Entropy Production in a Fractal System with Diffusive Dynamics
Abstract
1. Introduction
2. Nonlinear Fokker–Planck Equations and Hausdorff Derivative
2.1. H-Theorem
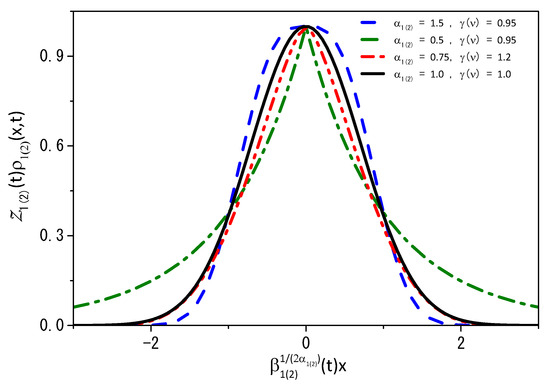
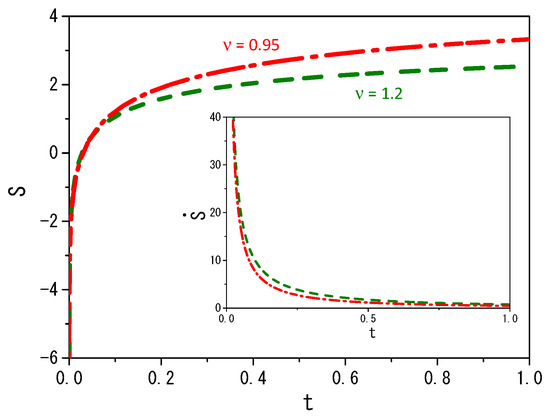
2.2. Entropy Production
3. Conclusions
Author Contributions
Funding
Institutional Review Board Statement
Informed Consent Statement
Data Availability Statement
Acknowledgments
Conflicts of Interest
Appendix A
References
- Boltzmann, L. Further Studies on the Thermal Equilibrium of Gas Molecules. In The Kinetic Theory of Gases; World Scientific: Singapore, 2003; pp. 262–349. [Google Scholar]
- Gibbs, J.W. Elementary Principles in Statistical Mechanics: Developed with Especial Reference to the Rational Foundation of Thermodynamics; Cambridge Library Collection-Mathematics, Cambridge University Press: Cambridge, UK, 2010. [Google Scholar]
- Lenzi, E.; Mendes, R.; Da Silva, L. Statistical mechanics based on Renyi entropy. Physica A 2000, 280, 337–345. [Google Scholar] [CrossRef]
- Rajagopal, A.; Abe, S. Implications of form invariance to the structure of nonextensive entropies. Phys. Rev. Lett. 1999, 83, 1711. [Google Scholar] [CrossRef]
- Kaniadakis, G.; Scarfone, A.; Sparavigna, A.; Wada, T. Composition law of κ-entropy for statistically independent systems. Phys. Rev. E 2017, 95, 052112. [Google Scholar] [CrossRef] [PubMed]
- Tsallis, C. Nonadditive entropy: The concept and its use. Eur. Phys. J. A 2009, 40, 257. [Google Scholar] [CrossRef]
- Chavanis, P. Relaxation of a test particle in systems with long-range interactions: Diffusion coefficient and dynamical friction. Eur. Phys. J. B-Condens. Matter Complex Syst. 2006, 52, 61–82. [Google Scholar] [CrossRef]
- Bologna, M.; Tsallis, C.; Grigolini, P. Anomalous diffusion associated with nonlinear fractional derivative Fokker-Planck-like equation: Exact time-dependent solutions. Phys. Rev. E 2000, 62, 2213–2218. [Google Scholar] [CrossRef]
- Lukyanov, A.V.; Sushchikh, M.; Baines, M.J.; Theofanous, T. Superfast nonlinear diffusion: Capillary transport in particulate porous media. Phys. Rev. Lett. 2012, 109, 214501. [Google Scholar] [CrossRef] [PubMed]
- Aronson, D.G. The porous medium equation. In Nonlinear Diffusion Problems: Lectures Given at the 2nd 1985 Session of the Centro Internazionale Matermatico Estivo (CIME) Held at Montecatini Terme, Italy 10–18 June 1985; Springer: Berlin/Heidelberg, Germany, 2006; pp. 1–46. [Google Scholar]
- Tsallis, C.; Bukman, D.J. Anomalous diffusion in the presence of external forces: Exact time-dependent solutions and their thermostatistical basis. Phys. Rev. E 1996, 54, R2197. [Google Scholar] [CrossRef] [PubMed]
- Drazer, G.; Wio, H.S.; Tsallis, C. Anomalous diffusion with absorption: Exact time-dependent solutions. Phys. Rev. E 2000, 61, 1417–1422. [Google Scholar] [CrossRef]
- Frank, T.D. Nonlinear Fokker-Planck Equations: Fundamentals and Applications; Springer Science & Business Media: Berlin/Heidelberg, Germany, 2005. [Google Scholar]
- Marin, D.; Ribeiro, M.; Ribeiro, H.; Lenzi, E. A nonlinear Fokker–Planck equation approach for interacting systems: Anomalous diffusion and Tsallis statistics. Phys. Lett. A 2018, 382, 1903–1907. [Google Scholar] [CrossRef]
