Platinum-Catalyzed Hydrative Cyclization of 1,6-Diynes for the Synthesis of 3,5-Substituted Conjugated Cyclohexenones
Abstract
:1. Introduction
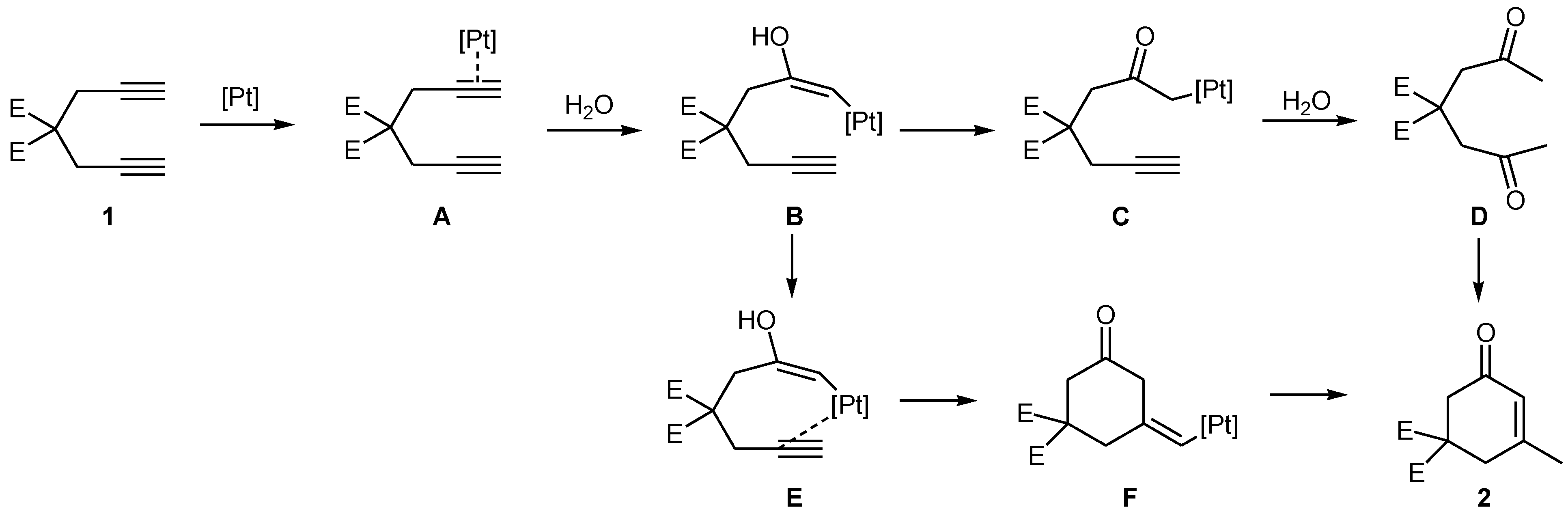
2. Results and Discussion
![]() | ||||
|---|---|---|---|---|
| Entry | Catalyst (mol%) | CH3SO3H (mol%) | Time (h) | Yield b (%) |
| 1 | Pt(COD)Cl2 (5) | 50 | 3 | 75 |
| 2 | Pt(COD)Cl2 (5) | - | 3 | Trace |
| 3 | Pt(COD)Cl2 (2) | 50 | 3 | 21 |
| 4 | Pt(PPh3)Cl2 (2) | 50 | 4 | 12 |
| 5 | Pd(PiPr3)Cl2 (2) | 50 | 4 | NR |
| 6 | Pt(COD)Cl2 (2) | 50 | 4 | Nr |
![]() |

3. Experimental
3.1. General
3.2. General procedure for the hydrative cyclization of diynes
4. Conclusions
Acknowledgements
- Sample Availability: Samples of the compounds are available from the authors.
