Construction of Eight-Membered Carbocycles with Trisubstituted Double Bonds Using the Ring Closing Metathesis Reaction
Abstract
:1. Introduction

2. Results and Discussion
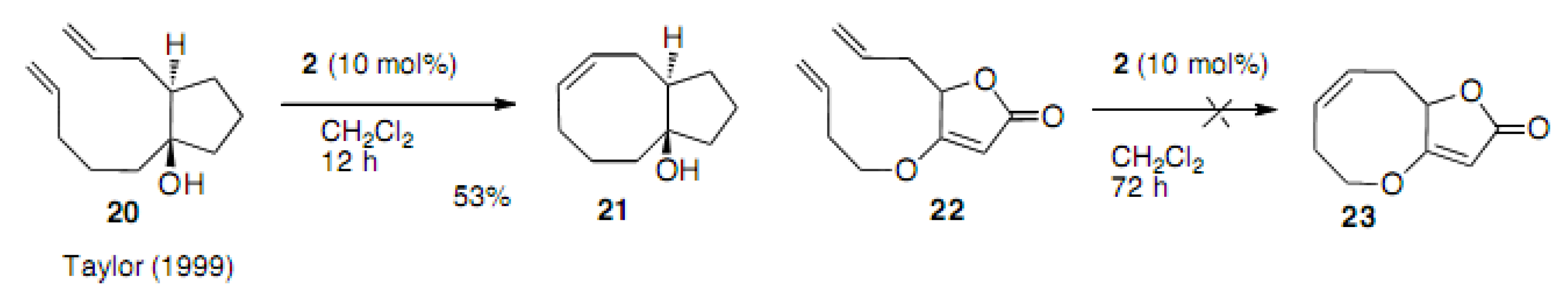
2.1. Eight-membered carbocycles using RCM reactions (disubstituted double bonds)

![]() |












2.2. Olefin rearrangement



2.3. Eight-membered carbocycles using the RCM reaction (trisubstituted double bond)















3. Conclusions
Acknowledgments
References and Notes
- Nguyen, S.T.; Johnson, L.K.; Grubbs, R.H. Ring-opening metathesis polymerization (ROMP) of norbornene by a group VIII carbene complex in protic media. J. Am. Chem. Soc. 1992, 114, 3974–3975. [Google Scholar]
- Nguyen, S.T.; Grubbs, R.H. Syntheses and activities of new single-component, ruthenium-based olefin metathesis catalysis. J. Am. Chem. Soc. 1993, 115, 9858–9859. [Google Scholar]
- Grubbs, R.H.; Miller, S.J.; Fu, G.C. Ring-closing metathesis and related processes in organic synthesis. Acc. Chem. Res. 1995, 28, 446–452. [Google Scholar] [CrossRef]
- Schwab, P.; France, M.B.; Ziller, J.W.; Grubbs, R.H. A series of well-defined metathesis catalysts-synthesis of [RuCl2(CHR)(PR3)2] and its reactions. Angew. Chem. Int. Ed. Engl. 1995, 34, 2039–2041. [Google Scholar] [CrossRef]
- Schwab, P.; Grubbs, R.H.; Ziller, J.W. Synthesis and applications of RuCl2(=CHR’)(PR3)2: The influence of the alkylidene moiety on metathesis activity. J. Am. Chem. Soc. 1996, 118, 100–110. [Google Scholar]
- Schrock, R.R.; Murdzek, J.S.; Bazan, G.C.; Robbins, J.; DiMare, M.; O’Regan, M. Synthesis of molybdenum imido alkylidene complexes and some reactions involving acyclic olefins. J. Am. Chem. Soc. 1990, 112, 3875–3886. [Google Scholar]
- Schrock, R.R. Olefin metathesis by molybdenum imino alkylidene catalysts. Tetrahedron 1999, 55, 8141–8153. [Google Scholar] [CrossRef]
- Scholl, M.; Ding, S.; Lee, C.W.; Grubbs, R.H. Synthesis and activity of a new generation of ruthenium-based olefin metathesis catalysts coordinated with 1,3-dimesityl-4,5-dihydroimidazol-2-ylidene ligands. Org. Lett. 1999, 1, 953–956. [Google Scholar] [CrossRef]
- Fürstner, A.; Langemann, K. Macrocycles by ring-closing metathesis. Synthesis 1997, 792–803. [Google Scholar]
- Maier, M.E. Synthesis of medium-sized rings by the ring-closing metathesis reaction. Angew. Chem. Int. Ed. 2000, 39, 2073–2077. [Google Scholar] [CrossRef]
- Schuster, M.; Blechert, S. Olefin metathesis in organic chemistry. Angew. Chem. Int. Ed. 1997, 36, 2036–2056. [Google Scholar] [CrossRef]
- Armstrong, S.K. Ring closing diene metathesis in organic synthesis. J. Chem. Soc., Perkin Trans. 1 1998, 371–388. [Google Scholar] [CrossRef]
- Grubbs, R.H.; Chan, S. Recent advances in olefin metathesis and its application in organic synthesis. Tetrahedron 1998, 54, 4413–4450. [Google Scholar] [CrossRef]
