Time-Delay Identification Using Multiscale Ordinal Quantifiers
Abstract
:1. Introduction
2. Time Delay Identification Methods
2.1. Ordinal Symbolization Recipe
2.2. Ordinal Entropic Quantifiers
2.3. An Ordinal-Patterns-Based New Approach to Time-Delay Identification
2.4. Autocorrelation Function
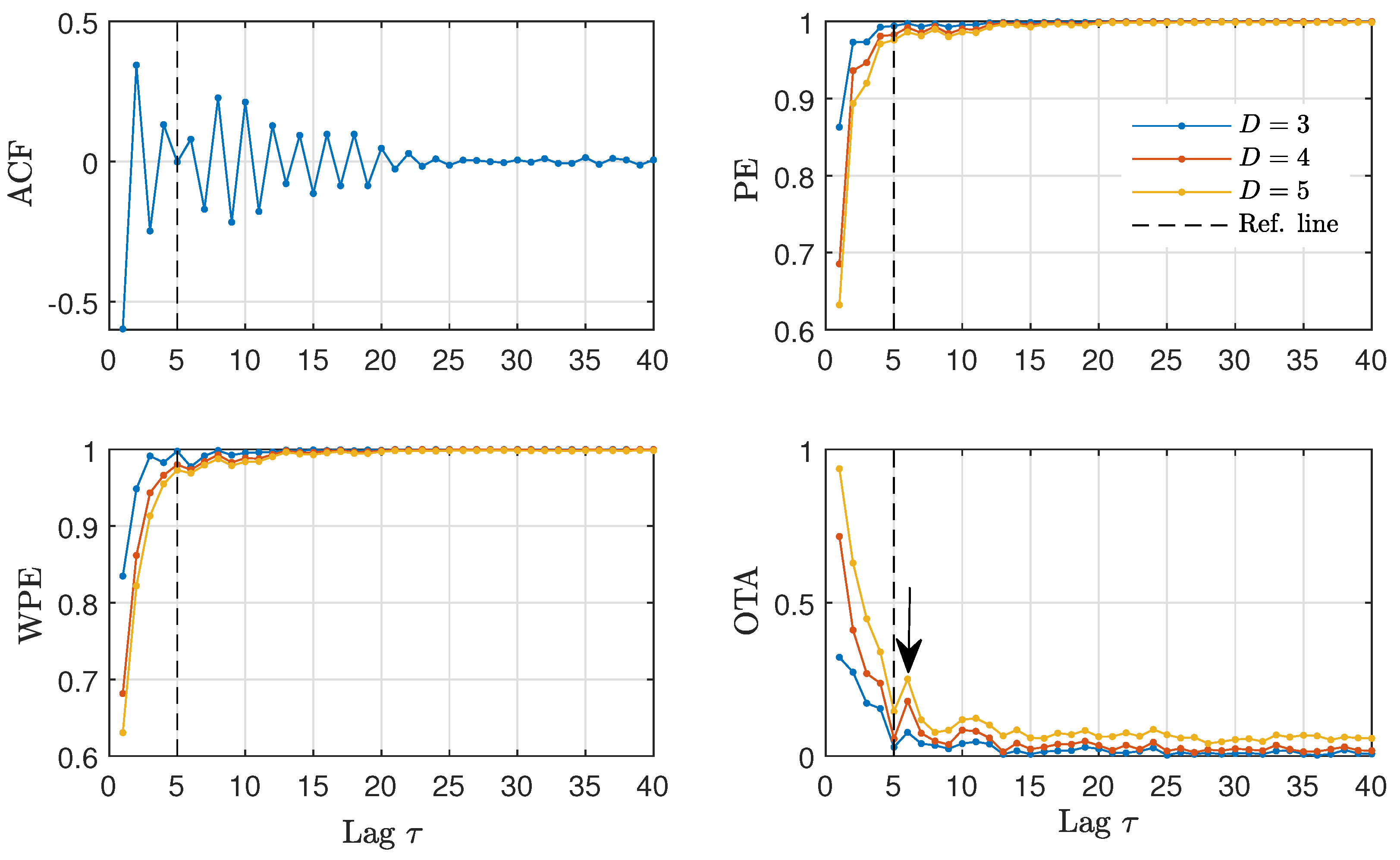
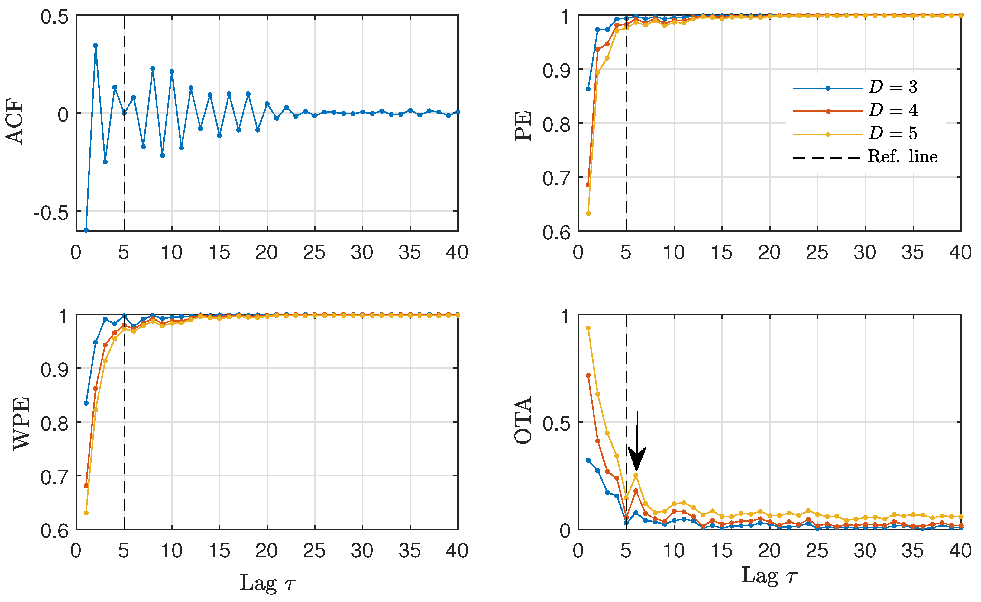
3. Numerical Analysis
3.1. Stochastic Models
3.1.1. Moving Average Models
3.1.2. Auto-Regressive Models
3.2. Deterministic Chaotic Models
4. An Illustrative Real Application
5. Conclusions
Author Contributions
Funding
Data Availability Statement
Acknowledgments
Conflicts of Interest
Abbreviations
| ACF | Autocorrelation Function |
| AR | Auto-regressive |
| LMA | Linear Moving Average |
| NLMA | Nonlinear Moving Average |
| OTA | Ordinal Temporal Asymmetry |
| PE | Permutation Entropy |
| WPE | Weighted Permutation Entropy |
References
- Erneux, T. Applied Delay Differential Equations; Springer Science & Business Media: Berlin/Heidelberg, Germany, 2009; Volume 3. [Google Scholar]
- Smith, H. An Introduction to Delay Differential Equations with Applications to the Life Sciences; Springer: New York, NY, USA, 2011; Volume 57. [Google Scholar]
- Lang, R.; Kobayashi, K. External optical feedback effects on semiconductor injection laser properties. IEEE J. Quantum Electron. 1980, 16, 347–355. [Google Scholar] [CrossRef]
- Ikeda, K.; Daido, H.; Akimoto, O. Optical turbulence: Chaotic behavior of transmitted light from a ring cavity. Phys. Rev. Lett. 1980, 45, 709. [Google Scholar] [CrossRef]
- Soriano, M.C.; García-Ojalvo, J.; Mirasso, C.R.; Fischer, I. Complex photonics: Dynamics and applications of delay-coupled semiconductors lasers. Rev. Mod. Phys. 2013, 85, 421. [Google Scholar] [CrossRef] [Green Version]
- Argyris, A.; Syvridis, D.; Larger, L.; Annovazzi-Lodi, V.; Colet, P.; Fischer, I.; Garcia-Ojalvo, J.; Mirasso, C.R.; Pesquera, L.; Shore, K.A. Chaos-based communications at high bit rates using commercial fibre-optic links. Nature 2005, 438, 343–346. [Google Scholar] [CrossRef]
- Rontani, D.; Locquet, A.; Sciamanna, M.; Citrin, D.S. Loss of time-delay signature in the chaotic output of a semiconductor laser with optical feedback. Opt. Lett. 2007, 32, 2960–2962. [Google Scholar] [CrossRef] [Green Version]
