Dictionary Learning Based Scheme for Adversarial Defense in Continuous-Variable Quantum Key Distribution
Abstract
1. Introduction
2. Preliminaries
2.1. Datasets and Parameter Settings
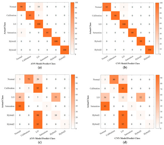
2.2. The Establishment of Neural Network and Training Results
2.3. Adversarial Attack
- FGSM: Goodfellow et al. [36] proposed a simple fast gradient adversarial attack method. The main idea is to find the direction with the largest gradient change of the deep learning model, and add adversarial disturbances according to this direction, resulting in wrong classification of the model. This is a non-target attack method which is calculated as follows:
- Deepfool: Moosavi-Dezfool et al. [37] improved the generation strategy of adversarial samples and proposed an iterative method to calculate the minimum adversarial disturbance, and gradually pushed the samples within the legal sample boundary out of the boundary, resulting in wrong classification. They defined a new index in their paper to evaluate the classifier robustness. For a classifier , we define the distance between and decision boundary as:
3. Defense Strategy
3.1. Regularized Self-Representation-Locality Preserving Projects (RSR-LPP)
3.2. Reconstruction of Sparse Coding
4. Performance
5. Conclusions
Author Contributions
Funding
Institutional Review Board Statement
Informed Consent Statement
Data Availability Statement
Acknowledgments
Conflicts of Interest
References
- Scarani, V.; Bechmann-Pasquinucci, H.; Cerf, N.J.; Dusek, M.; Lutkenhaus, N.; Peev, M. The security of practicalquantum key distribution. Rev. Mod. Phys. 2009, 81, 1301. [Google Scholar] [CrossRef]
- Li, L.; Huang, P.; Wang, T.; Zeng, G. Practical security of a chip-based continuous-variable quantum-key-distribution system. Phys. Rev. A 2021, 103, 032611. [Google Scholar] [CrossRef]
- Jouguet, P.; Kunz-Jacques, S.; Leverrier, A.; Grangier, P. Experimental demonstration of long-distance continuous-variable quantum key distribution. Nat. Photon. 2013, 7, 378. [Google Scholar] [CrossRef]
- Pereira, M.; Kato, G.; Mizutani, A.; Curty, M.; Tamaki, K. Quantum key distribution with correlated sources. Sci. Adv. 2020, 6, eaaz4487. [Google Scholar] [CrossRef]
- Xu, F.; Curty, M.; Qi, B.; Qian, L.; Lo, H.K. Discrete and continuous variables for measurement-device-independent quantum cryptography. Nat. Photonics 2015, 9, 772–773. [Google Scholar] [CrossRef]
- Li, Y.; Wang, Y.; Mao, Y.; Peng, W.; Jin, D.; Guo, Y. Continuous-Variable Quantum Key Distribution Based on Heralded Hybrid Linear Amplifier with a Local Local Oscillator. Entropy 2021, 23, 1395. [Google Scholar] [CrossRef]
- Weedbrook, C.; Pirandola, S.; García-Patrón, R.; Cerf, N.J.; Ralph, T.C.; Shapiro, J.H.; Lloyd, S. Gaussian quantum information. Rev. Mod. Phys. 2012, 84, 621. [Google Scholar] [CrossRef]
- Leverrier, A. Composable Security Proof for Continuous-Variable Quantum Key Distribution with Coherent States. Phys. Rev. Lett. 2015, 114, 070501. [Google Scholar] [CrossRef] [PubMed]
- Leverrier, A.; Grosshans, F.; Grangier, P. Finite-size analysis of a continuous-variable quantum key distribution. Phys. Rev. A 2010, 81, 062343. [Google Scholar] [CrossRef]
