The Analysis of the Power Law Feature in Complex Networks
Abstract
1. Introduction
2. The Power Law Feature Analysis of Complex Networks
2.1. Model
- (1)
- The initial network is a complete graph with nodes;
- (2)
- At each unit of time, randomly delete a node from the network with probability , or add a new node to the network with probability and connect it with old nodes of the network by preferential connection. That is, the probability that the new node connects with an old node i depends on the degree of node i, i.e., .
- (a)
- Considering the real world, any network size has its lower bound . Here, we assume that . This assumption will not affect the power law feature of the model.
- (b)
- If at time , a node is deleted, then all the edges incident to the removed node are also removed from the network; thus, the degree of its neighbors decreases by one.
- (c)
- If at time , a new node is added to the network and the network size is less than , then the new node is connected with all old nodes.
2.2. Steady-State Degree Distribution
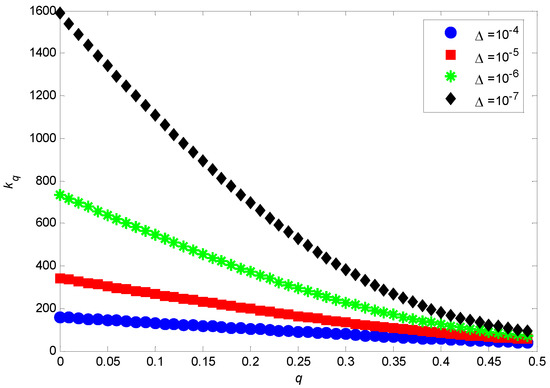
2.3. Power Exponent
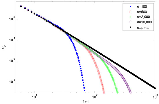
3. The Analysis of Realistic Results
4. Conclusions
Author Contributions
Funding
Conflicts of Interest
Appendix A
- Add a node and link it to the old nodes by preferential attachment;
- (i)
- The one-step transition probability that turns to or is given as follows:
- (ii)
- The one-step transition probability that turns to is given as follows:
- (iii)
- The one-step transition probability that turns to is given as follows:
- Delete a node randomly;
- (iv)
- The one-step transition probability that turns to is given as follows:
- (v)
- The one-step transition probability that turns to is given as follows:
References
- Barabási, A.-L.; Albert, R. Emergence of Scaling in Random Networks. Science 1999, 286, 509–512. [Google Scholar] [CrossRef] [PubMed]
- Albert, R.; Jeong, H.; Barabási, A.-L. Error and attack tolerance of complex networks. Nature 2000, 406, 378. [Google Scholar] [CrossRef] [PubMed]
- Cohen, R.; Erez, K.; Ben-Avraham, D.; Havlin, S. Resilience of the Internet to Random Breakdowns. Phys. Rev. Lett. 2000, 85, 4626–4628. [Google Scholar] [CrossRef]
- Pastor-Satorras, R.; Vespignani, A. Epidemic Spreading in Scale-Free Networks. Phys. Rev. Lett. 2001, 86, 3200–3203. [Google Scholar] [CrossRef] [PubMed]
- Toroczkai; Zoltán; Bassler, K.E. Network dynamics: Jamming is limited in scale-free systems. Nature 2004, 428, 6984. [Google Scholar] [CrossRef] [PubMed]
- Barabási, A.-L.; Albert, R.; Jeong, H. Mean-field theory for scale-free random networks. Phys. A Stat. Mech. Appl. 1999, 272, 173–187. [Google Scholar] [CrossRef]
- Krapivsky, P.L.; Redner, S.; Leyvraz, F. Connectivity of Growing Random Networks. Phys. Rev. Lett. 2000, 85, 4629–4632. [Google Scholar] [CrossRef] [PubMed]
- Dorogovtsev, S.N.; Mendes, J.F.F.; Samukhin, A.N. Structure of Growing Networks with Preferential Linking. Phys. Rev. Lett. 2000, 85, 4633–4636. [Google Scholar] [CrossRef]
- Clauset, A.; Shalizi, C.R.; Newman, M.E.J. Power-Law Distributions in Empirical Data. SIAM Rev. 2009, 51, 661–703. [Google Scholar] [CrossRef]
- Sethna, J.P. Entropy, Order Parameters, and Complexity; Oxford Univ. Press: Oxford, UK, 2010. [Google Scholar]
- Stumpf, M.P.H.; Porter, M.A. Critical Truths About Power Laws. Science 2012, 335, 665–666. [Google Scholar] [CrossRef]
- Redner, S. How popular is your paper? An empirical study of the citation distribution. Eur. Phys. J. B 1998, 4, 131–134. [Google Scholar] [CrossRef]
