Bearing Fault Diagnosis Method Based on RCMFDE-SPLR and Ocean Predator Algorithm Optimizing Support Vector Machine
Abstract
1. Introduction
2. Refined Composite Multiscale Fluctuation-Based Dispersion entropy
2.1. Dispersion Entropy
2.2. Refined Composite Multiscale Fluctuation-Based Dispersion Entropy
3. Self-Paced Learning and Low-Redundant Regularization
3.1. Self-Paced Learning Framework
3.2. Low-Redundant Regularization
4. Adaptive SVM Model Based on Ocean Predator Algorithm
4.1. Support Vector Machine Theory
4.2. Marine Predator Optimization Support Vector Machine
5. Experimental Analysis
5.1. Experimental Data and the Method of This Paper
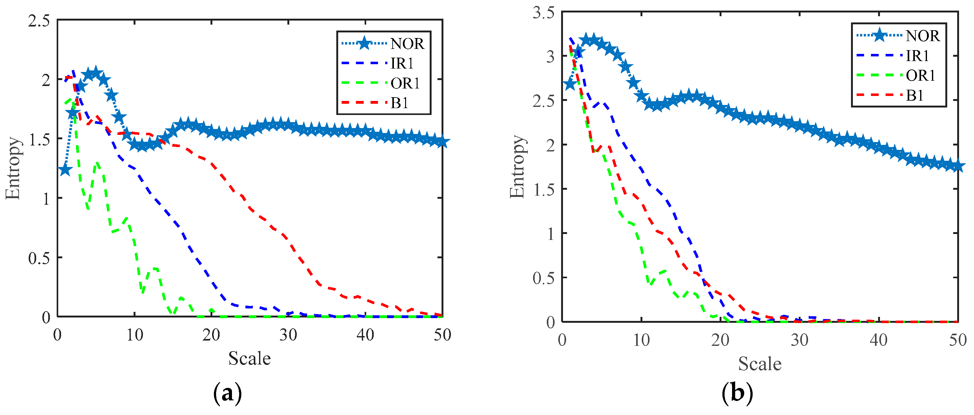
5.2. Experiment Analysis of RCMFDE Characteristic Extraction
5.3. Experimental Analysis of SPLR Characteristic Optimization
5.4. Experimental Analysis of Bearing Fault Diagnosis
6. Conclusions
Supplementary Materials
Author Contributions
Funding
Institutional Review Board Statement
Informed Consent Statement
Data Availability Statement
Acknowledgments
Conflicts of Interest
References
- Cerrada, M.; Sanchez, R.V.; Li, C.; Pacheco, F.; Cabrera, D.; Oliveira, J.V.D.; Vasquez, R.E. A review on data-driven fault severity assessment in rolling bearings. Mech. Syst. Signal Process. 2018, 99, 169–196. [Google Scholar] [CrossRef]
- Li, C.; Zheng, J.; Pan, H.; Tong, J.; Zhang, Y. Refined Composite Multivariate Multiscale Dispersion Entropy and Its Application to Fault Diagnosis of Rolling Bearing. IEEE Access 2019, 7, 47663–47673. [Google Scholar] [CrossRef]
- Feng, F.; Rao, G.; Jiang, P.; Min, Q. Analysis on comparison of Permutation Entropy with Correlation Dimension for abnormality detection of a rolling bearing. In Proceedings of the 2012 International Conference on Quality, Reliability, Risk, Maintenance, and Safety Engineering, Chengdu, China, 15–18 June 2012. [Google Scholar]
- An, X.; Pan, L. Wind turbine bearing fault diagnosis based on adaptive local iterative filtering and approximate entropy. Proc. Inst. Mech. Eng. Part C J. Mech. Eng. Sci. 2017, 231, 3228–3237. [Google Scholar] [CrossRef]
- Xuguang, L.; Liyou, F. Rolling bearing fault diagnosis based on MEEMD sample entropy and SSA-SVM. In Proceedings of the 4th International Conference on Mechanical, Electrical and Material Application, Chongqing, China, 29–31 October 2021; Volume 2125. [Google Scholar]
- Minh-Quang, T.; Mahmoud, E.; Meng-Kun, L. Effective feature selection with fuzzy entropy and similarity classifier for chatter vibration diagnosis. Measurement 2021, 184, 109962. [Google Scholar]
- Wang, Z.; Yao, L.; Cai, Y. Rolling bearing fault diagnosis using generalized refined composite multiscale sample entropy and optimized support vector machine. Measurement 2020, 156, 107574. [Google Scholar] [CrossRef]
