Computational Hardness of Collective Coin-Tossing Protocols
Abstract
1. Introduction
- Geometric/combinatorial proof-technique. Section 3 models a coin-tossing protocol as a martingale that evolves from to in discrete time-steps. Any stopping time in this coin-tossing martingale translates into adversarial attacks on the coin-tossing protocol. Khorasgani, Maji, and Mukherjee [14] introduced an inductive approach that characterizes a lower bound on the insecurity of any such coin-tossing protocol. Furthermore, their approach is constructive, i.e., it constructs a coin-tossing protocol such that its insecurity is, at most, . Surprisingly, these secure coin-tossing protocols are more secure than the folklore constructions widely believed to be optimal earlier.
- Algebraized version. Section 4 presents an algebraic version of the proof technique mentioned above, as introduced by [16,30]. This proof technique sacrifices a small constant factor on the lower bound on insecurity. However, the algebraized proof technique extends to more complicated information-theoretic models where parties have access to oracles. These lower bounds to insecurity in complex relativized settings translate into black-box separation results [31,32] settling several long-standing open problems.
- Connection to isoperimetric inequalities. Section 5 establishes a connection between the security of optimal coin-tossing protocols in the information-theoretic model and isoperimetric inequalities in product spaces over large alphabets. Isoperimetric inequalities in product spaces of large alphabets are known to be not sufficiently well-behaved. The cryptographic perspective into isoperimetric inequalities makes a case for new “symmetrized” versions of these isoperimetric inequalities. For example, the initial results of [29] demonstrate that these symmetrized isoperimetric inequalities are significantly more well-behaved.
2. Preliminaries and Model
2.1. System Specification
2.2. Extensions
2.3. Adversary and Security Model
2.4. Notations and Terminology
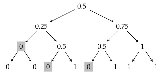
2.5. Coin-Tossing Protocols as Trees
3. Optimal Coin-Tossing Protocols: A Geometric Approach
3.1. A Representative Motivating Application
3.2. Martingale Problem Statement
3.3. Prior Approaches to the General Martingale Problem
3.4. Inductive Approach
- Base case. Note that the base case is (see Figure 3 for this argument).
- Inductive step. Given the curve , one identifies a geometric transformationT (see Figure fig:transform-def) that defines the curve from the curve .Furthermore, for any , there exist martingales such that its susceptibility is exactly .
3.5. Related Work: Multiple Corruptions
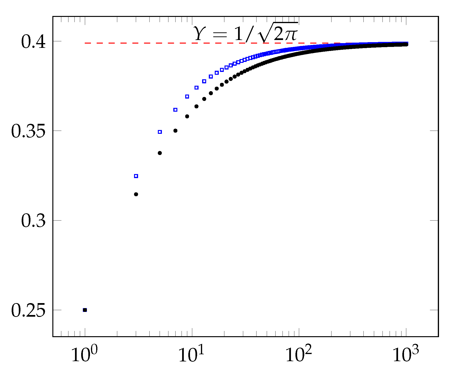
3.6. Experimental Results
4. Hardness of Computation Relative to Oracles
4.1. Summary of Relevant Work
4.1.1. Impagliazzo’s Worlds
4.1.2. Relevant Results
4.2. Augmented Protocols
4.3. Technical Proof
5. Isoperimetric Inequalities
6. Conclusions
Funding
Institutional Review Board Statement
Informed Consent Statement
Data Availability Statement
Acknowledgments
Conflicts of Interest
References
- Ben-Or, M.; Linial, N. Collective Coin Flipping, Robust Voting Schemes and Minima of Banzhaf Values. In Proceedings of the 26th Annual Symposium on Foundations of Computer Science, Portland, OR, USA, 21–23 October 1985; pp. 408–416. [Google Scholar] [CrossRef]
