Tailoring Garment Fit for Personalized Body Image Enhancement: Insights from Digital Fitting Research
Abstract
1. Introduction
2. Theoretical Framework and Hypotheses
2.1. Body Metrics Affecting Body Image Perception
2.2. Impact of Apparel on Body Image Perception
2.3. Hypotheses
3. Materials and Methods
3.1. 3D Human Body Dataset and Size Classifications
3.2. 3D Apparel Dataset
3.3. Avatar Fitting and Image Preparation
3.4. Rating Body Size Perception of Dressed Avatars
3.5. Artificial Neural Network Application and Feature Analysis
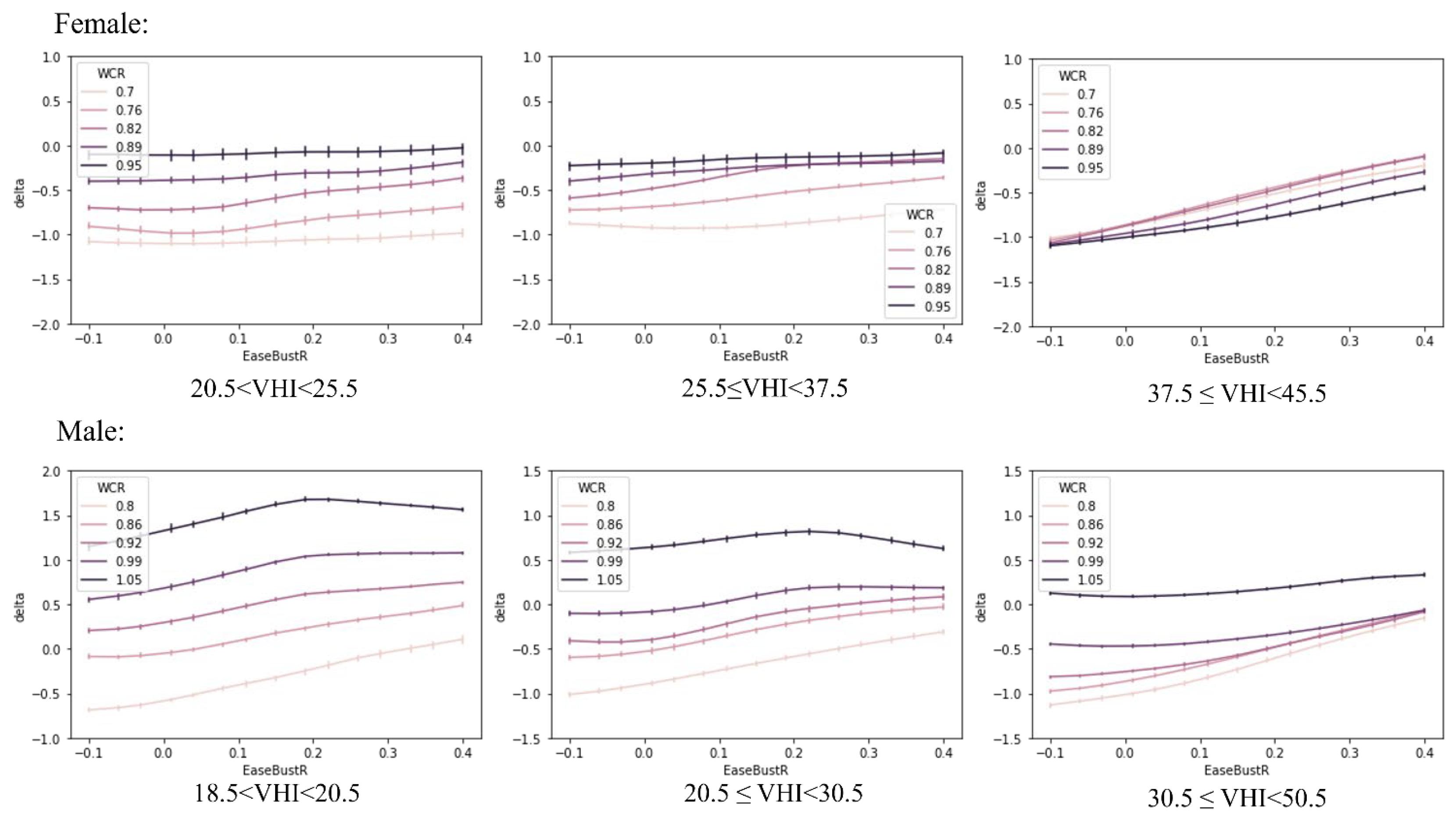
4. Results and Discussion
4.1. Data Processing and Noise Removal
4.2. Impact Factors on Human Body Scale Perception
4.3. Body Scale Perception Prediction Model
5. Conclusions
Author Contributions
Funding
Institutional Review Board Statement
Informed Consent Statement
Data Availability Statement
Conflicts of Interest
References
- The Business Research Company. Fashion E-Commerce Global Market Report 2024; p. 175. 2024. Available online: https://www.thebusinessresearchcompany.com/report/fashion-ecommerce-global-market-report (accessed on 15 March 2024).
