Correction: Kudo, K. Localization Detection Based on Quantum Dynamics. Entropy 2022, 24, 1085
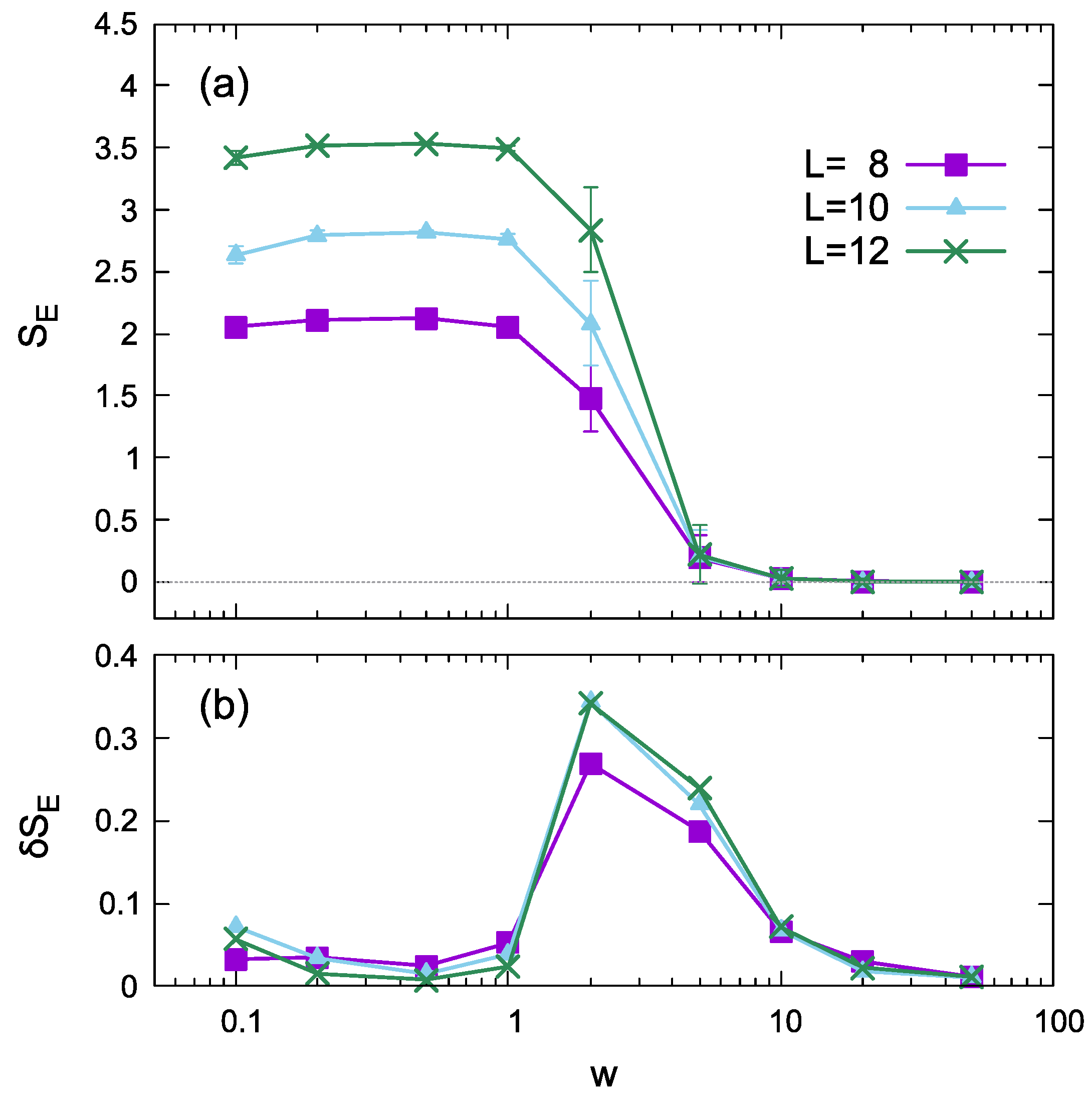
- Section 3.1, the third paragraph:
- Section 3.2, the third paragraph:
Reference
- Kudo, K. Localization Detection Based on Quantum Dynamics. Entropy 2022, 24, 1085. [Google Scholar] [CrossRef] [PubMed]

Publisher’s Note: MDPI stays neutral with regard to jurisdictional claims in published maps and institutional affiliations. |
© 2022 by the author. Licensee MDPI, Basel, Switzerland. This article is an open access article distributed under the terms and conditions of the Creative Commons Attribution (CC BY) license (https://creativecommons.org/licenses/by/4.0/).
Share and Cite
Kudo, K. Correction: Kudo, K. Localization Detection Based on Quantum Dynamics. Entropy 2022, 24, 1085. Entropy 2022, 24, 1697. https://doi.org/10.3390/e24111697
Kudo K. Correction: Kudo, K. Localization Detection Based on Quantum Dynamics. Entropy 2022, 24, 1085. Entropy. 2022; 24(11):1697. https://doi.org/10.3390/e24111697
Chicago/Turabian StyleKudo, Kazue. 2022. "Correction: Kudo, K. Localization Detection Based on Quantum Dynamics. Entropy 2022, 24, 1085" Entropy 24, no. 11: 1697. https://doi.org/10.3390/e24111697
APA StyleKudo, K. (2022). Correction: Kudo, K. Localization Detection Based on Quantum Dynamics. Entropy 2022, 24, 1085. Entropy, 24(11), 1697. https://doi.org/10.3390/e24111697