- Ben-Or, M.; Linial, N. Collective Coin Flipping. Adv. Comput. Res. 1989, 5, 91–115. [Google Scholar]
- Kruskal, J.B. The number of simplices in a complex. Math. Optim. Tech. 1963, 10, 251–278. [Google Scholar]
- Katona, G. A Theorem for Finite Sets, Theory of Graphs; Erdös, P., Katona, G., Eds.; Academic Press: Cambridge, MA, USA, 1968. [Google Scholar]
- Harper, L.H. Optimal numberings and isoperimetric problems on graphs. J. Comb. Theory 1966, 1, 385–393. [Google Scholar] [CrossRef]
- Santha, M.; Vazirani, U.V. Generating Quasi-Random Sequences from Slightly-Random Sources (Extended Abstract). In Proceedings of the 25th Annual Symposium on Foundations of Computer Science, Singer Island, FL, USA, 24–26 October1984; pp. 434–440. [Google Scholar] [CrossRef]
- Chor, B.; Goldreich, O.; Håstad, J.; Friedman, J.; Rudich, S.; Smolensky, R. The Bit Extraction Problem of t-Resilient Functions (Preliminary Version). In Proceedings of the 26th Annual Symposium on Foundations of Computer Science, Portland, OR, USA, 21–23 October 1985; pp. 396–407. [Google Scholar] [CrossRef]
- Vazirani, U.V. Towards a Strong Communication Complexity Theory or Generating Quasi-Random Sequences from Two Communicating Slightly-random Sources (Extended Abstract). In Proceedings of the 17th Annual ACM Symposium on Theory of Computing, Providence, RI, USA, 6–8 May 1985; ACM Press: Providence, RI, USA, 1985; pp. 366–378. [Google Scholar] [CrossRef]
- Friedman, J. On the Bit Extraction Problem. In Proceedings of the 33rd Annual Symposium on Foundations of Computer Science, Pittsburgh, PA, USA, 24–27 October 1992; pp. 314–319. [Google Scholar] [CrossRef]
- Cleve, R.; Impagliazzo, R. Martingales, collective coin flipping and discrete control processes. Other Words 1993, 1, 5. [Google Scholar]
- Dachman-Soled, D.; Lindell, Y.; Mahmoody, M.; Malkin, T. On the Black-Box Complexity of Optimally-Fair Coin Tossing. In Proceedings of the 8th Theory of Cryptography Conference, TCC 2011, Providence, RI, USA, 28–30 March 2011; Volume 6597, pp. 450–467. [Google Scholar] [CrossRef]
- Dachman-Soled, D.; Mahmoody, M.; Malkin, T. Can Optimally-Fair Coin Tossing Be Based on One-Way Functions? In Proceedings of the 11th Theory of Cryptography Conference, TCC 2014, San Diego, CA, USA, 24–26 February 2014; Volume 8349, pp. 217–239. [Google Scholar] [CrossRef]
- Haitner, I.; Omri, E.; Zarosim, H. Limits on the Usefulness of Random Oracles. J. Cryptol. 2016, 29, 283–335. [Google Scholar] [CrossRef]
- Khorasgani, H.A.; Maji, H.K.; Mukherjee, T. Estimating Gaps in Martingales and Applications to Coin-Tossing: Constructions and Hardness. In Proceedings of the 17th Theory of Cryptography Conference, Part II, Nuremberg, Germany, 1–5 December 2019; Volume 11892, pp. 333–355. [Google Scholar] [CrossRef]
- Khorasgani, H.A.; Maji, H.K.; Wang, M. Coin Tossing with Lazy Defense: Hardness of Computation Results. IACR Cryptol. ePrint Arch. 2020, 2020, 131. [Google Scholar]
- Maji, H.K.; Wang, M. Black-Box Use of One-Way Functions is Useless for Optimal Fair Coin-Tossing. In Advances in Cryptology—CRYPTO 2020, Part II; Micciancio, D., Ristenpart, T., Eds.; Lecture Notes in Computer Science; Springer: Heidelberg, Germany; Santa Barbara, CA, USA, 2020; Volume 12171, pp. 593–617. [Google Scholar] [CrossRef]