- Zhong, H.; Zou, S.; Huang, D.; Guo, Y. Continuous-variable quantum key distribution coexisting with classical signals on few-mode fiber. Opt. Express 2021, 29, 14486–14504. [Google Scholar] [CrossRef] [PubMed]
- Pirandola, S.; Andersen, U.L.; Banchi, L.; Berta, M.; Bunandar, D.; Colbeck, R.; Englund, D.; Gehring, T.; Lupo, C.; Ottaviani, C.; et al. Advances in quantum cryptography. Adv. Opt. Photon. 2020, 12, 1012–1236. [Google Scholar] [CrossRef]
- Bennett, C.H.; Brassard, G. Quantum cryptography: Public key distribution and coin tossing. Theor. Comput. Sci. 2014, 560, 7–11. [Google Scholar] [CrossRef]
- Zhao, Y.; Fung, C.-H.F.; Qi, B. Quantum hacking: Experimental demonstration of time-shift attack against practical quantum-key-distribution systems. Phys. Rev. A 2008, 78, 042333. [Google Scholar] [CrossRef]
- Makarov, V.; Anisimov, A.; Skaar, J. Effects of detector efficiency mismatch on security of quantum cryptosystems. Phys. Rev. A. 2006, 74, 022313. [Google Scholar] [CrossRef]
- Jain, N.; Wittmann, C.; Lydersen, L. Device calibration impacts security of quantum key distribution. Phys. Rev. Lett. 2011, 107, 110501. [Google Scholar] [CrossRef] [PubMed]
- Wang, X.-B.; Yang, L.; Peng, C.-Z.; Pan, J.-W. Decoy-state quantum key distribution with both source errors and statistical fluctuations. New J. Phys. 2009, 11, 075006. [Google Scholar] [CrossRef]
- Huang, D.; Liu, S.; Zhang, L. Secure Continuous-Variable Quantum Key Distribution with Machine Learning. Phtonics 2021, 8, 511. [Google Scholar] [CrossRef]
- Huang, J.; Weedbrook, C.; Yin, Z.; Wang, S.; Li, H.; Chen, W.; Guo, G.; Han, Z. Quantum hacking of a continuous-variable quantum-key-distribution system using a wavelength attack. Phys. Rev. A 2013, 87, 062329. [Google Scholar] [CrossRef]
- Huang, D.; Huang, P.; Lin, D.; Zeng, G. Long-distance continuous-variable quantum key distribution by controlling excess noise. Sci. Rep. 2016, 6, 19201. [Google Scholar] [CrossRef] [PubMed]
- Mao, Y.; Huang, W.; Zhong, H.; Wang, Y.; Qin, H.; Guo, Y.; Huang, D. Detecting quantum attacks: A machine learning based defense strategy for practical continuous-variable quantum key distribution. New J. Phys. 2020, 22, 083073. [Google Scholar] [CrossRef]
- Luo, H.; Zhang, L.; Qin, H.; Sun, S.; Huang, P.; Wang, Y.; Wu, Z.; Guo, Y.; Huang, D. Beyond universal attack detection for continuous-variable quantum key distribution via deep learning. Phys. Rev. A 2022, 105, 042411. [Google Scholar] [CrossRef]
- Li, H.; Xu, X.; Zhang, X.; Yang, S.; Li, B. Qeba: Queryefficient boundary-based blackbox attack. In Proceedings of the 2020 IEEE/CVF Conference on Computer Vision and Pattern Recognition (CVPR), Seattle, WA, USA, 13–19 June 2020; p. 1218. [Google Scholar]
- Liu, Y.; Chen, X.; Liu, C.; Song, D. Delving into transferable adversarial examples and black-box attacks. arXiv 2017, arXiv:1611.02770. [Google Scholar]
- Das, S.; Suganthan, P.N. Differential evolution: A survey of the state-of-the-art. IEEE Trans. Evol. Comput. 2011, 15, 4. [Google Scholar] [CrossRef]
- Duan, R.; Ma, X.; Wang, Y.; Bailey, J.; Qin, A.K.; Yang, Y. Adversarial camouflage: Hiding physical-world attacks with natural styles. In Proceedings of the IEEE/CVF Conference on Computer Vision and Pattern Recognition (CVPR), Seattle, WA, USA, 13–19 June 2020; pp. 997–1005. [Google Scholar]