- Nguimdo, R.M.; Colet, P.; Larger, L.; Pesquera, L. Digital key for chaos communication performing time-delay concealment. Phys. Rev. Lett. 2011, 107, 034103. [Google Scholar] [CrossRef] [Green Version]
- Li, N.; Pan, W.; Locquet, A.; Citrin, D.S. Time-delay concealment and complexity enhancement of an external-cavity laser through optical injection. Opt. Lett. 2015, 40, 4416–4419. [Google Scholar] [CrossRef] [PubMed]
- Gao, X.; Zhu, W.; Yang, Q.; Zeng, D.; Deng, L.; Chen, Q.; Cheng, M. Time delay estimation from the time series for optical chaos systems using deep learning. Opt. Express 2021, 29, 7904–7915. [Google Scholar] [CrossRef]
- Karamched, B.; Hripcsak, G.; Albers, D.; Ott, W. Delay-induced uncertainty for a paradigmatic glucose-insulin model. Chaos 2021, 31, 023142. [Google Scholar] [CrossRef] [PubMed]
- Prokhorov, M.D.; Ponomarenko, V.I.; Khorev, V.S. Recovery of delay time from time series based on the nearest neighbor method. Phys. Lett. A 2013, 377, 3106–3111. [Google Scholar] [CrossRef]
- Faura, U.; Lafuente, M.; Matilla-García, M.; Ruiz, M. Identifying the most relevant lag with runs. Entropy 2015, 17, 2706–2722. [Google Scholar] [CrossRef] [Green Version]
- Bandt, C.; Pompe, B. Permutation entropy: A natural complexity measure for time series. Phys. Rev. Lett. 2002, 88, 174102. [Google Scholar] [CrossRef] [PubMed]
- Fadlallah, B.; Chen, B.; Keil, A.; Príncipe, J. Weighted-permutation entropy: A complexity measure for time series incorporating amplitude information. Phys. Rev. E 2013, 87, 022911. [Google Scholar] [CrossRef] [Green Version]
- Matilla-García, M.; Ruiz Marín, M. Detection of non-linear structure in time series. Econ. Lett. 2021, 105, 1–6. [Google Scholar] [CrossRef]
- Zunino, L.; Soriano, M.C.; Fischer, I.; Rosso, O.A.; Mirasso, C.R. Permutation-information-theory approach to unveil delay dynamics from time-series analysis. Phys. Rev. E 2010, 82, 046212. [Google Scholar] [CrossRef] [Green Version]
- Porte, X.; D’Huys, O.; Jüngling, T.; Brunner, D.; Soriano, M.C.; Fischer, I. Autocorrelation properties of chaotic delay dynamical systems: A study on semiconductor lasers. Phys. Rev. E 2014, 90, 052911. [Google Scholar] [CrossRef] [Green Version]
- Zanin, M.; Zunino, L.; Rosso, O.A.; Papo, D. Permutation entropy and its main biomedical and econophysics applications: A review. Entropy 2012, 14, 1553–1577. [Google Scholar] [CrossRef]