- Banzhaf, J.F., III. Weighted voting doesn’t work: A mathematical analysis. Rutgers L. Rev. 1964, 19, 317. [Google Scholar]
- Coleman, J.S. Control of collectivities and the power of a collectivity to act. In Social Choice; Liebermann, B., Ed.; Springer: Berlin, Germany, 1971; pp. 269–300. [Google Scholar]
- Winder, R.O. Chow Parameters in Threshold Logic. J. ACM 1971, 18, 265–289. [Google Scholar] [CrossRef]
- O’Donnell, R.; Servedio, R.A. The Chow parameters problem. In Proceedings of the 40th Annual ACM Symposium on Theory of Computing, Victoria, BC, Canada, 17–20 May 2008; Ladner, R.E., Dwork, C., Eds.; pp. 517–526. [Google Scholar] [CrossRef]
- O’Donnell, R.; Servedio, R.A. The Chow Parameters Problem. SIAM J. Comput. 2011, 40, 165–199. [Google Scholar] [CrossRef]
- Aspnes, J. Lower Bounds for Distributed Coin-Flipping and Randomized Consensus. In Proceedings of the 29th Annual ACM Symposium on Theory of Computing, El Paso, TX, USA, 4–6 May 1997; pp. 559–568. [Google Scholar] [CrossRef]
- Aspnes, J. Lower Bounds for Distributed Coin-Flipping and Randomized Consensus. J. ACM 1998, 45, 415–450. [Google Scholar] [CrossRef]
- Bar-Joseph, Z.; Ben-Or, M. A Tight Lower Bound for Randomized Synchronous Consensus. In ACM Symposium Annual on Principles of Distributed Computing; Coan, B.A., Afek, Y., Eds.; Association for Computing Machinery: Puerto Vallarta, Mexico, 1998; pp. 193–199. [Google Scholar] [CrossRef]
- Diochnos, D.I.; Mahloujifar, S.; Mahmoody, M. Adversarial Risk and Robustness: General Definitions and Implications for the Uniform Distribution. In Proceedings of the Advances in Neural Information Processing Systems 31: Annual Conference on Neural Information Processing Systems 2018, NeurIPS 2018, Montreal, QC, Canada, 3–8 December 2018; pp. 10380–10389. [Google Scholar]
- Mahloujifar, S.; Diochnos, D.I.; Mahmoody, M. The Curse of Concentration in Robust Learning: Evasion and Poisoning Attacks from Concentration of Measure. In Proceedings of the Thirty-Third AAAI Conference on Artificial Intelligence, AAAI 2019, The Thirty-First Innovative Applications of Artificial Intelligence Conference, IAAI 2019, The Ninth AAAI Symposium on Educational Advances in Artificial Intelligence, EAAI 2019, Honolulu, HI, USA, 27 January–1 February 2019; pp. 4536–4543. [Google Scholar] [CrossRef]
- Mahloujifar, S.; Mahmoody, M. Can Adversarially Robust Learning LeverageComputational Hardness? In Proceedings of the Algorithmic Learning Theory, ALT 2019, Chicago, IL, USA, 22–24 March 2019; Volume 98, pp. 581–609. [Google Scholar]
- Etesami, O.; Mahloujifar, S.; Mahmoody, M. Computational Concentration of Measure: Optimal Bounds, Reductions, and More. In Proceedings of the 31st Annual ACM-SIAM Symposium on Discrete Algorithms, Salt Lake City, UT, USA, 5–8 January 2020; pp. 345–363. [Google Scholar] [CrossRef]
- Khorasgani, H.A.; Maji, H.K.; Wang, M. Design & Analysis of Optimal Coin-tossing: New Techniques. IACR Cryptol. ePrint Arch. 2020, 2020, 519. [Google Scholar]
- Maji, H.K.; Wang, M. Computational Hardness of Optimal Fair Computation: Beyond Minicrypt. Unpublished work. 2020. Available online: https://www.cs.purdue.edu/homes/hmaji/papers/MajWan20a.pdf (accessed on 15 December 2020).