- Li, Y.; Liu, S. The Threat of Adversarial Attack on a COVID-19 CT Image-Based Deep Learning System. Bioengineering 2023, 10, 194. [Google Scholar] [CrossRef] [PubMed]
- Guo, Y.; Yin, P.; Huang, D. One-Pixel Attack for Continuous-Variable Quantum Key Distribution Systems. Photonics 2023, 10, 129. [Google Scholar] [CrossRef]
- Li, Z.; Feng, C.; Wu, M.; Yu, H.; Zheng, J.; Zhu, F. Adversarial robustness via attention transfer. Pattern Recognit. Lett. 2021, 146, 172–178. [Google Scholar] [CrossRef]
- Yuan, X.; He, P.; Zhu, Q.; Li, X. Adversarial examples: Attacks and defenses for deep learning. IEEE Trans. Neural Netw. Learn. Syst. 2019, 30, 2805–2824. [Google Scholar] [CrossRef]
- Su, J.; Vargas, D.V.; Sakurai, K. One pixel attack for fooling deep neural networks. IEEE Trans. Evol. Comput. 2019, 23, 828–841. [Google Scholar] [CrossRef]
- Huang, P.; Huang, J.; Wang, T.; Li, H.; Huang, D.; Zeng, G. Robust continuous-variable quantum key distribution against practical attacks. Phys. Rev. A 2017, 95, 052302. [Google Scholar] [CrossRef]
- Luo, H.; Wang, Y.; Ye, W.; Zhong, H.; Mao, Y.; Guo, Y. Parameter estimation of continuous variable quantum key distribution system via artificial neural networks. Chin. Phys. B 2022, 31, 2. [Google Scholar] [CrossRef]
- Zhang, C.; Lu, Y. Study on artifificial intelligence: The state of the art and future prospects. J. Ind. Inf. Integr. 2021, 23, 100224. [Google Scholar]
- Maqsood, H.; Maqsood, M.; Yasmin, S.; Mehmood, I.; Moon, J.; Rho, S. Analyzing the Stock Exchange Markets of EU Nations: A Case Study of Brexit Social Media Sentiment. Systems 2022, 10, 24. [Google Scholar] [CrossRef]
- Madokoro, H.; Yamamoto, S.; Nishimura, Y.; Nix, S.; Woo, H.; Sato, K. Prototype Development of Small Mobile Robots for Mallard Navigation in Paddy Fields: Toward Realizing Remote Farming. Robotics 2021, 10, 63. [Google Scholar] [CrossRef]
- Goodfellow, I.J.; Shlens, J.; Szegedy, C. Explaining and Harnessing Adversarial Examples. arXiv 2014. [Google Scholar] [CrossRef]
- Moosavidezfooli, S.; Fawzi, A.; Frossard, P. Deepfool: A Simple and Accurate Method to Fool Deep Neural Networks. In Proceedings of the IEEE Conference on Computer Vision and Pattern Recognition (CVPR), Las Vegas, NV, USA, 27–30 June 2016; pp. 2574–2582. [Google Scholar]
- Zheng, S.; Song, Y.; Leung, T. Improving the robustness of deep neural networks via stability training. In Proceedings of the 2016 IEEE Conference on Computer Vision and Pattern Recognition, Las Vegas, NV, USA, 27–30 June 2016; pp. 4480–4488. [Google Scholar]
- Metzen, J.H.; Genewein, T.; Fischer, V. On detecting adversarial perturbations. In Proceedings of the 5th International Conference on Learning Representations, Toulon, France, 24–26 April 2017. [Google Scholar]
- Zantedeschi, V.; Nicolae, M.I.; Rawat, A. Efficient defenses against adversarial attacks. In Proceedings of the 10th ACM Workshop on Artificial, Intelligence and Security, Dallas, TX, USA, 3 November 2017. [Google Scholar]
- Ross, A.S.; Doshi-Velez, F. Improving the adversarial robustness and interpretability of deep neural networks by regularizing their input gradients. In Proceedings of the 2018 AAAI Conference on Artificial Intelligence, New Orleans, LA, USA, 2–7 February 2018. [Google Scholar]