- Rostaghi, M.; Azami, H. Dispersion Entropy: A Measure for Time-Series Analysis. IEEE Signal Process. Lett. 2016, 23, 610–614. [Google Scholar] [CrossRef]
- Azami, H.; Rostaghi, M.; Abásolo, D.; Escudero, J. Refined Composite Multiscale Dispersion Entropy and its Application to Biomedical Signals. IEEE Trans. Bio Med. Eng. 2017, 64, 2872–2879. [Google Scholar] [CrossRef] [PubMed]
- Zhang, X.; Zhang, M.; Wan, S.; He, Y.; Wang, X. A bearing fault diagnosis method based on multiscale dispersion entropy and GG clustering. Measurement 2021, 185, 110023. [Google Scholar] [CrossRef]
- Azami, H.; Rostaghi, M.; Escudero, J. Refined Composite Multiscale Dispersion Entropy: A Fast Measure of Complexity. arXiv 2016, arXiv:1606.01379. [Google Scholar]
- Zhiming, Z. Bearing Fault Diagnosis Based on Refined Composite Multi-Scale Dispersion Entropy and Extenics. IEEE Trans. Electr. Electron. Eng. 2021, 17, 479–485. [Google Scholar]
- Jie, L.; Wenlei, S.; Hongwei, W.; Fan, Z. Coordinated Approach Fusing RCMDE and Sparrow Search Algorithm-Based SVM for Fault Diagnosis of Rolling Bearings. Sensors 2021, 21, 5297. [Google Scholar]
- Zhang, X.; Zhao, J.; Teng, H.; Liu, G. A novel faults detection method for rolling bearing based on RCMDE and ISVM. J. Vibroengineering 2019, 21, 2148–2158. [Google Scholar] [CrossRef]
- Yang, H.; Li, L.-L.; Li, G.-H.; Guan, Q.-R. A novel feature extraction method for ship-radiated noise. Def. Technol. 2022, 18, 604–617. [Google Scholar] [CrossRef]
- Song, C.; LiAi, C.; DaGui, W.; HeSheng, C. Rolling Bearing Fault Diagnosis Method Based on Eigenvalue Selection and Dimension Reduction Algorithm. Int. J. Pattern Recognit. Artif. Intell. 2021, 35, 9. [Google Scholar]
- Lu, N.; Zhang, G.; Xiao, Z.; Malik, O.P. Feature Extraction Based on Adaptive Multiwavelets and LTSA for Rotating Machinery Fault Diagnosis. Shock Vib. 2019, 2019, 1201084. [Google Scholar] [CrossRef]
- Zhang, Y.; Ye, D.; Liu, Y.; Cai, Y. Machinery fault diagnosis via an improved multi-linear subspace and locally linear embedding. Trans. Inst. Meas. Control 2018, 40. [Google Scholar] [CrossRef]
- Chen, X.; Li, H.; Cheng, G.; Peng, L. Study on planetary gear degradation state recognition method based on the features with multiple perspectives and LLTSA. IEEE Access 2019, 7, 7565–7576. [Google Scholar] [CrossRef]
- Qiang, G.; Shen, F.; Zhao, J. Improved Manifold Learning with competitive Hebbian rule. In Proceedings of the International Joint Conference on Neural Networks (IJCNN), Killarney, ON, Canada, 12–17 July 2015. [Google Scholar]
- Li, W.; Chen, H.; Li, T.; Wan, J.; Sang, B. Unsupervised feature selection via self-paced learning and low-redundant regularization. Knowl.-Based Syst. 2022, 240, 108150. [Google Scholar]