- Impagliazzo, R.; Rudich, S. Limits on the Provable Consequences of One-Way Permutations. In Proceedings of the 21st Annual ACM Symposium on Theory of Computing, Seattle, WA, USA, 14–17 May 1989; pp. 44–61. [Google Scholar] [CrossRef]
- Reingold, O.; Trevisan, L.; Vadhan, S.P. Notions of Reducibility between Cryptographic Primitives. In Proceedings of the TCC 2004: 1st Theory of Cryptography Conference, Cambridge, MA, USA, 19–21 February 2004; Volume 2951, pp. 1–20. [Google Scholar] [CrossRef]
- Goldwasser, S.; Kalai, Y.T.; Park, S. Adaptively Secure Coin-Flipping, Revisited. In Proceedings of the ICALP 2015: 42nd International Colloquium on Automata, Languages and Programming, Part II, Kyoto, Japan, 6–10 July 2015; Volume 9135, pp. 663–674. [Google Scholar] [CrossRef]
- Blum, M. Coin Flipping by Telephone - A Protocol for Solving Impossible Problems. In Proceedings of the COMPCON’82, Digest of Papers, Twenty-Fourth IEEE Computer Society International Conference, San Francisco, CA, USA, 22–25 February 1982; pp. 133–137. [Google Scholar]
- Broder, A.Z.; Dolev, D. Flipping coins in many pockets (Byzantine agreement on uniformly random values). In Proceedings of the 25th Annual Symposium on Foundations of Computer Science, Singer Island, FL, USA, 24–26 October 1984; pp. 157–170. [Google Scholar] [CrossRef]
- Awerbuch, B.; Blum, M.; Chor, B.; Goldwasser, S.; Micali, S. How to implement Bracha’s O (log n) byzantine agreement algorithm. 1985. Unpublished. [Google Scholar]
- Cleve, R. Limits on the Security of Coin Flips when Half the Processors Are Faulty (Extended Abstract). In Proceedings of the 18th Annual ACM Symposium on Theory of Computing, Berkeley, CA, USA, 28–30 May 1986; pp. 364–369. [Google Scholar] [CrossRef]
- Maji, H.K.; Mehta, H.; Wang, M. On Efficient Distributed Coin-tossing Protocols; Purdue University: West Lafayette, IN, USA, 2020; Unpublished. [Google Scholar]
- Azuma, K. Weighted sums of certain dependent random variables. Tohoku Math. J. 1967, 19, 357–367. [Google Scholar] [CrossRef]
- Hoeffding, W. Probability Inequalities for Sums of Bounded Random Variables. J. Am. Stat. Assoc. 1963, 58, 13–30. [Google Scholar] [CrossRef]
- Beimel, A.; Haitner, I.; Makriyannis, N.; Omri, E. Tighter Bounds on Multi-Party Coin Flipping via Augmented Weak Martingales and Differentially Private Sampling. In Proceedings of the 59th Annual Symposium on Foundations of Computer Science, Paris, France, 7–9 October 2018; pp. 838–849. [Google Scholar] [CrossRef]
- Lichtenstein, D.; Linial, N.; Saks, M. Some extremal problems arising from discrete control processes. Combinatorica 1989, 9, 269–287. [Google Scholar] [CrossRef]
- Kalai, Y.T.; Komargodski, I.; Raz, R. A Lower Bound for Adaptively-Secure Collective Coin-Flipping Protocols. In Proceedings of the 32nd International Symposium on Distributed Computing, DISC 2018, New Orleans, LA, USA, 15–19 October 2018; Volume 121, pp. 34:1–34:16. [Google Scholar]
- Haitner, I.; Karidi-Heller, Y. A Tight Lower Bound on Adaptively Secure Full-Information Coin Flip. arXiv 2020, arXiv:2005.01565. [Google Scholar]
- Cleve, R. Controlled Gradual Disclosure Schemes for Random Bits and Their Applications. In Proceedings of the Advances in Cryptology—CRYPTO’89, Santa Barbara, CA, USA, 11–15 August 1990; Volume 435, pp. 573–588. [Google Scholar] [CrossRef]
