Study of Energy Loss Characteristics of a Shaft Tubular Pump Device Based on the Entropy Production Method
Abstract
1. Introduction
2. Numerical Simulation
2.1. Settings and Turbulence Model
2.2. Grid Division and Scheme Selection
3. Model Test
4. Analysis Method
4.1. Traditional Pressure Drop Method
4.2. Entropy Production Method
5. Results and Analysis
5.1. Validation of Simulation and Comparison of Energy Analysis Methods
5.2. Analysis of Energy Loss in the STPD
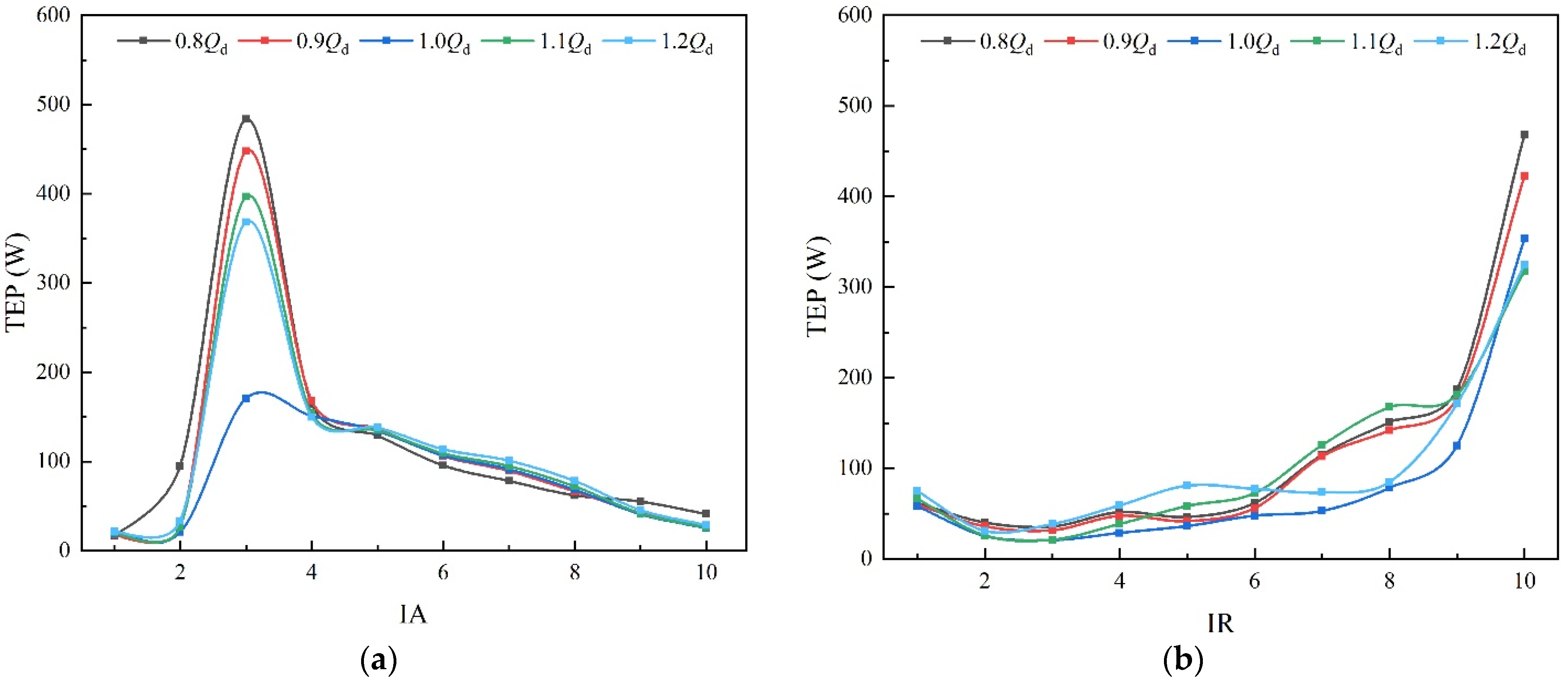
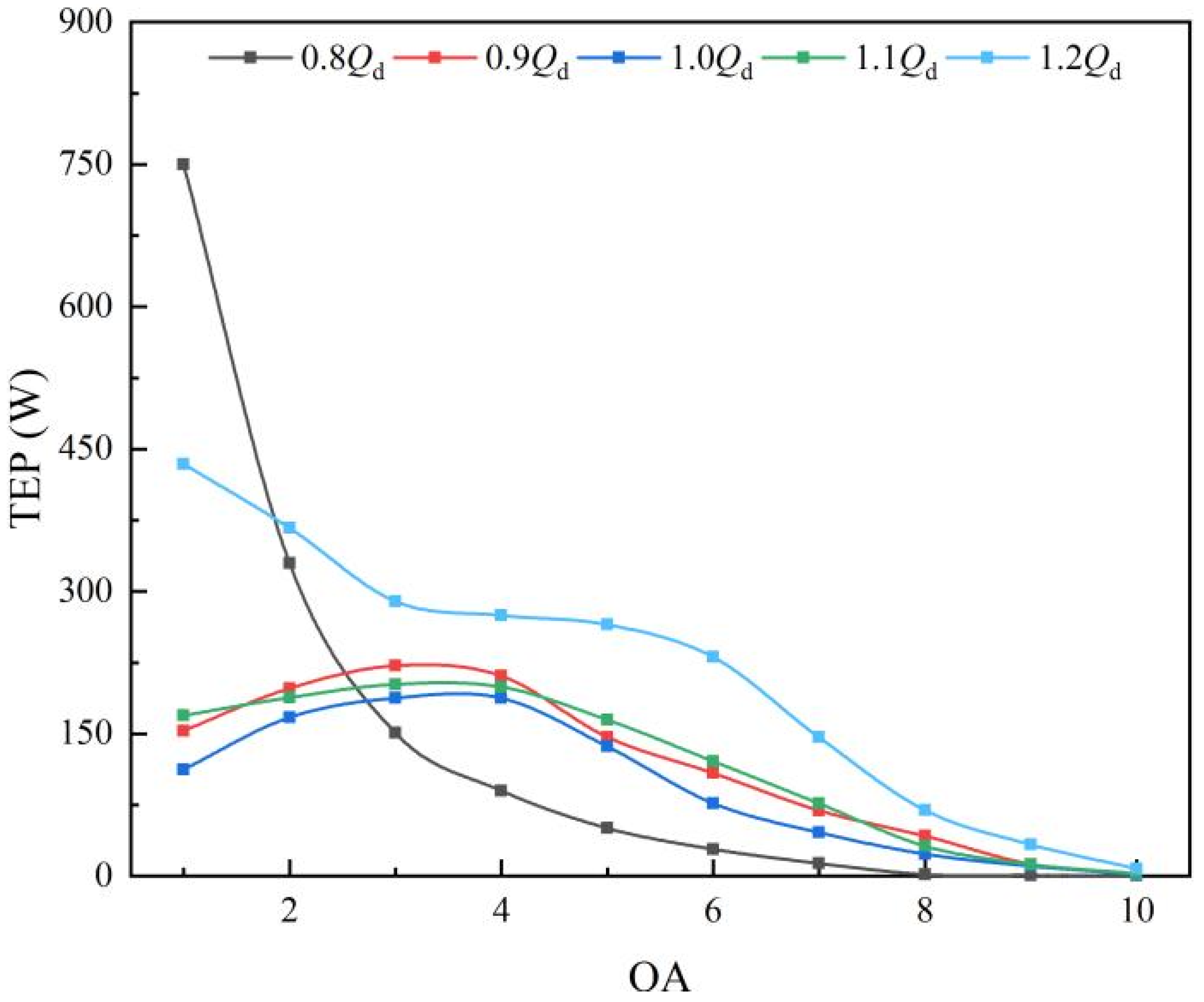
5.3. Analysis of TEP Distribution
5.4. Visualization Analysis
6. Conclusions
- The energy loss in each part of the STPD is analyzed, and the results show that the prediction of the energy loss by the above two methods is consistent. The TEP is the primary cause of energy loss, while the EPW is the secondary source. TEP accounts for 65.40~77.88% of the energy loss in the STPD, whereas EPW accounts for 21.54~33.63%.