- Zheng, J.; Pan, H.; Tong, J.; Liu, Q. Generalized refined composite multiscale fuzzy entropy and multi-cluster feature selection based intelligent fault diagnosis of rolling bearing. ISA Trans. 2021, 123, 136–151. [Google Scholar] [CrossRef]
- Hong, G.; Suh, D. Supervised-Learning-Based Intelligent Fault Diagnosis for Mechanical Equipment. IEEE Access 2021, 9, 116147–116162. [Google Scholar] [CrossRef]
- Ding, C.; Bao, T.Y.; Huang, H.L. Quantum-Inspired Support Vector Machine. IEEE Trans. Neural Netw. Learn. Syst. 2021. [Google Scholar] [CrossRef]
- Fengfeng, B.; Yifan, W.; Ying, Z.; Jian, P.; Hongfei, Z. An Integrated Model of Atom Search Optimization-Based Resonance Sparse Signal Decomposition and Cross-Validation SVM for Gearbox Fault Diagnosis. Shock Vib. 2022, 2022, 4069180. [Google Scholar]
- Wang, M.; Chen, Y.; Zhang, X.; Chau, K.; Iu, C.; Ho, H.; Fernando, T.; Li, Z.; Ma, M. Roller Bearing Fault Diagnosis Based on Integrated Fault Feature and SVM. J. Vib. Eng. Technol. 2021, 10, 853–862. [Google Scholar] [CrossRef]
- Faramarzi, A.; Heidarinejad, M.; Mirjalili, S.; Gandomi, A.H. Marine Predators Algorithm: A Nature-inspired Metaheuristic. Expert Syst. Appl. 2020, 152, 113377. [Google Scholar] [CrossRef]
- Ratsuda, N.; Anongrit, K. Applying of Marine Predators Algorithm Linked with Reservoir Simulation Model considering Sedimentation for Reservoir Operation. Adv. Civ. Eng. 2022, 2022, 1631914. [Google Scholar]
- Padhy, S.; Sahu, P.R.; Panda, S.; Padmanaban, S.; Guerrero, J.M.; Khan, B. Marine predator algorithm based PD-(1+PI) controller for frequency regulation in multi-microgrid system. IET Renew. Power Gener. 2022, 16, 2136–2151. [Google Scholar] [CrossRef]
- Abualigah, L.; Al-Okbi, N.K.; Elaziz, M.A.; Houssein, E.H. Boosting Marine Predators Algorithm by Salp Swarm Algorithm for Multilevel Thresholding Image Segmentation. Multimed. Tools Appl. 2022, 81, 16707–16742. [Google Scholar] [CrossRef] [PubMed]
- Bengio, Y.; Louradour, J.; Collobert, R.; Weston, J. Curriculum learning. In Proceedings of the 26th Annual International Conference on Machine Learning, ICML 2009, Montreal, QC, Canada, 14–18 June 2009. [Google Scholar]
- Kumar, M.P.; Packer, B.; Koller, D. Self-Paced Learning for Latent Variable Models. Int. Conf. Neural Inf. Process. Syst. 2010, 23, 1189–1197. [Google Scholar]
- Zhu, X.; Zhang, Z. Improved self-paced learning framework for nonnegative matrix factorization. Pattern Recognit. Lett. 2017, 97, 1–7. [Google Scholar] [CrossRef]














| Notation | Description |
|---|---|
| Original data matrix | |
| Projection matrix | |
| Reconstruction matrix | |
| Similarity matrix of characteristic space | |
| Similarity matrix of data space | |
| The trace of X | |