- Impagliazzo, R. A Personal View of Average-Case Complexity. In Proceedings of the Tenth Annual Structure in Complexity Theory Conference, Minneapolis, MI, USA, 19–22 June 1995; pp. 134–147. [Google Scholar] [CrossRef]
- Impagliazzo, R.; Luby, M. One-way Functions are Essential for Complexity Based Cryptography (Extended Abstract). In Proceedings of the 30th Annual Symposium on Foundations of Computer Science, Research Triangle Park, NC, USA, 30 October–1 November 1989; pp. 230–235. [Google Scholar] [CrossRef]
- Impagliazzo, R.; Levin, L.A.; Luby, M. Pseudo-random Generation from one-way functions (Extended Abstracts). In 21st Annual ACM Symposium on Theory of Computing; ACM Press: Seattle, WA, USA, 1989; pp. 12–24. [Google Scholar] [CrossRef]
- Håstad, J. Pseudo-Random Generators under Uniform Assumptions. In 22nd Annual ACM Symposium on Theory of Computing; ACM Press: Baltimore, MD, USA, 1990; pp. 395–404. [Google Scholar] [CrossRef]
- Håstad, J.; Impagliazzo, R.; Levin, L.A.; Luby, M. A Pseudorandom Generator from any One-way Function. SIAM J. Comput. 1999, 28, 1364–1396. [Google Scholar] [CrossRef]
- Goldreich, O.; Goldwasser, S.; Micali, S. How to Construct Random Functions (Extended Abstract). In Proceedings of the COMPCON’82, Digest of Papers, Twenty-Fourth IEEE Computer Society International Conference, San Francisco, CA, USA, 22–25 February 1982; pp. 464–479. [Google Scholar] [CrossRef]
- Goldreich, O.; Goldwasser, S.; Micali, S. How to Construct Random Functions. J. ACM 1986, 33, 792–807. [Google Scholar] [CrossRef]
- Luby, M.; Rackoff, C. How to construct pseudorandom permutations from pseudorandom functions. SIAM J. Comput. 1988, 17, 373–386. [Google Scholar] [CrossRef]
- Naor, M. Bit Commitment Using Pseudorandomness. J. Cryptol. 1991, 4, 151–158. [Google Scholar] [CrossRef]
- Naor, M.; Ostrovsky, R.; Venkatesan, R.; Yung, M. Perfect Zero-Knowledge Arguments for NP Using Any One-Way Permutation. J. Cryptol. 1998, 11, 87–108. [Google Scholar] [CrossRef]
- Haitner, I.; Reingold, O. Statistically-hiding commitment from any one-way function. In 39th Annual ACM Symposium on Theory of Computing; Johnson, D.S., Feige, U., Eds.; ACM Press: San Diego, CA, USA, 2007; pp. 1–10. [Google Scholar] [CrossRef]
- Goldreich, O.; Micali, S.; Wigderson, A. Proofs That Yield Nothing But Their Validity Or All Languages in NP Have Zero-Knowledge Proof Systems. J. ACM 1991, 38, 691–729. [Google Scholar] [CrossRef]
- Naor, M.; Yung, M. Universal One-Way Hash Functions and their Cryptographic Applications. In 21st Annual ACM Symposium on Theory of Computing; ACM Press: Seattle, WA, USA, 1989; pp. 33–43. [Google Scholar] [CrossRef]
- Rompel, J. One-Way Functions are Necessary and Sufficient for Secure Signatures. In 22nd Annual ACM Symposium on Theory of Computing; ACM Press: Baltimore, MD, USA, 1990; pp. 387–394. [Google Scholar] [CrossRef]
- Gertner, Y.; Kannan, S.; Malkin, T.; Reingold, O.; Viswanathan, M. The Relationship between Public Key Encryption and Oblivious Transfer. In Proceedings of the 41st Annual Symposium on Foundations of Computer Science, Redondo Beach, CA, USA, 12–14 November 2000; pp. 325–335. [Google Scholar] [CrossRef]
- Mahmoody, M.; Maji, H.K.; Prabhakaran, M. Limits of random oracles in secure computation. In ITCS 2014: 5th Conference on Innovations in Theoretical Computer Science; Naor, M., Ed.; Association for Computing Machinery: Princeton, NJ, USA, 2014; pp. 23–34. [Google Scholar] [CrossRef]