- Zunino, L.; Olivares, F.; Scholkmann, F.; Rosso, O.A. Permutation entropy based time series analysis: Equalities in the input signal can lead to false conclusions. Phys. Lett. A 2017, 381, 1883–1892. [Google Scholar] [CrossRef] [Green Version]
- Amigó, J.M.; Zambrano, S.; Sanjuán, M.A.F. True and false forbidden patterns in deterministic and random dynamics. EPL 2007, 79, 50001. [Google Scholar] [CrossRef]
- Riedl, M.; Müller, A.; Wessel, N. Practical considerations of permutation entropy. Eur. Phys. J. Spec. Top. 2013, 222, 249–262. [Google Scholar] [CrossRef]
- Soriano, M.C.; Zunino, L.; Rosso, O.A.; Fischer, I.; Mirasso, C.R. Time scales of a chaotic semiconductor laser with optical feedback under the lens of a permutation information analysis. IEEE J. Quantum Electron. 2011, 47, 252–261. [Google Scholar] [CrossRef] [Green Version]
- Xiang, S.Y.; Pan, W.; Wen, A.J.; Li, N.Q.; Zhang, L.Y.; Shang, L.; Zhang, H.X. Conceal time-delay signature of chaos in semiconductor lasers with dual-path injection. IEEE Photonics Technol. Lett. 2013, 25, 1398–1401. [Google Scholar] [CrossRef]
- Toomey, J.P.; Kane, D.M. Mapping the dynamic complexity of a semiconductor laser with optical feedback using permutation entropy. Opt. Express 2014, 22, 1713–1725. [Google Scholar] [CrossRef]
- Toomey, J.P.; Argyris, A.; McMahon, C.; Syvridis, D.; Kane, D.M. Time-scale independent permutation entropy of a photonic integrated device. J. Light. Technol. 2016, 35, 88–95. [Google Scholar] [CrossRef]
- Bandt, C. Small order patterns in big time series: A practical guide. Entropy 2019, 21, 613. [Google Scholar] [CrossRef] [PubMed] [Green Version]
- Bandt, C. Order patterns, their variation and change points in financial time series and Brownian motion. Stat. Pap. 2020, 61, 1565–1588. [Google Scholar] [CrossRef] [Green Version]
- Cuesta-Frau, D.; Molina-Picó, A.; Vargas, B.; González, P. Permutation entropy: Enhancing discriminating power by using relative frequencies vector of ordinal patterns instead of their Shannon entropy. Entropy 2019, 21, 1013. [Google Scholar] [CrossRef] [Green Version]
- Gunther, I.; Pattanayak, A.K.; Aragoneses, A. Ordinal patterns in the Duffing oscillator: Analyzing powers of characterization. Chaos 2021, 31, 023104. [Google Scholar] [CrossRef] [PubMed]
- Aragoneses, A.; Carpi, L.; Tarasov, N.; Churkin, D.V.; Torrent, M.C.; Masoller, C.; Turitsyn, S.K. Unveiling temporal correlations characteristic of a phase transition in the output intensity of a fiber laser. Phys. Rev. Lett. 2016, 116, 033902. [Google Scholar] [CrossRef] [PubMed] [Green Version]
