Exergy Analysis of Two-Stage Organic Rankine Cycle Power Generation System
Abstract
1. Introduction
2. Power Generation System and Calculation Model
2.1. Power Generation System
2.2. Mathematical Model
3. Results and Discussion
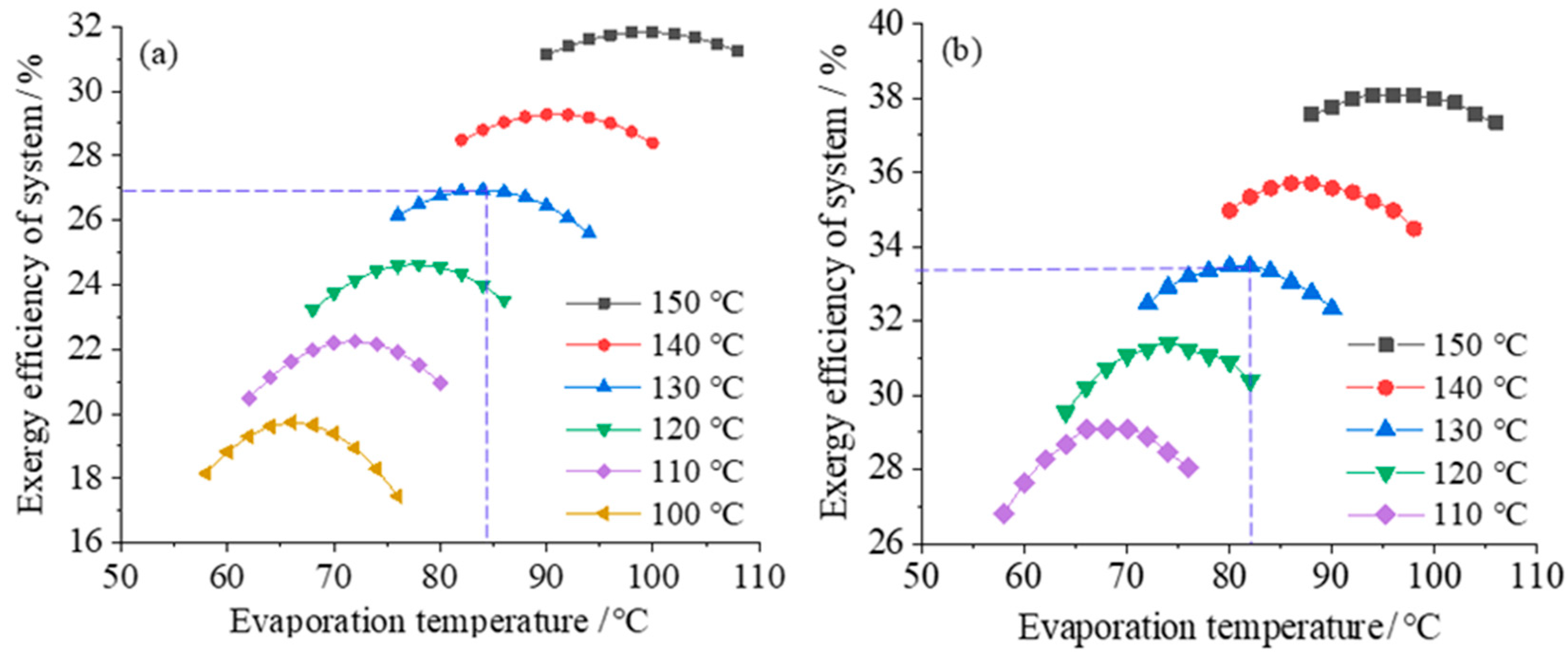
3.1. Exergy Analysis of Systems and Components
3.2. Analysis of Preheater Split Ratio
4. Conclusions
- The exergy efficiency of the two-stage system is larger than that of the single-stage system, and there is a maximum value when the cold and heat source parameters are fixed. The exergy efficiency of the two-stage system is increased by 9.4% compared with the single-stage system when the heat source temperature is 130 °C.
- Among the four selected organic working fluids, R600a has the highest system exergy efficiency, which is more obvious as the heat source temperature increases. However, R600a is only suitable for heat source temperature below 140 °C. Other working fluids can be applied to power generation systems with higher heat source temperatures. Appropriate organic working fluids need to be selected according to the heat source temperature.
- As the temperature of the geothermal fluid increases, the exergy efficiency of heaters and condensers in the two-stage system show opposite trends. As the heat source temperature increases, the heater exergy efficiency increases but the condenser exergy efficiency decreases. In addition, the exergy efficiency of the evaporator of the high-temperature system is greatly increased compared with the single-stage system, which is the main factor for the increase of the exergy efficiency of the system.