- Mahmoody, M.; Maji, H.K.; Prabhakaran, M. On the Power of Public-Key Encryption in Secure Computation. In Proceedings of the TCC 2014: 11th Theory of Cryptography Conference, San Diego, CA, USA, 24–26 February 2014; Volume 8349, pp. 240–264. [Google Scholar] [CrossRef]
- Even, S.; Goldreich, O.; Lempel, A. A Randomized Protocol for Signing Contracts. In Advances in Cryptology—CRYPTO’82; Chaum, D., Rivest, R.L., Sherman, A.T., Eds.; Plenum Press: New York, NY, USA; Santa Barbara, CA, USA, 1982; pp. 205–210. [Google Scholar]
- Even, S.; Goldreich, O.; Lempel, A. A randomized protocol for signing contracts. Commun. ACM 1985, 28, 637–647. [Google Scholar] [CrossRef]
- Haitner, I.; Omri, E. Coin Flipping with Constant Bias Implies One-Way Functions. In Proceedings of the 52nd Annual Symposium on Foundations of Computer Science, Palm Springs, CA, USA, 22–25 October 2011; pp. 110–119. [Google Scholar] [CrossRef]
- Berman, I.; Haitner, I.; Tentes, A. Coin flipping of any constant bias implies one-way functions. In 46th Annual ACM Symposium on Theory of Computing; Shmoys, D.B., Ed.; ACM Press: New York, NY, USA, 2014; pp. 398–407. [Google Scholar] [CrossRef]
- Moran, T.; Naor, M.; Segev, G. An Optimally Fair Coin Toss. In Proceedings of the TCC 2009: 6th Theory of Cryptography Conference, San Francisco, CA, USA, 15–17 March 2009; Volume 5444, pp. 1–18. [Google Scholar] [CrossRef]
- Papadimitriou, C.H. Games Against Nature (Extended Abstract). In Proceedings of the 24th Annual Symposium on Foundations of Computer Science, Tucson, AZ, USA, 7–9 November 1983; pp. 446–450. [Google Scholar] [CrossRef]
- Maji, H.K.; Prabhakaran, M.; Sahai, A. On the Computational Complexity of Coin Flipping. In Proceedings of the 51st Annual Symposium on Foundations of Computer Science, Las Vegas, NV, USA, 23–26 October 2010; pp. 613–622. [Google Scholar] [CrossRef]
- Baecher, P.; Brzuska, C.; Fischlin, M. Notions of Black-Box Reductions, Revisited. In Proceedings of the Advances in Cryptology—ASIACRYPT 2013, Bengaluru, India, 1–5 December 2013; Volume 8269, pp. 296–315. [Google Scholar] [CrossRef]
- Cook, S.A. The Complexity of Theorem-Proving Procedures. In Proceedings of the 3rd Annual ACM Symposium on Theory of Computing, Shaker Heights, OH, USA, 3–5 May 1971; pp. 151–158. [Google Scholar] [CrossRef]
- Karp, R.M. Reducibility Among Combinatorial Problems. In Complexity of Computer Computations; Miller, R.E., Thatcher, J.W., Eds.; The IBM Research Symposia Series; Plenum Press: New York, NY, USA, 1972; pp. 85–103. [Google Scholar] [CrossRef]
- Yao, A.C.C. How to Generate and Exchange Secrets (Extended Abstract). In Proceedings of the 27th Annual Symposium on Foundations of Computer Science, Toronto, ON, Canada, 27–29 October 1986; pp. 162–167. [Google Scholar] [CrossRef]
- Goldreich, O.; Micali, S.; Wigderson, A. How to Play any Mental Game or A Completeness Theorem for Protocols with Honest Majority. In Proceedings of the 19th Annual ACM Symposium on Theory of Computing, New York, NY, USA, 25–27 May 1987; pp. 218–229. [Google Scholar] [CrossRef]
- Feige, U.; Shamir, A. Witness Indistinguishable and Witness Hiding Protocols. In Proceedings of the 22nd Annual ACM Symposium on Theory of Computing, Baltimore, MD, USA, 13–17 May 1990; pp. 416–426. [Google Scholar] [CrossRef]
- Dolev, D.; Dwork, C.; Naor, M. Nonmalleable Cryptography. SIAM J. Comput. 2000, 30, 391–437. [Google Scholar] [CrossRef]
