Finite-Size Relaxational Dynamics of a Spike Random Matrix Spherical Model
Abstract
1. Introduction
2. The Model
3. Statistics of the Two Largest Eigenvalues and the Gap for Finite-Size Spike Matrices
3.1. Expectation Value of
3.1.1. Sub-Critical Regime,
3.1.2. Super-Critical Regime,
3.1.3. Critical Regime,
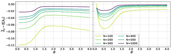
3.2. Expectation Value of
3.3. Statistics of Small Gaps
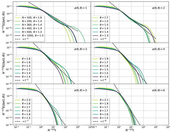
4. Long Time Decay of the Excess Energy
4.1. Limit
4.2. Finite System Size
5. Discussion and Conclusions
Author Contributions
Funding
Institutional Review Board Statement
Conflicts of Interest
References
- Mézard, M.; Parisi, G.; Virasoro, M. Spin Glass Theory and Beyond; World Scientific: Singapore, 1987. [Google Scholar]
- De Dominicis, G.; Giardina, I. Random Fields and Spin Glasses: A Field Theory Approach; Cambridge University Press: Cambridge, MA, USA, 2006. [Google Scholar]
- Parisi, G. Nobel Lecture: Multiple equilibria. arXiv 2023, arXiv:2304.00580. [Google Scholar]
- Mézard, M.; Montanari, A. Information, Physics, and Computation; Oxford University Press: Oxford, UK, 2009. [Google Scholar]
- May, R.M. Qualitative Stability in Model Ecosystems. Ecology 1973, 54, 638–641. [Google Scholar] [CrossRef]
- Hopfield, J. Neural Networks and Physical Systems with Emergent Collective Computational Abilities. Proc. Natl. Acad. Sci. USA 1982, 79, 2554–2558. [Google Scholar] [CrossRef]
- Kosterlitz, J.M.; Thouless, D.J.; Jones, R.C. Spherical Model of a Spin-Glass. Phys. Rev. Lett. 1976, 36, 1217–1220. [Google Scholar] [CrossRef]
- Cugliandolo, L.F.; Dean, D.S. Full dynamical solution for a spherical spin-glass model. J. Phys. A Math. Gen. 1995, 28, 4213–4234. [Google Scholar] [CrossRef]
- Tracy, C.A.; Widom, H. Level-spacing distributions and the Airy kernel. Commun. Math. Phys. 1994, 159, 151–174. [Google Scholar] [CrossRef]
- Tracy, C.A.; Widom, H. On Orthogonal and Symplectic Matrix Ensembles. Commun. Math. Phys. 1996, 177, 727–754. [Google Scholar] [CrossRef]
- Fyodorov, Y.V.; Le Doussal, P. Topology Trivialization and Large Deviations for the Minimum in the Simplest Random Optimization. J. Stat. Phys. 2014, 154, 466–490. [Google Scholar] [CrossRef]
- Baik, J.; Lee, J. Fluctuations of the Free Energy of the Spherical Sherrington–Kirkpatrick Model. J. Stat. Phys. 2016, 165, 185–224. [Google Scholar] [CrossRef]
- Baik, J.; Lee, J.O. Fluctuations of the Free Energy of the Spherical Sherrington–Kirkpatrick Model with Ferromagnetic Interaction. Ann. Henri Poincaré 2017, 18, 1867–1917. [Google Scholar] [CrossRef]
- Johnstone, I.M.; Klochkov, Y.; Onatski, A.; Pavlyshyn, D. Spin glass to paramagnetic transition in Spherical Sherrington-Kirkpatrick model with ferromagnetic interaction. arXiv 2023, arXiv:2104.07629. [Google Scholar]
- Landon, B. Free energy fluctuations of the two-spin spherical SK model at critical temperature. J. Math. Phys. 2022, 63, 033301. [Google Scholar] [CrossRef]
- Fyodorov, Y.V.; Perret, A.; Schehr, G. Large time zero temperature dynamics of the spherical p = 2 spin glass model of finite size. J. Stat. Mech. Theory Exp. 2015, 2015, P11017. [Google Scholar] [CrossRef]
- Barbier, D.; de Freitas Pimenta, P.H.; Cugliandolo, L.F.; Stariolo, D.A. Finite size effects and loss of self-averageness in the relaxational dynamics of the spherical Sherrington–Kirkpatrick model. J. Stat. Mech. Theory Exp. 2021, 2021, 073301. [Google Scholar] [CrossRef]
- Johnstone, I.M. On the Distribution of the Largest Eigenvalue in Principal Components Analysis. Ann. Stat. 2001, 29, 295–327. [Google Scholar] [CrossRef]
- Baik, J.; Arous, G.B.; Péché, S. Phase transition of the largest eigenvalue for nonnull complex sample covariance matrices. Ann. Probab. 2005, 33, 1643–1697. [Google Scholar] [CrossRef]
- Péché, S. The largest eigenvalue of small rank perturbations of Hermitian random matrices. Probab. Theory Relat. Fields 2006, 134, 127–173. [Google Scholar] [CrossRef]