- Carpi, L.; Masoller, C. Persistence and stochastic periodicity in the intensity dynamics of a fiber laser during the transition to optical turbulence. Phys. Rev. A 2018, 97, 023842. [Google Scholar] [CrossRef] [Green Version]
- Trostel, M.L.; Misplon, M.Z.R.; Aragoneses, A.; Pattanayak, A.K. Characterizing complex dynamics in the classical and semi-classical Duffing oscillator using ordinal patterns analysis. Entropy 2018, 20, 40. [Google Scholar] [CrossRef] [Green Version]
- Budzinski, R.C.; Lopes, S.R.; Masoller, C. Symbolic analysis of bursting dynamical regimes of Rulkov neural networks. Neurocomputing 2021, 441, 44–51. [Google Scholar] [CrossRef]
- Martinez Alvarez, N.; Borkar, S.; Masoller, C. Predictability of extreme intensity pulses in optically injected semiconductor lasers. Eur. Phys. J. Spec. Top. 2017, 226, 1971–1977. [Google Scholar] [CrossRef] [Green Version]
- Colet, M.; Aragoneses, A. Forecasting events in the complex dynamics of a semiconductor laser with optical feedback. Sci. Rep. 2018, 8, 10741. [Google Scholar] [CrossRef] [Green Version]
- Aragoneses, A.; Ding, Y. Correlations preceding high-intensity events in the chaotic dynamics of a Raman fiber laser. Entropy 2019, 21, 151. [Google Scholar] [CrossRef] [PubMed] [Green Version]
- Parlitz, U.; Berg, S.; Luther, S.; Schirdewan, A.; Kurths, J.; Wessel, N. Classifying cardiac biosignals using ordinal pattern statistics and symbolic dynamics. Comput. Biol. Med. 2012, 42, 319–327. [Google Scholar] [CrossRef] [PubMed]
- Zanin, M.; Rodríguez-González, A.; Menasalvas Ruiz, E.; Papo, D. Assessing time series reversibility through permutation patterns. Entropy 2018, 20, 665. [Google Scholar] [CrossRef]
- Box, G.E.P.; Jenkins, G.M.; Reinsel, G.C. Time Series Analysis: Forecasting and Control; Prentice Hall: Upper Saddle River, NJ, USA, 1994. [Google Scholar]
- Farmer, J.D. Chaotic attractors of an infinite-dimensional dynamical system. Physica D 1982, 4, 366–393. [Google Scholar] [CrossRef]
- Ikeda, K.; Matsumoto, K. High-dimensional chaotic behavior in systems with time-delayed feedback. Physica D 1987, 29, 223–235. [Google Scholar] [CrossRef]
- Casdagli, M. Nonlinear prediction of chaotic time series. Physica D 1989, 35, 335–356. [Google Scholar] [CrossRef]