- Samangouei, P.; Kabkab, M.; Chellappa, R. Defense GAN: Protecting classifiers against adversarial attacks using generative models. In Proceedings of the 6th International Conference on Learning Representations, Vancouver, BC, Canada, 30 April–3 May 2018. [Google Scholar]
- Xu, W.L.; Evans, D.; Qi, Y.J. Feature squeezing: Detecting adversarial examples in deep neural networks. In Proceedings of the 25th Annual Network and Distributed System Security Symposium NDSS, San Diego, CA, USA, 18–21 February 2018. [Google Scholar]
- Jiang, Z.; Lin, Z.; Davis, L. Label consistent k-svd: Learning a discriminative dictionary for recognition. IEEE Trans. Pattern Anal. Mach. Intell. 2013, 35, 2651–2664. [Google Scholar] [CrossRef]
- Huang, K.; Tao, Z.; Liu, Y.; Sun, B.; Yang, C.; Gui, W.; Hu, S. Adaptive multimode process monitoring based on modematching and similarity-preserving dictionary learning. IEEE Trans. Cybern. 2022, 1, 1–14. [Google Scholar]










| Method | Algorithm | Perturbation Norm | Victim Information |
|---|---|---|---|
| FGSM | attacks based on gradient | white-box | |
| Deepfool | attacks based on gradient | white-box | |
| PGD | attacks based on gradient | white-box | |
| L-BFGS | attacks based on optimization | white-box | |
| C&W | attacks based on optimization | white-box | |
| UAP | attacks based on optimization | black-box |
| Method | Average Accuracy |
|---|---|
| With no defense | 0.8% |
| JPEG | 25.3% |
| ComDefend | 33.1% |
| The proposed method | 80% |
| Attack Algorithm | Proposed Algorithm | JPEG | TVM | PDWD | ComDefend | |
|---|---|---|---|---|---|---|
| FGSM | ||||||
| Average | ||||||
| Deepfool | ||||||
| Average | ||||||
| Total Average | ||||||
| Attack Algoritm | LPP | RSR-LPP | |
|---|---|---|---|
| FGSM | |||
| Deepfool | |||
Disclaimer/Publisher’s Note: The statements, opinions and data contained in all publications are solely those of the individual author(s) and contributor(s) and not of MDPI and/or the editor(s). MDPI and/or the editor(s) disclaim responsibility for any injury to people or property resulting from any ideas, methods, instructions or products referred to in the content. |
© 2023 by the authors. Licensee MDPI, Basel, Switzerland. This article is an open access article distributed under the terms and conditions of the Creative Commons Attribution (CC BY) license (https://creativecommons.org/licenses/by/4.0/).
Share and Cite
Li, S.; Yin, P.; Zhou, Z.; Tang, J.; Huang, D.; Zhang, L. Dictionary Learning Based Scheme for Adversarial Defense in Continuous-Variable Quantum Key Distribution. Entropy 2023, 25, 499. https://doi.org/10.3390/e25030499
Li S, Yin P, Zhou Z, Tang J, Huang D, Zhang L. Dictionary Learning Based Scheme for Adversarial Defense in Continuous-Variable Quantum Key Distribution. Entropy. 2023; 25(3):499. https://doi.org/10.3390/e25030499
Chicago/Turabian StyleLi, Shimiao, Pengzhi Yin, Zehao Zhou, Jianheng Tang, Duan Huang, and Ling Zhang. 2023. "Dictionary Learning Based Scheme for Adversarial Defense in Continuous-Variable Quantum Key Distribution" Entropy 25, no. 3: 499. https://doi.org/10.3390/e25030499
APA StyleLi, S., Yin, P., Zhou, Z., Tang, J., Huang, D., & Zhang, L. (2023). Dictionary Learning Based Scheme for Adversarial Defense in Continuous-Variable Quantum Key Distribution. Entropy, 25(3), 499. https://doi.org/10.3390/e25030499