References and Notes
- Braca, A.; Tommasi, N.D.; Bari, L.-D.; Pizza, C.; Politi, M.; Morelli, I. Antioxidant principles from Bauhinia tarapotensis. J. Nat. Prod. 2001, 64, 892–895. [Google Scholar] [CrossRef]
- Girlanda-Junges, C.; Keyling-Bilger, F.; Schmitt, G.; Luu, B. Effect of cyclohexenonic long chain fatty alcohols on neurite outgrowth. Study on structure-activity relationship. Tetrahedron 1998, 54, 7735–7748. [Google Scholar] [CrossRef]
- Ho, T.-L. Symmetry: A Basis for Synthesis Design; Wiley: New York, NY, USA, 1995; pp. 290–348. [Google Scholar]
- Corey, E.J.; Cheng, X.-M. The Logic of Chemical Synthesis; Wiley: New York, NY, USA, 1989. [Google Scholar]
- Zhang, F.Y.; Corey, E.J. Highly Enantioselective Michael Reactions Catalyzed by a Chiral Quaternary Ammonium Salt. Illustration by Asymmetric Syntheses of (S)-Ornithine and Chiral 2-Cyclohexenones. Org. Lett. 2000, 2, 1097–1100. [Google Scholar] [CrossRef]
- Hareau, G.P.-J.; Koiwa, M.; Hikichi, S.; Sato, F. Synthesis of Optically Active 5-(tert-Butyldimethylsiloxy)-2-cyclohexenone and Its 6-Substituted Derivatives as Useful Chiral Building Blocks for the Synthesis of Cyclohexane Rings. Syntheses of Carvone, Penienone, and Penihydrone. J. Am. Chem. Soc. 1999, 121, 3640–3650. [Google Scholar] [CrossRef]
- Chong, B.-D.; Ji, Y.-I.; Oh, S.-S.; Yang, J.-D.; Baik, W.; Koo, S. Highly Efficient Synthesis of Methyl-Substituted Conjugate Cyclohexenones. J. Org. Chem. 1997, 62, 9323–9325. [Google Scholar] [CrossRef]
- Kuehne, M.E.; Parsons, W.H. Thiyl radical- and mercuric ion-induced cyclizations of dimethyl dipropargylmalonate and dimethyl propargyl-3-thiylallylmalonates. J. Org. Chem. 1977, 42, 3408–3410. [Google Scholar] [CrossRef]
- Phillips, D.D.; Johnson, A.W. Notes - A Novel Synthesis of Cyclohexenones by Intramolecular Acylation. J. Org. Chem. 1956, 21, 587–589. [Google Scholar] [CrossRef]
- Dauben, W.G.; Michno, D.M. Direct oxidation of tertiary allylic alcohols. A simple and effective method for alkylative carbonyl transposition. J. Org. Chem. 1977, 42, 682–685. [Google Scholar] [CrossRef]
- Stork, G.; Danheiser, R.L.; Ganem, B. Reaction of deuterium chloride with cis- and trans-.beta.-trimethylsilylstyrene. J. Am. Chem. Soc. 1973, 95, 3414–3415. [Google Scholar] [CrossRef]
- Stotter, P.L.; Hill, K.A. alpha.-Halocarbonyl compounds. II. Position-specific preparation of .alpha.-bromoketones by bromination of lithium enolates. Position-specific introduction of .alpha.,.beta.-unsaturation into unsymmetrical ketones. J. Org. Chem. 1973, 38, 2576–2578. [Google Scholar] [CrossRef]
- Rubinstein, H. Intermediates in the Synthesis of Xanthophyll and Zeaxanthin. J. Org. Chem. 1962, 27, 3886–3887. [Google Scholar] [CrossRef]
- Trost, B.M.; Rudd, M.T. Ruthenium-Catalyzed Cycloisomerizations of Diynols. J. Am. Chem. Soc. 2005, 127, 4763–4776. [Google Scholar] [CrossRef]
- Odedra, A.; Wu, C.-J.; Pratap, T.B.; Huang, C.-W.; Ran, Y.F.; Liu, R.-S. Ruthenium-Catalyzed Aromatization of Enediynes via Highly Regioselective Nucleophilic Additions on a π-Alkyne Functionality. A Useful Method for the Synthesis of Functionalized Benzene Derivatives. J. Am. Chem. Soc. 2005, 127, 3406–3412. [Google Scholar]
- Trost, B.M.; Huang, X.-J. Ruthenium-Catalyzed Diyne Hydrative Cyclization: Synthesis of Substituted 1,3-Diene Synthons. Org. Lett. 2005, 7, 2097–2099. [Google Scholar] [CrossRef]
- Trost, B.M.; Rudd, M.T. A Mechanistic Dichotomy in Ruthenium-Catalyzed Propargyl Alcohol Reactivity: A Novel Hydrative Diyne Cyclization. J. Am. Chem. Soc. 2003, 125, 11516–11517. [Google Scholar] [CrossRef]
- Trost, B.M.; Brown, R.E.; Toste, F.D. A Ruthenium-Catalyzed Hydrative Cyclization and [4 + 2] Cycloaddition of Yne-enones. J. Am. Chem. Soc. 2000, 122, 5877–5878. [Google Scholar] [CrossRef]
- Chen, Y.; Ho, D.M.; Lee, C. Ruthenium-Catalyzed Hydrative Cyclization of 1,5-Enynes. J. Am. Chem. Soc. 2005, 127, 12184–12185. [Google Scholar]