- Principe, J.C.; Rathie, A.; Kuo, J.M. Prediction of chaotic time series with neural networks and the issue of dynamic modeling. Int. J. Bifurc. Chaos 1992, 2, 989–996. [Google Scholar] [CrossRef] [Green Version]
- Sprott, J.C. High dimensional dynamics in the delayed Hénon map. Electron. J. Theor. Phys. 2006, 3, 19–35. [Google Scholar]
- Amigó, J.M.; Zambrano, S.; Sanjuán, M.A.F. Detecting determinism in time series with ordinal patterns: A comparative study. Int. J. Bifurc. Chaos 2010, 20, 2915–2924. [Google Scholar] [CrossRef]
- Rontani, D.; Locquet, A.; Sciamanna, M.; Citrin, D.S.; Ortin, S. Time-delay identification in a chaotic semiconductor laser with optical feedback: A dynamical point of view. IEEE J. Quantum Electron. 2009, 45, 879–891. [Google Scholar] [CrossRef]
- Hurrell, J.W.; Kushnir, Y.; Visbeck, M. The North Atlantic Oscillation. Science 2001, 291, 603–605. [Google Scholar] [CrossRef] [PubMed] [Green Version]
- Ambaum, M.H.P.; Hoskins, B.J. The NAO troposphere–stratosphere connection. J. Clim. 2002, 15, 1969–1978. [Google Scholar] [CrossRef] [Green Version]
- Norton, W. Sensitivity of Northern Hemisphere surface climate to simulation of the stratospheric polar vortex. Geophys. Res. Lett. 2003, 30. [Google Scholar] [CrossRef]
- Keeley, S.P.E.; Sutton, R.T.; Shaffrey, L.C. Does the North Atlantic Oscillation show unusual persistence on intraseasonal timescales? Geophys. Res. Lett. 2009, 36. [Google Scholar] [CrossRef]









Publisher’s Note: MDPI stays neutral with regard to jurisdictional claims in published maps and institutional affiliations. |
© 2021 by the authors. Licensee MDPI, Basel, Switzerland. This article is an open access article distributed under the terms and conditions of the Creative Commons Attribution (CC BY) license (https://creativecommons.org/licenses/by/4.0/).
Share and Cite
Soriano, M.C.; Zunino, L. Time-Delay Identification Using Multiscale Ordinal Quantifiers. Entropy 2021, 23, 969. https://doi.org/10.3390/e23080969
Soriano MC, Zunino L. Time-Delay Identification Using Multiscale Ordinal Quantifiers. Entropy. 2021; 23(8):969. https://doi.org/10.3390/e23080969
Chicago/Turabian StyleSoriano, Miguel C., and Luciano Zunino. 2021. "Time-Delay Identification Using Multiscale Ordinal Quantifiers" Entropy 23, no. 8: 969. https://doi.org/10.3390/e23080969
APA StyleSoriano, M. C., & Zunino, L. (2021). Time-Delay Identification Using Multiscale Ordinal Quantifiers. Entropy, 23(8), 969. https://doi.org/10.3390/e23080969
