schemies, J.; Jung, M.; Gerwick, W.H. Malyngolide dimer, a bioactive symmetric cyclodepside from the Panamanian marine cyanobacterium Lyngbya majuscula. J. Nat. Prod. 2010, 73, 709–711. [Google Scholar] [CrossRef]
- Kumari, P.; Misra, K.; Sisodia, B.S.; Faridi, U.; Srivastava, S.; Luqman, S.; Darokar, M.P.; Negi, A.S.; Gupta, M.M.; Singh, S.C.; Kumar, J.K. A promising anticancer and antimalarial component from the leaves of Bidens pilosa. Planta Med. 2009, 75, 59–61. [Google Scholar] [CrossRef]
- Tobinaga, S.; Sharma, M.K.; Aalbersberg, W.G.L.; Watanabe, K.; Iguchi, K.; Narui, K.; Sasatsu, M.; Waki, S. Isolation and identification of a potent antimalarial and antibacterial polyacetylene from Bidens pilosa. Planta Med. 2009, 75, 624–628. [Google Scholar] [CrossRef]
- Gupta, P.; Vasudeva, N. In vitro antiplasmodial and antimicrobial potential of Tagetes erecta roots. Pharm. Biol. 2010, 48, 1218–1223. [Google Scholar] [CrossRef]
- Xu, L.; He, Z.; Xue, J.; Chen, X.; Wei, X. Resorcylic acid lactones from a Paecilomyces fungus. J. Nat. Prod. 2010, 73, 885–889. [Google Scholar] [CrossRef]
- Khumkomkhet, P.; Kanokmedhakul, S.; Kanokmedhakul, K.; Hahnvajanawong, C.; Soytong, K. Antimalarial and cytotoxic depsidones from the fungus Chaetomium brasiliense. J. Nat. Prod. 2009, 72, 1487–1491. [Google Scholar] [CrossRef]
- Marti, G.; Eparvier, V.; Moretti, C.; Susplugas, S.; Prado, S.; Grellier, P.; Retailleau, P.; Guéritte, F.; Litaudon, M. Antiplasmodial benzophenones from the trunk latex of Moronobea coccinea (Clusiaceae). Phytochemistry 2009, 70, 75–85. [Google Scholar]
- Marti, G.; Eparvier, V.; Moretti, C.; Prado, S.; Grellier, P.; Hue, N.; Thoison, O.; Delpech, B.; Guéritte, F.; Litaudon, M. Antiplasmodial benzophenone derivatives from the root barks of Symphonia globulifera (Clusiaceae). Phytochemistry 2010, 71, 964–974. [Google Scholar] [CrossRef]
- Lane, A.L.; Stout, E.P.; Lin, A.S.; Prudhomme, J.; Le Roch, K.; Fairchild, C.R.; Franzblau, S.G.; Hay, M.E.; Aalbersberg, W.; Kubanek, J. Antimalarial bromophycolides J-Q from the Fijian red alga Callophycus serratus. J. Org. Chem. 2009, 74, 2736–2742. [Google Scholar]
- Kornsakulkarn, J.; Thongpanchang, C.; Chainoy, R.; Choowong, W.; Nithithanasilp, S.; Thongpanchang, T. Bioactive metabolites from cultures of basidiomycete Favolaschia tonkinensis. J. Nat. Prod. 2010, 73, 759–762. [Google Scholar] [CrossRef]
- Bunyapaiboonsri, T.; Yoiprommarat, S.; Intereya, K.; Rachtawee, P.; Hywel-Jones, N.L.; Isaka, M. Isariotins E and F, spirocyclic and bicyclic hemiacetals from the entomopathogenic fungus Isaria tenuipes BCC 12625. J. Nat. Prod. 2009, 72, 756–759. [Google Scholar] [CrossRef]
- Lebouvier, N.; Jullian, V.; Desvignes, I.; Maurel, S.; Parenty, A.; Dorin-Semblat, D.; Doerig, C.; Sauvain, M.; Laurent, D. Antiplasmodial activities of homogentisic acid derivative protein kinase inhibitors isolated from a Vanuatu marine sponge Pseudoceratina sp. Mar. Drugs 2009, 7, 640–653. [Google Scholar] [CrossRef]
- Moosophon, P.; Kanokmedhakul, S.; Kanokmedhakul, K.; Soytong, K. Prenylxanthones and a bicyclo [3.3.1]nona-2,6-diene derivative from the fungus Emericella rugulosa. J. Nat. Prod. 2009, 72, 1442–1446. [Google Scholar] [CrossRef]
- Chung, I.M.; Seo, S.H.; Kang, E.Y.; Park, W.H.; Moon, H.I. Anti-malarial activity of 6-(8'Z-pentadecenyl)-salicylic acid from Viola websteri in mice. Malar. J. 2009, 8, 151. [Google Scholar] [CrossRef]
- Rangkaew, N.; Suttisri, R.; Moriyasu, M.; Kawanishi, K. A new acyclic diterpene acid and bioactive compounds from Knema glauca. Arch. Pharm. Res. 2009, 32, 685–692. [Google Scholar] [CrossRef]
© 2011 by the authors; licensee MDPI, Basel, Switzerland. This article is an open access article distributed under the terms and conditions of the Creative Commons Attribution license ( http://creativecommons.org/licenses/by/3.0/).
Share and Cite
Nogueira, C.R.; Lopes, L.M.X. Antiplasmodial Natural Products. Molecules 2011, 16, 2146-2190. https://doi.org/10.3390/molecules16032146
Nogueira CR, Lopes LMX. Antiplasmodial Natural Products. Molecules. 2011; 16(3):2146-2190. https://doi.org/10.3390/molecules16032146
Chicago/Turabian StyleNogueira, Cláudio R., and Lucia M. X. Lopes. 2011. "Antiplasmodial Natural Products" Molecules 16, no. 3: 2146-2190. https://doi.org/10.3390/molecules16032146
APA StyleNogueira, C. R., & Lopes, L. M. X. (2011). Antiplasmodial Natural Products. Molecules, 16(3), 2146-2190. https://doi.org/10.3390/molecules16032146