- At 0.8 Qd~1.1 Qd, the component with the largest energy loss in an STPD is the impeller. Due to the wall effect and TLV, the energy loss in the region near the impeller shroud accounts for more than 40% of the total loss in the impeller. Therefore, it is necessary to consider the influence of the tip clearance of the impeller to reduce losses.
- At 1.2 Qd, the component with the largest energy loss in an STPD is the outlet passage. The energy loss in the outlet passage is mainly concentrated in the entrance part due to the wake flow of the guide vanes. Therefore, the adoption of appropriate measures at the entrance part can be considered to eliminate the influence of the wake flow and reduce loss.
- The visualization of the TEPR of the main components of the STPD clearly identify the vortex regions, which are accurately verified by the flow field structure. The main vortex structures in the impeller are IWV, IHV and TLV, while the main vortex structures in the guide vanes are GWV, GHV and GSV. It is clearly found that the TEPR is significantly higher in the vortex region. The distribution of TEPR in the outlet passage is clearly influenced by the guide vanes, and the influence gradually decreases along the axial direction.
Author Contributions
Funding
Data Availability Statement
Acknowledgments
Conflicts of Interest
Nomenclature and Abbreviations
| : | Total pressure loss in the stationary domain, m |
| : | Total pressure loss in the stationary domain, m |
| : | Total pressure of inlet section, Pa |
| : | Total pressure of outlet section, Pa |
| ρ: | Density of fluid, kg/m3 |
| Q: | Flow rate, m3/s |
| : | Energy conversion rate |
| : | Velocity with different directions in Cartesian coordinates, m/s |
| : | Crowe dick symbol |
| STPD: | Shaft tubular pump device |
| EPW: | Entropy production in the wall region |
| TEP: | Turbulent entropy production |
| LEP: | Local entropy production |
| LEPR: | Local entropy production rate |
| TEPR: | Turbulent entropy production rate |
| LEP: | Local entropy production |
| GCI: | Grid convergence index |
| TLV: | Tip leakage vortex |
| IWV: | Impeller wake vortex |
| ILV: | Vortex at leading edge of impeller |
| IHV: | Impeller hub vortex |
| GWV: | Guide vanes wake vortex |
| GHV: | Guide vanes hub vortex |
| GSV: | Guide vanes separation vortex |
| PS: | Pressure side |
| SS: | Suction side |
References
- Gopal, C.; Mohanraj, M.; Chandramohan, P.; Chandrasekar, P. Renewable energy source water pumping systems-A literature review. Renew. Sustain. Energ. Rev. 2013, 25, 351–370. [Google Scholar] [CrossRef]
- Gomrokchi, A.U.; Rizi, A.P. Flexibility of energy and water management in pressurized irrigation systems using dynamic modeling of pump operation. Environ. Dev. Sustain. 2021, 23, 18232–18251. [Google Scholar] [CrossRef]
- Sun, L.Y.; Pan, Q.; Zhang, D.S.; Zhao, R.J.; van Esch, B. Numerical study of the energy loss in the bulb tubular pump system focusing on the off-design conditions based on combined energy analysis methods. Energy 2022, 258, 124794. [Google Scholar] [CrossRef]
- Ji, D.T.; Lu, W.G.; Lu, L.G.; Xu, L.; Liu, J.; Shi, W.; Huang, G.H. Study on the Comparison of the Hydraulic Performance and Pressure Pulsation Characteristics of a Shaft Front-Positioned and a Shaft Rear-Positioned Tubular Pump Devices. J. Mar. Sci. Eng. 2022, 10, 8. [Google Scholar] [CrossRef]