- Liang, Y.; Chen, W.; Cai, W. Hausdorff Calculus: Applications to Fractal Systems; Fractional Calculus in Applied Sciences and Engineering, De Gruyter: Berlin, Germany, 2019. [Google Scholar]
- Liang, Y.J.; Chen, W. Bridge fatigue life prediction using Mittag–Leffler distribution. Fatigue Fract. Eng. Mater. Struct. 2014, 37, 255–264. [Google Scholar] [CrossRef]
- Liang, Y.; Chen, W. A survey on computing Lévy stable distributions and a new MATLAB toolbox. Signal Process. 2013, 93, 242–251. [Google Scholar] [CrossRef]
- Abdeljawad, T. On conformable fractional calculus. J. Comput. Appl. Math. 2015, 279, 57–66. [Google Scholar] [CrossRef]
- Chen, W. Time–space fabric underlying anomalous diffusion. Chaos Solitons Fractals 2006, 28, 923–929. [Google Scholar] [CrossRef]
- Wei, Q.; Wang, W.; Zhou, H.; Metzler, R.; Chechkin, A. Time-fractional Caputo derivative versus other integrodifferential operators in generalized Fokker-Planck and generalized Langevin equations. Phys. Rev. E 2023, 108, 024125. [Google Scholar] [CrossRef]
- Caputo, M. Linear Models of Dissipation whose Q is almost Frequency Independent—II. Geophys. J. Int. 1967, 13, 529–539. [Google Scholar] [CrossRef]
- Satin, S.E.; Parvate, A.; Gangal, A. Fokker–Planck equation on fractal curves. Chaos Solitons Fractals 2013, 52, 30–35. [Google Scholar] [CrossRef]
- Liang, Y.; Su, N.; Chen, W. A time-space Hausdorff derivative model for anomalous transport in porous media. Fract. Calc. Appl. Anal. 2019, 22, 1517–1536. [Google Scholar] [CrossRef]
- Rosseto, M.; Ribeiro de Almeida, R.; Lenzi, E.; Evangelista, L.; Zola, R. Probing modulated liquid crystal media with dielectric spectroscopy. J. Mol. Liq. 2023, 390, 122943. [Google Scholar] [CrossRef]
- Naderi, S.; Pouget, E.; Ballesta, P.; van der Schoot, P.; Lettinga, M.P.; Grelet, E. Fractional Hoppinglike Motion in Columnar Mesophases of Semiflexible Rodlike Particles. Phys. Rev. Lett. 2013, 111, 037801. [Google Scholar] [CrossRef]
- Banks, D.S.; Fradin, C. Anomalous Diffusion of Proteins Due to Molecular Crowding. Biophys. J. 2005, 89, 2960–2971. [Google Scholar] [CrossRef]
- Tarasov, V.E. Anisotropic fractal media by vector calculus in non-integer dimensional space. J. Math. Phys. 2014, 55, 083510. [Google Scholar] [CrossRef]
- Vázquez, J.L. The Porous Medium Equation: Mathematical Theory; Oxford University Press: Oxford, UK, 2007. [Google Scholar]
- Casas, G.A.; Nobre, F.D. Nonlinear Fokker-Planck equations in super-diffusive and sub-diffusive regimes. J. Math. Phys. 2019, 60, 053301. [Google Scholar] [CrossRef]
- Plastino, A.R.; Wedemann, R.S.; Tsallis, C. Nonlinear fokker-planck equation for an overdamped system with drag depending on direction. Symmetry 2021, 13, 1621. [Google Scholar] [CrossRef]
- Deppman, A.; Khalili Golmankhaneh, A.; Megías, E.; Pasechnik, R. From the Boltzmann equation with non-local correlations to a standard non-linear Fokker-Planck equation. Phys. Lett. B 2023, 839, 137752. [Google Scholar] [CrossRef]