- Trost, B.M.; Rudd, M.T. Ruthenium-Catalyzed Cycloisomerizations of Diynols. J. Am. Chem. Soc. 2005, 127, 4763–4776. [Google Scholar] [CrossRef]
- Chang, H.-K.; Datta, S.; Das, A.; Odedra, A.; Liu, R.-S. PtCl2-Catalyzed Hydrative Cyclization of Trialkyne Functionalities to Form Bicyclic Spiro Ketones. Angew. Chem. Int. Ed. 2007, 46, 4744–4747. [Google Scholar] [CrossRef]
- Chang, H.-K.; Liao, Y.-C.; Liu, R.-S. Diversity in Platinum-Catalyzed Hydrative Cyclization of Trialkyne Substrates To Form Tetracyclic Ketones. J. Org. Chem. 2007, 72, 8139–8141. [Google Scholar] [CrossRef]
- Baidossi, W.; Lahav, M.; Blum, J. Hydration of Alkynes by a PtCl4−CO Catalyst. J. Org. Chem. 1997, 62, 669–672. [Google Scholar] [CrossRef]
- Zhang, C.; Cui, D.-M.; Yao, L.-Y.; Wang, B.-S.; Hu, Y.-Z.; Hayashi, T. Synthesis of 2-Cyclohexenone Derivatives via Gold(I)-Catalyzed Hydrative Cyclization of 1,6-Diynes. J. Org. Chem. 2008, 73, 7811–7813. [Google Scholar] [CrossRef]
- Cui, D.-M.; Ke, Y.-N.; Zhuang, D.-W.; Wang, Q.; Zhang, C. Gold-catalyzed hydrative cyclization of 1,6-diynes in ionic liquid media. Tetrahedron Lett. 2010, 51, 980–982. [Google Scholar]
- Oh, C.H.; Yi, H.J.; Lee, J.H. Silver-catalyzed intramolecular oxycyclization of alkynes to bridged bicyclic ketalsElectronic supplementary information (ESI) available: Characterization of new compounds 2a–d, 2f–i, 3a, 4b and 5b. New J. Chem. 2007, 31, 835–837. [Google Scholar] [CrossRef]
- Antoniotti, S.; Genin, E.; Michelet, V.; Genêt, J.-P. Highly Efficient Access to Strained Bicyclic Ketals via Gold-Catalyzed Cycloisomerization of Bis-homopropargylic Diols. J. Am. Chem. Soc. 2005, 127, 9976–9977. [Google Scholar]
- Kinney, W.A.; Crouse, G.D.; Paquette, L.A. Regiocontrolled synthesis of mono-, di-, and trisubstituted cyclohexenones by cycloaddition of vinyl sulfones to 1-methoxy-3-[(trimethylsilyl)oxy]-1,3-butadiene. Conversion of alkenes into effective dienophilic reagent. J. Org. Chem. 1983, 48, 4986. [Google Scholar] [CrossRef]
- Fox, H.; Wolf, M.O.; O’Dell, R.; Lin, B.L.; Schrock, R.R.; Wrighton, M.S. Living Cyclopolymerization of 1,6-Heptadiyne Derivatives Using Well-Defined Alkylidene Complexes: Polymerization Mechanism, Polymer Structure, and Polymer Properties. J. Am. Chem. Soc. 1994, 116, 2827. [Google Scholar]
- Madine, J.W.; Wang, X.; Widenhoefer, R.A. Cyclization/Hydrosilylation of Functionalized Diynes Catalyzed by a Cationic Platinum Phenanthroline Complex. Org. Lett. 2001, 3, 385. [Google Scholar] [CrossRef]
© 2010 by the authors; licensee MDPI, Basel, Switzerland. This article is an Open Access article distributed under the terms and conditions of the Creative Commons Attribution license (http://creativecommons.org/licenses/by/3.0/).
Share and Cite
Zhang, C.; Qi, J.-F.; Cui, D.-M.; Wang, Q.; Wang, X.-L. Platinum-Catalyzed Hydrative Cyclization of 1,6-Diynes for the Synthesis of 3,5-Substituted Conjugated Cyclohexenones. Molecules 2010, 15, 5045-5052. https://doi.org/10.3390/molecules15075045
Zhang C, Qi J-F, Cui D-M, Wang Q, Wang X-L. Platinum-Catalyzed Hydrative Cyclization of 1,6-Diynes for the Synthesis of 3,5-Substituted Conjugated Cyclohexenones. Molecules. 2010; 15(7):5045-5052. https://doi.org/10.3390/molecules15075045
Chicago/Turabian StyleZhang, Chen, Jian-Feng Qi, Dong-Mei Cui, Qian Wang, and Xiu-Li Wang. 2010. "Platinum-Catalyzed Hydrative Cyclization of 1,6-Diynes for the Synthesis of 3,5-Substituted Conjugated Cyclohexenones" Molecules 15, no. 7: 5045-5052. https://doi.org/10.3390/molecules15075045
APA StyleZhang, C., Qi, J.-F., Cui, D.-M., Wang, Q., & Wang, X.-L. (2010). Platinum-Catalyzed Hydrative Cyclization of 1,6-Diynes for the Synthesis of 3,5-Substituted Conjugated Cyclohexenones. Molecules, 15(7), 5045-5052. https://doi.org/10.3390/molecules15075045