- Ji, D.T.; Lu, W.G.; Xu, L.; Lu, L.G. Comparison of the Hydraulic Performance and Pressure Pulsation Characteristics of Shaft Tubular Pump Device under Multiple Working Conditions. J. Mar. Sci. Eng. 2022, 10, 750. [Google Scholar] [CrossRef]
- Luo, C.; Du, K.; Qi, W.; Cheng, L.; Huang, X.; Lu, J. Investigation on the Effect of the Shaft Transition Form on the Inflow Pattern and Hydrodynamic Characteristics of the Pre-Shaft Tubular Pump Device. Front. Energy Res. 2022, 10, 955492. [Google Scholar] [CrossRef]
- Xu, L.; Lu, L.G.; Chen, W.; Wang, G. Flow pattern analysis on inlet and outlet conduit of shaft tubular pump system of Pizhou pumping station in South-to-North Water Diversion Project. Trans. Chin. Soc. Agric. Eng. 2012, 28, 50–56. [Google Scholar]
- Friedrich, J.G. Centrifugal Pumps; Springer: Berlin, Germany, 2014. [Google Scholar]
- Herwig, H.; Kock, F. Local Entropy Production in Turbulent Shear Flows: A Tool for Evaluating Heat Transfer Performance. J. Therm. Sci. 2006, 15, 159–167. [Google Scholar] [CrossRef]
- Kock, F.; Herwig, H. Local entropy production in turbulent shear flows: A high-Reynolds number model with wall functions. Int. J. Heat Mass Tran. 2004, 47, 2205–2215. [Google Scholar] [CrossRef]
- McEligot, D.M.; Nolan, K.P.; Walsh, E.J.; Laurien, E. Effects of pressure gradients on entropy generation in the viscous layers of turbulent wall flows. Int. J. Heat Mass Tran. 2008, 51, 1104–1114. [Google Scholar] [CrossRef]
- McEligot, D.M.; Brodkey, R.S.; Eckelmann, H. Laterally converging duct flows. Part 4. Temporal behaviour in the viscous layer. J. Fluid Mech. 2009, 634, 433–461. [Google Scholar] [CrossRef]
- Schmandt, B.; Herwig, H. Internal Flow Losses: A Fresh Look at Old Concepts. J. Fluid Eng. 2011, 133, 051201. [Google Scholar] [CrossRef]
- Herwig, H.; Gloss, D.; Wenterodt, T. A new approach to understanding and modelling the influence of wall roughness on friction factors for pipe and channel flows. J. Fluid Mech. 2008, 613, 35–53. [Google Scholar] [CrossRef]
- Meng, F.; Li, Y.J. Energy Characteristics of a Bidirectional Axial-Flow Pump with Two Impeller Airfoils Based on Entropy Production Analysis. Entropy 2022, 24, 962. [Google Scholar] [CrossRef]
- Sun, Z.Z.; Yu, J.; Tang, F.P. The Influence of Bulb Position on Hydraulic Performance of Submersible Tubular Pump Device. J. Mar. Sci. Eng. 2021, 9, 831. [Google Scholar] [CrossRef]
- El-Emam, M.A.; Zhou, L.; Shi, W.D.; Han, C.; Bai, L.; Agarwal, R. Theories and Applications of CFD-DEM Coupling Approach for Granular Flow: A Review. Arch. Comput. Method Eng. 2021, 28, 4979–5020. [Google Scholar] [CrossRef]
- Ghasemi, E.; McEligot, D.M.; Nolan, K.P.; Crepeau, J.; Tokuhiro, A.; Budwig, R.S. Entropy generation in a transitional boundary layer region under the influence of freestream turbulence using transitional RANS models and DNS. Int. Commun. Heat Mass 2013, 41, 10–16. [Google Scholar] [CrossRef]
- Lin, T.; Li, X.J.; Zhu, Z.C.; Xie, J.; Li, Y.; Yang, H. Application of enstrophy dissipation to analyze energy loss in a centrifugal pump as turbine. Renew. Energy 2021, 163, 41–55. [Google Scholar] [CrossRef]