| Category | Size/mm | Abbreviation | Rotating Speed/(r/min) | Label |
|---|---|---|---|---|
| Normal | 0 | NOR | 1797 | 1 |
| Inner ring failure | 0.007 | IR1 | 1797 | 2 |
| 0.014 | IR2 | 1797 | 3 | |
| 0.021 | IR3 | 1797 | 4 | |
| Outer ring failure | 0.007 | OR1 | 1797 | 5 |
| 0.014 | OR2 | 1797 | 6 | |
| 0.021 | OR3 | 1797 | 7 | |
| Balling failure | 0.007 | B1 | 1797 | 8 |
| 0.014 | B2 | 1797 | 9 | |
| 0.021 | B3 | 1797 | 10 |
| Number | 1 | 2 | 3 | 4 | 5 | 6 | 7 | 8 |
| RCMFDE | 1.2393 | 1.7110 | 1.9494 | 2.0398 | 2.0500 | 1.9940 | 1.8413 | 1.6508 |
| Number | 9 | 10 | 11 | 12 | 13 | 14 | 15 | 16 |
| RCMFDE | 1.4647 | 1.3704 | 1.3503 | 1.3645 | 1.4019 | 1.4648 | 1.5402 | 1.6051 |
| Number | 17 | 18 | 19 | 20 | 21 | 22 | 23 | 24 |
| RCMFDE | 1.6361 | 1.6307 | 1.6174 | 1.6081 | 1.5910 | 1.5856 | 1.5920 | 1.6009 |
| Accuracy | d = 7 | d = 8 | d = 9 | d = 10 | d = 32 |
|---|---|---|---|---|---|
| maxIter = 50 | 97.67% | 96% | 96.33% | 95.67% | 97% |
| maxIter = 100 | 95.67% | 96.67% | 95.33% | 95% | 97% |
| maxIter = 150 | 96.67% | 96.67% | 95.33% | 95.33% | 97% |
| maxIter = 200 | 95% | 95.33% | 95.33% | 94.67% | 97% |
| Method | SVM Recognition Rate | MPA–SVM Recognition Rate |
|---|---|---|
| MDE | 87.33% | 89.33% |
| MFE | 91% | 93% |
| MFDE | 93% | 93% |
| RCMDE | 89% | 94.33% |
| RCMFDE | 94% | 97% |
| RCMFDE-SPLR | 95.33% | 97.67% |
Publisher’s Note: MDPI stays neutral with regard to jurisdictional claims in published maps and institutional affiliations. |
© 2022 by the authors. Licensee MDPI, Basel, Switzerland. This article is an open access article distributed under the terms and conditions of the Creative Commons Attribution (CC BY) license (https://creativecommons.org/licenses/by/4.0/).
Share and Cite
Yi, M.; Zhou, C.; Yang, L.; Yang, J.; Tang, T.; Jia, Y.; Yuan, X. Bearing Fault Diagnosis Method Based on RCMFDE-SPLR and Ocean Predator Algorithm Optimizing Support Vector Machine. Entropy 2022, 24, 1696. https://doi.org/10.3390/e24111696
Yi M, Zhou C, Yang L, Yang J, Tang T, Jia Y, Yuan X. Bearing Fault Diagnosis Method Based on RCMFDE-SPLR and Ocean Predator Algorithm Optimizing Support Vector Machine. Entropy. 2022; 24(11):1696. https://doi.org/10.3390/e24111696
Chicago/Turabian StyleYi, Mingxiu, Chengjiang Zhou, Limiao Yang, Jintao Yang, Tong Tang, Yunhua Jia, and Xuyi Yuan. 2022. "Bearing Fault Diagnosis Method Based on RCMFDE-SPLR and Ocean Predator Algorithm Optimizing Support Vector Machine" Entropy 24, no. 11: 1696. https://doi.org/10.3390/e24111696
APA StyleYi, M., Zhou, C., Yang, L., Yang, J., Tang, T., Jia, Y., & Yuan, X. (2022). Bearing Fault Diagnosis Method Based on RCMFDE-SPLR and Ocean Predator Algorithm Optimizing Support Vector Machine. Entropy, 24(11), 1696. https://doi.org/10.3390/e24111696