- Féral, D.; Péché, S. The Largest Eigenvalue of Rank One Deformation of Large Wigner Matrices. Commun. Math. Phys. 2007, 272, 185–228. [Google Scholar] [CrossRef]
- Capitaine, M.; Donati-Martin, C.; Féral, D. Central limit theorems for eigenvalues of deformations of Wigner matrices. Ann. L’Institut Henri Poincaré Probab. Stat. 2012, 48, 107–133. [Google Scholar] [CrossRef]
- Mo, M.Y. Rank 1 real Wishart spiked model. Commun. Pure Appl. Math. 2012, 65, 1528–1638. [Google Scholar] [CrossRef]
- Bloemental, A.; Virág, B. Limits of spiked random matrices I. Probab. Theory Relat. Fields 2013, 156, 795–825. [Google Scholar] [CrossRef]
- Pizzo, A.; Renfrew, D.; Soshnikov, A. On finite rank deformations of Wigner matrices. Ann. L’Institut Henri Poincaré Probab. Stat. 2013, 49, 64–94. [Google Scholar] [CrossRef]
- Pacco, A.; Ros, V. Overlaps between eigenvectors of spiked, correlated random matrices: From matrix PCA to random Gaussian landscapes. arXiv 2023, arXiv:2303.04002. [Google Scholar]
- d’Ascoli, S.; Refinetti, M.; Biroli, G. Optimal learning rate schedules in high-dimensional non-convex optimization problems. arXiv 2022, arXiv:2202.04509. [Google Scholar]
- Guionnet, A.; Ko, J.; Krzakala, F.; Zdeborová, L. Low-rank Matrix Estimation with Inhomogeneous Noise. arXiv 2022, arXiv:2208.05918. [Google Scholar]
- Alaoui, A.E.; Krzakala, F.; Jordan, M. Fundamental limits of detection in the spiked Wigner model. Ann. Stat. 2020, 48, 863–885. [Google Scholar] [CrossRef]
- Ros, V.; Ben Arous, G.; Biroli, G.; Cammarota, C. Complex Energy Landscapes in Spiked-Tensor and Simple Glassy Models: Ruggedness, Arrangements of Local Minima, and Phase Transitions. Phys. Rev. X 2019, 9, 011003. [Google Scholar] [CrossRef]
- Edwards, S.F.; Jones, R.C. The eigenvalue spectrum of a large symmetric random matrix. J. Phys. A Math. Gen. 1976, 9, 1595. [Google Scholar] [CrossRef]
- Borot, G.; Nadal, C. Right tail asymptotic expansion of Tracy-Widom beta laws. Random Matrices Theory Appl. 2012, 01, 1250006. [Google Scholar] [CrossRef]
- Bejan, A.I. Largest Eigenvalues and Sample Covariance Matrices. Tracy-Widom and Painlevé II: Computational Aspects and Realization in s-Plus with Applications. 2005. Available online: http://users.stat.umn.edu/~jiang040/downloadpapers/largesteigen/largesteigen.pdf (accessed on 14 March 2023).
- Majumdar, S.N.; Pal, A.; Schehr, G. Extreme value statistics of correlated random variables: A pedagogical review. Phys. Rep. 2020, 840, 1–32. [Google Scholar] [CrossRef]
- Perret, A.; Schehr, G. The Density of Eigenvalues Seen from the Soft Edge of Random Matrices in the Gaussian β-ensembles. Acta Phys. Pol. B 2015, 46, 1693. [Google Scholar] [CrossRef]











Disclaimer/Publisher’s Note: The statements, opinions and data contained in all publications are solely those of the individual author(s) and contributor(s) and not of MDPI and/or the editor(s). MDPI and/or the editor(s) disclaim responsibility for any injury to people or property resulting from any ideas, methods, instructions or products referred to in the content. |
© 2023 by the authors. Licensee MDPI, Basel, Switzerland. This article is an open access article distributed under the terms and conditions of the Creative Commons Attribution (CC BY) license (https://creativecommons.org/licenses/by/4.0/).
Share and Cite
de Freitas Pimenta, P.H.; Stariolo, D.A. Finite-Size Relaxational Dynamics of a Spike Random Matrix Spherical Model. Entropy 2023, 25, 957. https://doi.org/10.3390/e25060957
de Freitas Pimenta PH, Stariolo DA. Finite-Size Relaxational Dynamics of a Spike Random Matrix Spherical Model. Entropy. 2023; 25(6):957. https://doi.org/10.3390/e25060957
Chicago/Turabian Stylede Freitas Pimenta, Pedro H., and Daniel A. Stariolo. 2023. "Finite-Size Relaxational Dynamics of a Spike Random Matrix Spherical Model" Entropy 25, no. 6: 957. https://doi.org/10.3390/e25060957
APA Stylede Freitas Pimenta, P. H., & Stariolo, D. A. (2023). Finite-Size Relaxational Dynamics of a Spike Random Matrix Spherical Model. Entropy, 25(6), 957. https://doi.org/10.3390/e25060957