- Fürstner, A. Olefin metathesis and beyond. Angew. Chem. Int. Ed. 2000, 39, 3012–3043. [Google Scholar]
- Mori, M. Recent progress on enyne metathesis: Its application to syntheses of natural products and related compounds. Materials 2010, 3, 2087–2140. [Google Scholar] [CrossRef]
- Huang, J.; Stevens, E.D.; Nolan, S.P.; Peterson, J.L. Olefin metathesis-active ruthenium complexes bearing a nucleophilic carbene ligand. J. Am. Chem. Soc. 1999, 121, 2674–2678. [Google Scholar] [CrossRef]
- Scholl, M.; Trnka, T.M.; Morgan, J.P.; Grubbs, R.H. Increased ring closing metathesis activity of ruthenium-based olefin metathesis catalysts coordinated with imidazolin-2-ylidene ligands. Tetrahedron Lett. 1999, 40, 2247–2250. [Google Scholar]
- Nakashima, K. Synthetic studies of medium- and macro-cyclic compounds using the olefin metathesis reaction and total synthesis and absolute configuration of several sphenolobane-type diterpenoids. Dissertation, Tokushima Bunri University, 2006. [Google Scholar]
- Miller, S.J.; Kim, S.H.; Chen, Z.R.; Grubbs, R.H. Catalytic ring-closing metathesis of dienes: application to the synthesis of eight-membered rings. J. Am. Chem. Soc. 1995, 117, 2108–2109. [Google Scholar]
- Kirkland, T.A.; Grubbs, R.H. Effects of olefin substitution on the ring-closing metathesis of dienes. J. Org. Chem. 1997, 62, 7310–7318. [Google Scholar] [CrossRef]
- Edward, S.D.; Lewis, T.; Taylor, R.J.K. Eight membered ether via diene metathesis: Synthetic approach to laureatin natural products. Tetrahedron Lett. 1999, 40, 4267–4270. [Google Scholar] [CrossRef]
- Ackermann, L.; Fürstner, A.; Weskamp, T.; Kohl, F.J.; Herrmann, W.A. Ruthenium carbene complexes with imidazolin-2-ylidene ligands allow the formation of tetrasubstituted cycloalkenes by RCM. Tetrahedron Lett. 1999, 40, 4787–4790. [Google Scholar]
- Marco-Contelles, J.; de Opazo, E. Synthesis of enantiomerically pure, highly functionalized, medium-sized carbocycles from carbohydrates: Formal total synthesis of (+)-calystegine B2. J. Org. Chem. 2002, 67, 3705–3717. [Google Scholar] [CrossRef]
- Braddock, D.C.; Cansell, G.; Hermitage, S.A.; White, A.J.P. An asymmetric synthesis of enantiopure chair and twist trans-cyclooctene isomers. Tetrahedron: Asymmetry 2004, 15, 3123–3129. [Google Scholar] [CrossRef]
- Basu, S.; Waldmann, H. Regioselectivity in the formation of small- and medium-sized cyclic ethers by diene-ene ring-closing metathesis. J. Org. Chem. 2006, 71, 3977–3979. [Google Scholar] [CrossRef]
- Dieltiens, N.; Stevens, C.V.; Masschelein, K.; Hennebel, G.; Van der Jeught, S. Ring-closing metathesis and ring-closing metathesis-isomerization approach to 1-phosphonylated 2-benzazocines. Tetrahedron 2008, 64, 4295–4303. [Google Scholar] [CrossRef]
- Tori, M.; Minami, A.; Nakashima, K. Tokushima Bunri University: Japan, 2010; Unpublished results.