- Evangelista, L.R.; Lenzi, E.K. Nonlinear Fokker–Planck Equations, H-Theorem and Generalized Entropy of a Composed System. Entropy 2023, 25, 1357. [Google Scholar] [CrossRef]
- Schwämmle, V.; Nobre, F.D.; Curado, E.M.F. Consequences of the H theorem from nonlinear Fokker-Planck equations. Phys. Rev. E 2007, 76, 041123. [Google Scholar] [CrossRef]
- dos Santos, M.; Lenzi, M.; Lenzi, E. Nonlinear Fokker–Planck equations, H–theorem, and entropies. Chin. J. Phys. 2017, 55, 1294–1299. [Google Scholar] [CrossRef]
- Dos Santos, M.; Lenzi, E. Entropic nonadditivity, H theorem, and nonlinear Klein-Kramers equations. Phys. Rev. E 2017, 96, 052109. [Google Scholar] [CrossRef] [PubMed]
- Chavanis, P.H. Nonlinear mean field Fokker-Planck equations. Application to the chemotaxis of biological populations. Eur. Phys. J. B 2008, 62, 179–208. [Google Scholar] [CrossRef]
- Schwämmle, V.; Curado, E.M.; Nobre, F.D. A general nonlinear Fokker-Planck equation and its associated entropy. Eur. Phys. J. B 2007, 58, 159–165. [Google Scholar] [CrossRef]
- Martınez, S.; Pennini, F.; Plastino, A. Thermodynamics’ zeroth law in a nonextensive scenario. Phys. A Stat. Mech. Its Appl. 2001, 295, 416–424. [Google Scholar] [CrossRef]
- Abe, S. Temperature of nonextensive systems: Tsallis entropy as Clausius entropy. Phys. A Stat. Mech. Its Appl. 2006, 368, 430–434. [Google Scholar] [CrossRef]
- Biró, T.; Ván, P. Zeroth law compatibility of nonadditive thermodynamics. Phys. Rev. E 2011, 83, 061147. [Google Scholar] [CrossRef] [PubMed]
- Casas, G.; Nobre, F.; Curado, E. Entropy production and nonlinear Fokker-Planck equations. Phys. Rev. E 2012, 86, 061136. [Google Scholar] [CrossRef]
- Plastino, A.; Wedemann, R.; Nobre, F. H-theorems for systems of coupled nonlinear Fokker-Planck equations. Europhys. Lett. 2022, 139, 11002. [Google Scholar] [CrossRef]
- Penrose, O. Foundations of Statistical Mechanics: A Deductive Treatment; Courier Corporation: Singapore, 2005. [Google Scholar]
- Lebowitz, J.L.; Bergmann, P.G. Irreversible Gibbsian ensembles. Ann. Phys. 1957, 1, 1–23. [Google Scholar] [CrossRef]
- Tsallis, C.; Cirto, L.J. Black hole thermodynamical entropy. Eur. Phys. J. C 2013, 73, 1–7. [Google Scholar] [CrossRef]
- Tsallis, C. An introduction to nonadditive entropies and a thermostatistical approach to inanimate and living matter. Contemp. Phys. 2014, 55, 179–197. [Google Scholar] [CrossRef]
- Plastino, A.; Curado, E.; Nobre, F.; Tsallis, C. From the nonlinear fokker-planck equation to the vlasov description and back: Confined interacting particles with drag. Phys. Rev. E 2018, 97, 022120. [Google Scholar] [CrossRef]
- Lenzi, E.; Mendes, R.; Tsallis, C. Crossover in diffusion equation: Anomalous and normal behaviors. Phys. Rev. E 2003, 67, 031104. [Google Scholar] [CrossRef] [PubMed]
- Tateishi, A.; Lenzi, E.; da Silva, L.; Ribeiro, H.; Picoli, S., Jr.; Mendes, R. Different diffusive regimes, generalized Langevin and diffusion equations. Phys. Rev. E 2012, 85, 011147. [Google Scholar] [CrossRef] [PubMed]
- Li, W.; Wang, Q.A.; Nivanen, L.; Le Méhauté, A. On different q-systems in nonextensive thermostatistics. Eur. Phys. J. B-Condens. Matter Complex Syst. 2005, 48, 95–100. [Google Scholar] [CrossRef]