- The mass split ratio for preheaters of the two-stage cycle system is related to parameters such as working fluid type and heat source temperature. The split ratio range is larger at lower temperature and smaller at higher temperature. The variation trend of the split ratio presents an isosceles triangle shape. Different working fluids are suitable for different heat source temperature ranges. R600a working fluid is suitable for low temperature heat sources below 140 °C. Therefore, it is necessary to determine the appropriate working fluid and split ratio according to the heat source parameters.
Author Contributions
Funding
Data Availability Statement
Conflicts of Interest
Nomenclature
| List of symbols | |
| average specific heat of geothermal fluid [kJ/kg·K] | |
| h | enthalpy [kJ/kg] |
| m | mass flow rate [kg/s] |
| p | Pressure [kPa] |
| s | Entropy [kJ/kg·K] |
| t | Centigrade [°C] |
| T | Kelvin temperature [K] |
| v | mass volume [m3/kg] |
| W | power [kW] |
| i, j | flow rate ratio |
| Abbreviations | |
| ORC | organic Rankine cycle |
| Greek symbols | |
| η | efficiency |
| Δt | Pinch temperature |
| Subscripts | |
| co | condenser |
| cw | cooling water |
| co | condenser |
| cw | cooling water |
| ev | evaporator |
| ex | exergy |
| exp | expander |
| hi | high temperature system |
| in | cooling water inlet |
| g | geothermal fluid |
| ga | gain |
| lo | low temperature system |
| net | net power |
| o | environment |
| out | Cooling water outlet |
| pa | pay |
| ph | preheater |
| pu | pump |
| wf | working fluid |
| a,b,c,d,1,2,3,4,5,7,9,10 | Corresponding to the number position in Figure 1 and Figure 2 |
References
- Hung, T.C.; Wang, S.K.; Kuo, C.H.; Pei, B.S.; Tsai, K.F. A study of organic working fluids on system efficiency of an ORC using low-grade energy sources. Energy 2010, 35, 1403–1411. [Google Scholar] [CrossRef]
- Koç, Y.; Yağlı, H.; Koç, A. Exergy Analysis and Performance Improvement of a Subcritical/Supercritical Organic Rankine Cycle (ORC) for Exhaust Gas Waste Heat Recovery in a Biogas Fuelled Combined Heat and Power (CHP) Engine Through the Use of Regeneration. Energies 2019, 12, 575. [Google Scholar] [CrossRef]
- Sun, W.; Yue, X.; Wang, Y. Exergy efficiency analysis of ORC (Organic Rankine Cycle) and ORC-based combined cycles driven by low-temperature waste heat. Energy Convers. Manag. 2017, 135, 63–73. [Google Scholar] [CrossRef]
- Altun, A.F.; Kilic, M. Thermodynamic performance evaluation of a geothermal ORC power plant. Renew. Energy 2020, 148, 261–274. [Google Scholar] [CrossRef]
- Junhu, Z.; Juanfan, L.; Qinghu, C. Optimal evaporating temperature and exergy analysis for organic Rankine cycle. CIESC J. 2013, 64, 821–826. [Google Scholar]
- Shuaijie, M.; Wensheng, L. Optimization and analyses of an organic Rankine cycle combined system utilizing the waste heat of gas turbine exhaust. J. Refrig. 2019, 40, 39–45. [Google Scholar]
- Long, R.; Bao, Y.J.; Huang, X.M.; Liu, W. Exergy analysis and working fluid selection of organic Rankine cycle for low grade waste heat recovery. Energy 2014, 73, 475–483. [Google Scholar] [CrossRef]
- Aljundi, I.H. Effect of dry hydrocarbons and critical point temperature on the efficiencies of organic Rankine cycle. Renew. Energy 2011, 36, 1196–1202. [Google Scholar] [CrossRef]
- ÖZDEMİR, E.; KILIÇ, M. Energy and exergy analysis of an organic Rankine Cycle Using different working Fluids from Waste Heat Recovery. Int. J. Environ. Trends 2017, 1, 32–45. [Google Scholar]
- Lecompte, S.; Ameel, B.; Ziviani, D.; van den Broek, M.; De Paepe, M. Exergy analysis of zeotropic mixtures as working fluids in Organic Rankine Cycles. Energy Convers. Manag. 2014, 85, 727–739. [Google Scholar] [CrossRef]
- Nur, T.B. Sunoto, Exergy analysis of biomass organic Rankine cycle for power generation. IOP Conf. Ser. Mater. Sci. Eng. 2018, 309, 012057. [Google Scholar] [CrossRef]