- Michaut, A.; Miranda-Garcia, S.; Menéndez, J.C.; Rodriguez, J. Stereoselective synthesis of bicyclo[4.2.1]nonane skeletons by ring-closing metathesis: A new versatile methodology for the efficient assembly of functionalized cyclooctanoids. Org. Lett. 2004, 6, 3075–3078. [Google Scholar] [CrossRef]
- Michaut, A.; Miranda-Garcia, S.; Menéndez, J.C.; Rodriguez, J. Stereoselective synthesis of bicyclo[4.2.1]nonanes - a temporary-bridge approach to cyclooctanoids. Eur. J. Org. Chem. 2008, 4988–4998. [Google Scholar]
- Michaut, A.; Rodriguez, J. Selective construction of carbocyclic eight-membered rings by ring-closing metathesis of acyclic precursors. Angew. Chem. Int. Ed. 2006, 45, 5740–5750. [Google Scholar] [CrossRef]
- Wenz, M.; Großbach, D.; Beitzel, M.; Blechert, S. An approach towards enantiomerically pure taxoidic A,B-ring fragments. Synthesis 1999, 607–614. [Google Scholar]
- Bourgeois, D.; Pancrazi, A.; Ricard, L.; Prunet, J. Synthesis of highly functionalized cyclooctanes by ring-closing metathesis: unexpected formation of a trans isomer. Angew. Chem. Int. Ed. 2000, 39, 726–728. [Google Scholar]
- Bourgeois, D.; Mahuteau, J.; Pancrazi, A.; Nolan, S. P.; Prunet, J. Synthesis of BC ring-systems of taxol by ring-closing metathesis. Synthesis 2000, 869–882. [Google Scholar]
- Schiltz, S.; Ma, C.; Ricard, L.; Prunet, J. Synthesis of model BC bicycles of taxol using C10-C11 ring-closing metathesis strategy. J. Organomet. Chem. 2006, 691, 5438–5443. [Google Scholar]
- Ma, C.; Schiltz, S.; Le Goff, X.F.; Prunet, J. Ring-closing metathesis in the synthesis of BC ring-systems of taxol. Chem. Eur. J. 2008, 14, 7314–7323. [Google Scholar]
- Hoye, T.R.; Zhao, H. Synthesis of a C(1)-C(14)-containing fragment of callipeltoside A. Org. Lett. 1999, 1, 169–171. [Google Scholar] [CrossRef]
- Nakashima, K.; Okamoto, S.; Sono, M.; Tori, M. Isomerization reactions of allylic alcohols into ketones with the Grubbs reagent. Molecules 2004, 9, 541–549. [Google Scholar] [CrossRef]
- Bourgeois, D.; Pancrazi, A.; Nolan, S.P.; Prunet, J. The Cl2(PCy3)(IMes)Ru(=CHPh) catalyst: olefin metathesis versus olefin isomerization. J. Organomet. Chem. 2002, 643/644, 247–252. [Google Scholar]
- Lehman, S.E., Jr.; Schwendeman, J.E.; O’Donnell, P.M.; Wagener, K.B. Olefin isomerization promoted by olefin metathesis catalysts. Inorg. Chim. Acta 2003, 345, 190–198. [Google Scholar]
- Schmidt, B. Catalysis at the interface of ruthenium carbene and ruthenium hydride chemistry: organometallic aspects and applications to organic synthesis. Eur. J. Org. Chem. 2004, 1865–1880. [Google Scholar] [CrossRef]
- Joe, D.; Overman, L.E. An unexpected product arising from metal alkyldiene mediated ring-closing diene metathesis. Tetrahedron Lett. 1997, 38, 8635–8638. [Google Scholar] [CrossRef]
- Goto, H.; Osawa, E. Corner flapping: A simple and fast algorithm for exhaustive generation of ring conformations. J. Am. Chem. Soc. 1989, 111, 89508951. [Google Scholar]