- Barak, B. Constant-Round Coin-Tossing with a Man in the Middle or Realizing the Shared Random String Model. In Proceedings of the 43rd Annual Symposium on Foundations of Computer Science, Vancouver, BC, Canada, 19 November 2002; pp. 345–355. [Google Scholar] [CrossRef]
- Haitner, I.; Omri, E.; Zarosim, H. Limits on the Usefulness of Random Oracles. In Proceedings of the TCC 2013: 10th Theory of Cryptography Conference, Tokyo, Japan, 3–6 March 2013; Volume 7785, pp. 437–456. [Google Scholar] [CrossRef]
- Haitner, I.; Makriyannis, N.; Omri, E. On the Complexity of Fair Coin Flipping. In Proceedings of the TCC 2018: 16th Theory of Cryptography Conference, Part I, Panaji, India, 11–14 November 2018; Volume 11239, pp. 539–562. [Google Scholar] [CrossRef]
- Kilian, J. More general completeness theorems for secure two-party computation. In Proceedings of the 32nd Annual ACM Symposium on Theory of Computing, Portland, OR, USA, 21–23 May 2000; pp. 316–324. [Google Scholar] [CrossRef]
- Barak, B.; Mahmoody-Ghidary, M. Merkle Puzzles Are Optimal—An O(n2)-Query Attack on Any Key Exchange from a Random Oracle. In Proceedings of the Advances in Cryptology—CRYPTO 2009, Santa Barbara, CA, USA, 16–20 August 2009; Volume 5677, pp. 374–390. [Google Scholar] [CrossRef]
- Harper, L.H. On an Isoperimetric Problem for Hamming Graphs. Discret. Appl. Math. 1999, 95, 285–309. [Google Scholar] [CrossRef]
- Jerrum, M. Random Generation of Combinatorial Structures from a Uniform Distribution (Extended Abstract). In Proceedings of the Automata, Languages and Programming, 12th Colloquium, Nafplion, Greece, 15–19 July 1985; Volume 194, pp. 290–299. [Google Scholar] [CrossRef]
- Jerrum, M.; Valiant, L.G.; Vazirani, V.V. Random Generation of Combinatorial Structures from a Uniform Distribution. Theor. Comput. Sci. 1986, 43, 169–188. [Google Scholar] [CrossRef]
- Bellare, M.; Goldreich, O.; Petrank, E. Uniform Generation of NP-Witnesses Using an NP-Oracle. Inf. Comput. 2000, 163, 510–526. [Google Scholar] [CrossRef]










| Secure Construction | Adversarial Attack | |
|---|---|---|
| Pessiland | In General: Ω(1)-unfair [65,66] | |
| Fail-stop Adversary: -unfair [10,14] | ||
| Minicrypt | One-way Functions: -unfair [34,35,36,37] | One-way Functions: -unfair [16] |
| Cryptomania | Public-key Encryption: | Public-key Encryption: -unfair [30] |
| PKE + f-hybrid, : | PKE + f-hybrid, : -unfair [30] | |
| Oblivious Transfer: -unfair [67] | Oblivious Transfer: -unfair [37] |
Publisher’s Note: MDPI stays neutral with regard to jurisdictional claims in published maps and institutional affiliations. |
© 2020 by the author. Licensee MDPI, Basel, Switzerland. This article is an open access article distributed under the terms and conditions of the Creative Commons Attribution (CC BY) license (http://creativecommons.org/licenses/by/4.0/).
Share and Cite
Maji, H.K. Computational Hardness of Collective Coin-Tossing Protocols. Entropy 2021, 23, 44. https://doi.org/10.3390/e23010044
Maji HK. Computational Hardness of Collective Coin-Tossing Protocols. Entropy. 2021; 23(1):44. https://doi.org/10.3390/e23010044
Chicago/Turabian StyleMaji, Hemanta K. 2021. "Computational Hardness of Collective Coin-Tossing Protocols" Entropy 23, no. 1: 44. https://doi.org/10.3390/e23010044
APA StyleMaji, H. K. (2021). Computational Hardness of Collective Coin-Tossing Protocols. Entropy, 23(1), 44. https://doi.org/10.3390/e23010044