- Albert, R.; Jeong, H.; Barabási, A.-L. Internet Diameter of the World-Wide Web. Nature 1999, 401, 130. [Google Scholar] [CrossRef]
- Jeong, H.; Tombor, B.; Albert, R.; Oltvai, Z.N.; Barabasi, A. The large-scale organization of metabolic networks. Nature 2000, 407, 651–654. [Google Scholar] [CrossRef] [PubMed]
- Jeong, H.; Mason, S.P.; Barabasi, A.-L.; Oltvai, Z.N. Lethality and centrality in protein networks. Nature 2001, 411, 41. [Google Scholar] [CrossRef]
- Ravasz, E.; Somera, A.L.; Mongru, D.A.; Oltvai, Z.N.; Barabasi, A.-L. Hierarchical Organization of Modularity in Metabolic Networks. Science 2002, 297, 1551–1555. [Google Scholar] [CrossRef]
- Cooper, C.; Frieze, A.; Vera, J. Random deletion in a scale-free random graph process. Internet Math. 2004, 1, 4. [Google Scholar] [CrossRef]
- Song, C.; Havlin, S.; Makse, H.A. Self-similarity of complex networks. Nature 2005, 433, 392–395. [Google Scholar] [CrossRef]
- Yu, H.; Braun, P.; Yıldırım, M.A.; Lemmens, I.; Venkatesan, K.; Sahalie, J.; Hirozane-Kishikawa, T.; Gebreab, F.; Li, N.; Simonis, N.; et al. High-Quality Binary Protein Interaction Map of the Yeast Interactome Network. Science 2008, 322, 104–110. [Google Scholar] [CrossRef]
- Johnson, N.; Carran, S.; Botner, J.; Fontaine, K.; Laxague, N.; Nuetzel, P.; Turnley, J.; Tivnan, B. Pattern in Escalations in Insurgent and Terrorist Activity. Science 2011, 333, 81–84. [Google Scholar] [CrossRef]
- Barabási, A.-L. Network Science; Cambridge University Press: Cambridge, UK, 2016. [Google Scholar]
- Tanaka, R. Scale-Rich Metabolic Networks. Phys. Rev. Lett. 2005, 94, 168101. [Google Scholar] [CrossRef]
- Khanin, R.; Wit, E. How Scale-Free Are Biological Networks. J. Comput. Biol. 2006, 13, 810–818. [Google Scholar] [CrossRef] [PubMed]
- Willinger, W.; Alderson, D.L.; Doyle, J.C. Mathematics and the Internet: A Source of Enormous Confusion and Great Potential. Not. AM. Math. Soc. 2009, 56, 586. [Google Scholar]
- Lima-Mendez, G.; Helden, J.V. The powerful law of the power law and other myths in network biology. Mol. BioSyst. 2009, 5, 1482. [Google Scholar] [CrossRef] [PubMed]
- Broido, A.D.; Clauset, A. Scale-free networks are rare. Nat. Commun. 2019, 10, 1017. [Google Scholar] [CrossRef]
- Eom, Y.-H.; Fortunato, S. Characterizing and Modeling Citation Dynamics. PLoS ONE 2011, 6, e24926. [Google Scholar] [CrossRef]
- Ghoshal, G.; Chi, L.; Barabási, A.-L. Uncovering the role of elementary processes in network evolution. Sci. Rep. 2013, 3, 2920. [Google Scholar] [CrossRef]
- Stumpf, M.P.H.; Wiuf, C.; May, R.M. Subnets of scale-free networks are not scale-free: Sampling properties of networks. Proc. Natl. Acad. Sci. USA 2005, 102, 4221–4224. [Google Scholar] [CrossRef]
- Virkar, Y.; Clauset, A. Power-law distribution in binned empirical data. Ann. Appl. Stat. 2014, 8, 89. [Google Scholar] [CrossRef]
- Moore, C.; Ghoshal, G.; Newman, M.E.J. Exact solutions for models of evolving networks with addition and deletion of nodes. Phys. Rev. E 2006, 74, 036121. [Google Scholar] [CrossRef]
- Ben-Naim, E.; Krapivsky, P.L. Addition-Deletion Networks. J. Phys. A: Math. Theor. 2007, 40, 8607. [Google Scholar] [CrossRef]
- Saldaña, J. Continuum formalism for modeling growing networks with deletion of nodes. Phys. Rev. E 2007, 75, 027102. [Google Scholar] [CrossRef] [PubMed]
- Zhang, X.; He, Z.; Rayman-Bacchus, L. Random Birth-and-Death Networks. J. Stat. Phys. 2016, 162, 842–854. [Google Scholar] [CrossRef]