- Goto, H.; Osawa, E. An efficient algorithm for searching low-energy conformers of cyclic and acyclic molecules. J. Chem. Soc., Perkin Trans. 2 1993, 187–198. [Google Scholar] [CrossRef]
- Fürstner, A.; Langemann, K. A concise total synthesis of dactylol via ring closing metathesis. J. Org. Chem. 1996, 61, 8746–8749. [Google Scholar]
- Codesido, E.M.; Castedo, L.; Granja, J.R. Access to [6.4.0]carbocyclic systems by tandem metathesis of dienynes. A step toward the synthesis of a preD3-D3 transition state analogue. Org. Lett. 2001, 3, 1483–1486. [Google Scholar] [CrossRef]
- Michalak, K.; Michalak, M.; Wicha, J. Studies toward the total synthesis of di- and sesterterpenes with a dicyclopenta[a,d]cyclooctane skeleton. Construction of a versatile A/B ring building block via a ring-closing metathesis reaction and carbocationic rearrangement. Tetrahedron Lett. 2005, 46, 1149–1153. [Google Scholar] [CrossRef]
- Michalak, K.; Michalak, M.; Wicha, J. Studies towards the total synthesis of di- and sesterterpenes with dicyclopenta[a,d]cyclooctane skeletons. Three-component approach to the A/B rings building block. Molecules 2005, 10, 1084–1100. [Google Scholar] [CrossRef]
- Lysenko, I.L.; Lee, H.G.; Cha, J.K. Use of cyclopropanols as conformational constraints in RCM. Org. Lett. 2006, 8, 2671–2673. [Google Scholar] [CrossRef]
- Mizutani, R.; Miki, T.; Nakashima, K.; Sono, M.; Tori, M. Trisubstituted double bond in the cyclooctene ring. Preparation using the RCM reaction. Heterocycles 2009, 78, 2295–2314. [Google Scholar] [CrossRef]
- Mizutani, R.; Nakashima, K.; Saito, Y.; Sono, M.; Tori, M. Studies toward the total synthesis of YW3699, a sesterterpenoid GPI biosynthesis inhibitor: Preparation of the tri-substituted cyclooctene ring using the RCM reaction. Tetrahedron Lett. 2009, 50, 2225–2227. [Google Scholar] [CrossRef]
© 2010 by the authors;
Share and Cite
Tori, M.; Mizutani, R. Construction of Eight-Membered Carbocycles with Trisubstituted Double Bonds Using the Ring Closing Metathesis Reaction. Molecules 2010, 15, 4242-4260. https://doi.org/10.3390/molecules15064242
Tori M, Mizutani R. Construction of Eight-Membered Carbocycles with Trisubstituted Double Bonds Using the Ring Closing Metathesis Reaction. Molecules. 2010; 15(6):4242-4260. https://doi.org/10.3390/molecules15064242
Chicago/Turabian StyleTori, Motoo, and Reiko Mizutani. 2010. "Construction of Eight-Membered Carbocycles with Trisubstituted Double Bonds Using the Ring Closing Metathesis Reaction" Molecules 15, no. 6: 4242-4260. https://doi.org/10.3390/molecules15064242
APA StyleTori, M., & Mizutani, R. (2010). Construction of Eight-Membered Carbocycles with Trisubstituted Double Bonds Using the Ring Closing Metathesis Reaction. Molecules, 15(6), 4242-4260. https://doi.org/10.3390/molecules15064242