- Li, J.; Pei, G.; Li, Y.; Wang, D.; Ji, J. Energetic and exergetic investigation of an organic Rankine cycle at different heat source temperatures. Energy 2012, 38, 85–95. [Google Scholar] [CrossRef]
- Safarian, S.; Aramoun, F. Energy and exergy assessments of modified Organic Rankine Cycles (ORCs). Energy Rep. 2015, 1, 1–7. [Google Scholar] [CrossRef]
- Kaşka, Ö. Energy and exergy analysis of an organic Rankine for power generation from waste heat recovery in steel industry. Energy Convers. Manag. 2014, 77, 108–117. [Google Scholar] [CrossRef]
- Bademlioglu, A.H.; Yamankaradeniz, R. Exergy analysis of the organic Rankine cycle based on the pinch point temperature difference. J. Therm. Eng. 2019, 5, 157–165. [Google Scholar] [CrossRef]
- Heberle, F.; Brüggemann, D. Exergy based fluid selection for a geothermal Organic Rankine Cycle for combined heat and power generation. Appl. Therm. Eng. 2010, 30, 1326–1332. [Google Scholar] [CrossRef]
- Kim, K.H.; Ko, H.J.; Kim, S.W. Exergy Analysis of Organic Rankine Cycle with Internal Heat Exchanger. Int. J. Mater. Mech. Manuf. 2013, 1, 41–45. [Google Scholar] [CrossRef]
- Yari, M. Exergetic analysis of various types of geothermal power plants. Renew. Energy 2010, 35, 112–121. [Google Scholar] [CrossRef]
- Zhao, C.; Zheng, S.; Zhang, J.; Zhang, Y. Exergy and economic analysis of organic Rankine cycle hybrid system utilizing biogas and solar energy in rural area of China. Int. J. Green Energy 2017, 14, 1221–1229. [Google Scholar] [CrossRef]
- Li, J.; Duan, Y.; Yang, Z.; Yang, F. Exergy analysis of novel dual-pressure evaporation organic Rankine cycle using zeotropic mixtures. Energy Convers. Manag. 2019, 195, 760–769. [Google Scholar] [CrossRef]
- Sun, Q.; Wang, Y.; Cheng, Z.; Wang, J.; Zhao, P.; Dai, Y. Thermodynamic and economic optimization of a double-pressure organic Rankine cycle driven by low-temperature heat source. Renew. Energy 2020, 147, 2822–2832. [Google Scholar] [CrossRef]
- Mago, P.J.; Chamra, L.M. Exergy analysis of a combined engine-organic Rankine cycle configuration. Proc. Inst. Mech. Eng. Part A J. Power Energy 2008, 222, 761–770. [Google Scholar] [CrossRef]









| Working Fluid | Category | Standard Boiling Point/°C | Critical Temperature/°C | Critical Pressure /MPa | Security Level |
|---|---|---|---|---|---|
| R600a | Hydrocarbon | −11.7 | 134.7 | 3.64 | A3 |
| R245fa | Hydrofluorocarbon | 15.1 | 154.1 | 4.43 | B1 |
| R600 | Hydrocarbon | −0.5 | 152.0 | 3.8 | A3 |
| R601a | Hydrocarbon | 27.8 | 187.4 | 3.39 | A3 |
| Parameter | Value |
|---|---|
| mg | 1 kg/s |
| ηpu | 72% |
| Δthi | 6 °C |
| Δtlo | 5 °C |
| T0 | 292 K |
| t3/t7 | 30 °C |
Publisher’s Note: MDPI stays neutral with regard to jurisdictional claims in published maps and institutional affiliations. |
© 2020 by the authors. Licensee MDPI, Basel, Switzerland. This article is an open access article distributed under the terms and conditions of the Creative Commons Attribution (CC BY) license (http://creativecommons.org/licenses/by/4.0/).
Share and Cite
Liu, G.; Wang, Q.; Xu, J.; Miao, Z. Exergy Analysis of Two-Stage Organic Rankine Cycle Power Generation System. Entropy 2021, 23, 43. https://doi.org/10.3390/e23010043
Liu G, Wang Q, Xu J, Miao Z. Exergy Analysis of Two-Stage Organic Rankine Cycle Power Generation System. Entropy. 2021; 23(1):43. https://doi.org/10.3390/e23010043
Chicago/Turabian StyleLiu, Guanglin, Qingyang Wang, Jinliang Xu, and Zheng Miao. 2021. "Exergy Analysis of Two-Stage Organic Rankine Cycle Power Generation System" Entropy 23, no. 1: 43. https://doi.org/10.3390/e23010043
APA StyleLiu, G., Wang, Q., Xu, J., & Miao, Z. (2021). Exergy Analysis of Two-Stage Organic Rankine Cycle Power Generation System. Entropy, 23(1), 43. https://doi.org/10.3390/e23010043