- Yule, G. A mathematical theory of evolution based on the conclusions of Dr. J.C. Willis. Philos. Trans. R. Soc. Lond. Ser. B 1925, 213, 21. [Google Scholar]
- Luria, S.E.; Delbrück, M. Mutations of bacteria from virus sensitivity to virus resistance. Genetics 1943, 28, 491–511. [Google Scholar] [CrossRef] [PubMed]
- Banavar, J.R.; Maritan, A.; Rinaldo, A. Size and form in efficient transportation networks. Nature 1999, 399, 130–132. [Google Scholar] [CrossRef] [PubMed]
- Arthur, W.B. Complexity and the Economy. Science 1999, 284, 107. [Google Scholar] [CrossRef] [PubMed]
- Sherwood, R.; Bender, A.; Spring, N. DisCarte: A disjunctive Internet cartographer. ACM SIGCOMM Comput. Comm. Rev. 2008, 38, 303. [Google Scholar] [CrossRef]
- Merton, R.K. The Matthew effect in science. The reward and communication systems of science are considered. Science 1968, 159, 56–63. [Google Scholar] [CrossRef]
- Rossiter, M.W. The Matthew Matilda Effect in Science. Soc. Stud. Sci. 1993, 23, 325–341. [Google Scholar] [CrossRef]
- Hillary, F.G.; Rajtmajer, S.M.; Roman, C.A.; Medaglia, J.D.; Slocomb-Dluzen, J.E.; Calhoun, V.D.; Good, D.C.; Wylie, G.R. The Rich Get Richer: Brain Injury Elicits Hyperconnectivity in Core Subnetworks. PLoS ONE 2014, 9, e104021. [Google Scholar] [CrossRef]
- Marshall, E. Tax man’s gloomy message: The rich will get richer. Science 2014, 344, 826–827. [Google Scholar] [CrossRef] [PubMed]
- Zhang, X.J.; He, Z.S.; He, Z.; Rayman-Bacchus, L. SPR-based Markov chain method for degree distributions of evolving netwoeks. Phys. A 2012, 391, 3350. [Google Scholar] [CrossRef]
- Erdős, P.; Rényi, A. On the evolution of random graphs. Publ. Math. Inst. Hung. Acad. Sci. 1960, 5, 17–60. [Google Scholar]
- Bollobás, B. Random Graphs; Academic Press: London, UK, 1985. [Google Scholar]
- Watts, D.J.; Strogatz, S.H. Collective dynamics of ‘small-world’ networks. Nature 1998, 393, 440–442. [Google Scholar] [CrossRef]
- Dorogovtsev, S.N.; Mendes, J.F.F. Evolution of Networks. Adv. Phys. 2002, 51, 1079. [Google Scholar] [CrossRef]
- Albert, R.; Barabási, A.-L. Statistical mechanics of complex networks. Rev. Mod. Phys. 2002, 74, 47–97. [Google Scholar] [CrossRef]
- Newman, M.E.J. The Structure and Function of Complex Networks. SIAM Rev. 2003, 45, 167–256. [Google Scholar] [CrossRef]




Publisher’s Note: MDPI stays neutral with regard to jurisdictional claims in published maps and institutional affiliations. |
© 2022 by the authors. Licensee MDPI, Basel, Switzerland. This article is an open access article distributed under the terms and conditions of the Creative Commons Attribution (CC BY) license (https://creativecommons.org/licenses/by/4.0/).
Share and Cite
Zhang, X.; He, Z.; Zhang, L.; Rayman-Bacchus, L.; Shen, S.; Xiao, Y. The Analysis of the Power Law Feature in Complex Networks. Entropy 2022, 24, 1561. https://doi.org/10.3390/e24111561
Zhang X, He Z, Zhang L, Rayman-Bacchus L, Shen S, Xiao Y. The Analysis of the Power Law Feature in Complex Networks. Entropy. 2022; 24(11):1561. https://doi.org/10.3390/e24111561
Chicago/Turabian StyleZhang, Xiaojun, Zheng He, Liwei Zhang, Lez Rayman-Bacchus, Shuhui Shen, and Yue Xiao. 2022. "The Analysis of the Power Law Feature in Complex Networks" Entropy 24, no. 11: 1561. https://doi.org/10.3390/e24111561
APA StyleZhang, X., He, Z., Zhang, L., Rayman-Bacchus, L., Shen, S., & Xiao, Y. (2022). The Analysis of the Power Law Feature in Complex Networks. Entropy, 24(11), 1561. https://doi.org/10.3390/e24111561