- Wang, Q.A.; Nivanen, L.; Méhauté, A.L. A composition of different q nonextensive systems with the normalized expectation based on escort probability. arXiv 2006, arXiv:cond-mat/0601255. [Google Scholar]
- Nivanen, L.; Pezeril, M.; Wang, Q.; Le Méhauté, A. Applying incomplete statistics to nonextensive systems with different q indices. Chaos Solitons Fractals 2005, 24, 1337–1342. [Google Scholar] [CrossRef][Green Version]
- Malacarne, L.; Mendes, R.; Pedron, I.; Lenzi, E. Nonlinear equation for anomalous diffusion: Unified power-law and stretched exponential exact solution. Phys. Rev. E 2001, 63, 030101. [Google Scholar] [CrossRef]
- Prato, D.; Tsallis, C. Nonextensive foundation of Lévy distributions. Phys. Rev. E 1999, 60, 2398. [Google Scholar] [CrossRef]
- Tsallis, C.; Levy, S.V.; Souza, A.M.; Maynard, R. Statistical-mechanical foundation of the ubiquity of Lévy distributions in nature. Phys. Rev. Lett. 1995, 75, 3589. [Google Scholar] [CrossRef]
- O’Shaughnessy, B.; Procaccia, I. Analytical solutions for diffusion on fractal objects. Phys. Rev. Lett. 1985, 54, 455. [Google Scholar] [CrossRef]
- O’Shaughnessy, B.; Procaccia, I. Diffusion on fractals. Phys. Rev. A 1985, 32, 3073. [Google Scholar] [CrossRef]
- Zhao, D.; Yu, G.; Li, W. Diffusion on fractal objects modeling and its physics-informed neural network solution. Fractals 2021, 29, 2150071. [Google Scholar] [CrossRef]
- Pascal, J.; Pascal, H. On nonlinear diffusion in fractal structures. Phys. A Stat. Mech. Its Appl. 1994, 208, 351–358. [Google Scholar] [CrossRef]
- Crank, J. The Mathematics of Diffusion; Oxford University Press: Oxford, UK, 1979. [Google Scholar]
- Burden, R.L.; Faires, J.D. Numerical Analysis, 9th ed.; PWS Publishing Co.: Boston, MA, USA, 2011. [Google Scholar]






Disclaimer/Publisher’s Note: The statements, opinions and data contained in all publications are solely those of the individual author(s) and contributor(s) and not of MDPI and/or the editor(s). MDPI and/or the editor(s) disclaim responsibility for any injury to people or property resulting from any ideas, methods, instructions or products referred to in the content. |
© 2023 by the authors. Licensee MDPI, Basel, Switzerland. This article is an open access article distributed under the terms and conditions of the Creative Commons Attribution (CC BY) license (https://creativecommons.org/licenses/by/4.0/).
Share and Cite
Zola, R.S.; Lenzi, E.K.; da Silva, L.R.; Lenzi, M.K. Entropy Production in a Fractal System with Diffusive Dynamics. Entropy 2023, 25, 1578. https://doi.org/10.3390/e25121578
Zola RS, Lenzi EK, da Silva LR, Lenzi MK. Entropy Production in a Fractal System with Diffusive Dynamics. Entropy. 2023; 25(12):1578. https://doi.org/10.3390/e25121578
Chicago/Turabian StyleZola, Rafael S., Ervin K. Lenzi, Luciano R. da Silva, and Marcelo K. Lenzi. 2023. "Entropy Production in a Fractal System with Diffusive Dynamics" Entropy 25, no. 12: 1578. https://doi.org/10.3390/e25121578
APA StyleZola, R. S., Lenzi, E. K., da Silva, L. R., & Lenzi, M. K. (2023). Entropy Production in a Fractal System with Diffusive Dynamics. Entropy, 25(12), 1578. https://doi.org/10.3390/e25121578