- Gong, R.; Wang, H.; Chen, L.; Li, D.; Zhang, H.; Wei, X. Application of entropy production theory to hydro-turbine hydraulic analysis. Sci. China Technol. Sci. 2013, 56, 1636–1643. [Google Scholar] [CrossRef]
- Li, D.Y.; Wang, H.J.; Qin, Y.L.; Han, L.; Wei, X.Z.; Qin, D.Q. Entropy production analysis of hysteresis characteristic of a pump-turbine model. Energy Convers Manag. 2017, 149, 175–191. [Google Scholar] [CrossRef]
- Zhang, Y.X.; Hou, H.C.; Xu, C.; He, W.X.; Li, Z.L. Application of entropy production method to centrifugal pump energy loss evaluation. J. Drain. Irrig. Mach. 2017, 35, 277–282. [Google Scholar]
- Lu, J.L.; Wang, L.K.; Liao, W.L.; Zhao, Y.P.; Ji, Q.F. Entropy production analysis for vortex rope of a turbine model. J. Hydraul. Eng. 2019, 50, 233–241. [Google Scholar]
- Menter, F.R. Two-equation eddy-viscosity turbulence models for engineering applications. Aiaa J. 1994, 8, 1598–1605. [Google Scholar] [CrossRef]
- Menter, F.R. Review of the shear-stress transport turbulence model experience from an industrial perspective. Int. J. Comput. Fluid Dyn. 2009, 23, 305–316. [Google Scholar] [CrossRef]
- Chalghoum, I.; Elaoud, S.; Kanfoudi, H.; Akrout, M. The effects of the rotor-stator interaction on unsteady pressure pulsation and radial force in a centrifugal pump. J. Hydrodyn. 2018, 30, 672–681. [Google Scholar] [CrossRef]
- Kan, K.; Zhang, Q.Y.; Xu, Z.; Zheng, Y.; Gao, Q.; Shen, L. Energy loss mechanism due to tip leakage flow of axial flow pump as turbine under various operating conditions. Energy 2022, 255, 124532. [Google Scholar] [CrossRef]
- Roache, P.J. Conservatism of the grid convergence index in finite volume computations on steady-state fluid flow and heat transfer. J. Fluid Eng. 2003, 125, 731–732. [Google Scholar] [CrossRef]
- Celik, I.B.; Ghia, U.; Roache, P.J.; Freitas, C.J. Procedure for estimation and reporting of uncertainty due to discretization in CFD applications. J. Fluid Eng. 2008, 130, 078001. [Google Scholar] [CrossRef]
- Zhao, H.R.; Wang, F.J.; Wang, C.Y.; Chen, W.H.; Yao, Z.F.; Shi, X.Y.; Li, X.Q.; Zhong, Q. Study on the characteristics of horn-like vortices in an axial flow pump impeller under off-design conditions. Eng. Appl. Comp. Fluid Mech. 2021, 15, 1613–1628. [Google Scholar] [CrossRef]
- Yang, F.; Chang, P.C.; Cai, Y.P.; Lin, Z.K.; Tang, F.P.; Lv, Y.T. Analysis of Energy Loss Characteristics of Vertical Axial Flow Pump Based on Entropy Production Method under Partial Conditions. Entropy 2022, 24, 1200. [Google Scholar] [CrossRef]
- Gu, Y.D.; Pei, J.; Yuan, S.Q.; Wang, W.J.; Zhang, F.; Wang, P.; Appiah, D.; Liu, Y. Clocking effect of vaned diffuser on hydraulic performance of high-power pump by using the numerical flow loss visualization method. Energy 2019, 170, 986–997. [Google Scholar] [CrossRef]
- Ji, L.L.; Li, W.; Shi, W.D.; Chang, H.; Yang, Z.Y. Energy characteristics of mixed-flow pump under different tip clearances based on entropy production analysis. Energy 2020, 199, 117447. [Google Scholar] [CrossRef]
- Mathieu, J.; Scott, J. An Introduction to Turbulent Flow; Cambridge University Press: Cambridge, UK, 2000. [Google Scholar]
- Zhou, L.; Hang, J.W.; Bai, L.; Krzemianowski, Z.; El-Emam, M.A.; Yasser, E.; Agarwal, R. Application of entropy production theory for energy losses and other investigation in pumps and turbines: A review. Appl. Energy 2022, 318, 119211. [Google Scholar] [CrossRef]
- Yang, H.; Sun, D.D.; Tang, F.P.; Zhang, X.F. Experiment research on inlet flow field for axial-flow pump at unsteady operation condition. J. Drain. Irrig. Mach. 2011, 29, 406–410. [Google Scholar]
- Zhang, D.S.; Shi, W.D.; Zhang, H.; Li, T.T.; Zhang, G.J. Numerical simulation of flow field characteristics in tip clearance region of axial-flow impeller. Trans. Chin. Soc. Agric. Mach. 2012, 43, 73–77. [Google Scholar]
- Zhang, D.S.; Shi, W.D.; Pan, D.Z.; Dubuisson, M. Numerical and Experimental Investigation of Tip Leakage Vortex Cavitation Patterns and Mechanisms in an Axial Flow Pump. J. Fluid Eng. 2015, 137, 121103. [Google Scholar] [CrossRef]


























| Parameters | Values |
|---|---|
| Diameter of pump | 300 mm |
| Impeller blade number | 3 |
| Guide vanes blade number | 6 |
| Tip clearance | 0.2 |
| Rotational speed | 1450 r/min |
| Parameters | Values |
|---|---|
| Inlet | Total pressure (1 atm) |
| Outlet | Mass flow rate |
| Wall | No-slip |
| Convergence accuracy | 1 × 10−4 |
| Time step | 3.45 × 10−4 (s) |
| Total time | 0.828 (s) |
| Scheme | Number of Grid/106 | Efficiency/% |
|---|---|---|
| 1 | 1.7 | 81.87 |
| 2 | 3.9 | 81.64 |
| 3 | 7.1 | 81.49 |
| 4 | 8.6 | 81.40 |
| 5 | 8.8 | 81.39 |
| Parameters | Values |
|---|---|
| N1, N2, N3 | 8.6 M, 3.9 M, 1.7 M |
| r21, r32 | 1.302, 1.319 |
| Φ1, Φ2, Φ3 | 81.40%, 81.64%, 81.87% |
| p | 2.28 |
| , | 1.22, 1.21 |
| , | 0.29%, 0.17% |
| GC121 | 0.44% |
| GCI32 | 0.24% |
| Number | 1 | 2 | 3 | 4 | 5 | 6 | 7 | 8 | 9 | 10 |
|---|---|---|---|---|---|---|---|---|---|---|
| Efficiency/% | 82.12 | 82.18 | 82.04 | 82.26 | 82.09 | 82.15 | 82.27 | 82.20 | 82.19 | 82.22 |
Disclaimer/Publisher’s Note: The statements, opinions and data contained in all publications are solely those of the individual author(s) and contributor(s) and not of MDPI and/or the editor(s). MDPI and/or the editor(s) disclaim responsibility for any injury to people or property resulting from any ideas, methods, instructions or products referred to in the content. |
© 2023 by the authors. Licensee MDPI, Basel, Switzerland. This article is an open access article distributed under the terms and conditions of the Creative Commons Attribution (CC BY) license (https://creativecommons.org/licenses/by/4.0/).
Share and Cite
Ji, D.; Lu, W.; Xu, B.; Xu, L.; Lu, L. Study of Energy Loss Characteristics of a Shaft Tubular Pump Device Based on the Entropy Production Method. Entropy 2023, 25, 995. https://doi.org/10.3390/e25070995
Ji D, Lu W, Xu B, Xu L, Lu L. Study of Energy Loss Characteristics of a Shaft Tubular Pump Device Based on the Entropy Production Method. Entropy. 2023; 25(7):995. https://doi.org/10.3390/e25070995
Chicago/Turabian StyleJi, Dongtao, Weigang Lu, Bo Xu, Lei Xu, and Linguang Lu. 2023. "Study of Energy Loss Characteristics of a Shaft Tubular Pump Device Based on the Entropy Production Method" Entropy 25, no. 7: 995. https://doi.org/10.3390/e25070995
APA StyleJi, D., Lu, W., Xu, B., Xu, L., & Lu, L. (2023). Study of Energy Loss Characteristics of a Shaft Tubular Pump Device Based on the Entropy Production Method. Entropy, 25(7), 995. https://doi.org/10.3390/e25070995