- Saarijärvi, H.; Sutinen, U.-M.; Harris, L.C. Uncovering consumers’ returning behaviour: A study of fashion e-commerce. Int. Rev. Retail Distrib. Consum. Res. 2017, 27, 284–299. [Google Scholar] [CrossRef]
- Zheng, S. The True Cost of Apparel Returns: Alarming Return Rates Require Loss-Minimization Solutions. Coresight Research. 2023. Available online: https://coresight.com/research/the-true-cost-of-apparel-returns-alarming-return-rates-require-loss-minimization-solutions (accessed on 28 January 2024).
- Jo Anderson-Connell, L.; Ulrich, P.V.; Brannon, E.L. A consumer-driven model for mass customization in the apparel market. J. Fash. Mark. Manag. Int. J. 2002, 6, 240–258. [Google Scholar] [CrossRef]
- Lee, S.-E.; Kunz, G.I.; Fiore, A.M.; Campbell, J.R. Acceptance of Mass Customization of Apparel: Merchandising Issues Associated With Preference for Product, Process, and Place. Cloth. Text. Res. J. 2002, 20, 138–146. [Google Scholar] [CrossRef]
- Jones, M.R.; Giddings, V.L. Tall women’s satisfaction with the fit and style of tall women’s clothing. J. Fash. Mark. Manag. Int. J. 2010, 14, 58–71. [Google Scholar] [CrossRef]
- Tran, G.A. Investigating Consumer Attitudes Toward Customized Apparel: A Look at Uniqueness, Involvement, Apparel Fit, and Body Size. In Ideas in Marketing: Finding the New and Polishing the Old; Kubacki, K., Ed.; Springer International Publishing: Cham, Switzerland, 2015; pp. 35–38. [Google Scholar]
- Moon, H.; Lee, H.-H. Consumers’ preference fit and ability to express preferences in the use of online mass customization. J. Res. Interact. Mark. 2014, 8, 124–143. [Google Scholar] [CrossRef]
- Liang, Y.; Liu, C. Comparison of consumers’ acceptance of online apparel mass customization across web and mobile channels. J. Glob. Fash. Mark. 2019, 10, 228–245. [Google Scholar] [CrossRef]
- Bellemare, J. Fashion Apparel Industry 4.0 and Smart Mass Customization Approach for Clothing Product Design. In Customization 4.0; Hankammer, S., Nielsen, K., Piller, F.T., Schuh, G., Wang, N., Eds.; Springer International Publishing: Cham, Switzerland, 2018; pp. 619–633. [Google Scholar]
- Kim, S.; Kyu Park, C. Basic garment pattern generation using geometric modeling method. Int. J. Cloth. Sci. Technol. 2007, 19, 7–17. [Google Scholar] [CrossRef]
- Huang, H.Q.; Mok, P.Y.; Kwok, Y.L.; Au, J.S. Block pattern generation: From parameterizing human bodies to fit feature-aligned and flattenable 3D garments. Comput. Ind. 2012, 63, 680–691. [Google Scholar] [CrossRef]
- Jin, P.; Fan, J.; Zheng, R.; Chen, Q.; Liu, L.; Jiang, R.; Zhang, H. Design and Research of Automatic Garment-Pattern-Generation System Based on Parameterized Design. Sustainability 2023, 15, 1268. [Google Scholar] [CrossRef]
- Fardouly, J.; Vartanian, L.R. Social Media and Body Image Concerns: Current Research and Future Directions. Curr. Opin. Psychol. 2016, 9, 1–5. [Google Scholar] [CrossRef]
- Ryding, F.C.; Kuss, D.J. The use of social networking sites, body image dissatisfaction, and body dysmorphic disorder: A systematic review of psychological research. Psychol. Popul. Media 2020, 9, 412–435. [Google Scholar] [CrossRef]
- Swami, V.; Tovee, M.J. Differences in attractiveness preferences between observers in low-and high-resource environments in Thailand. J. Evol. Psychol. 2007, 5, 149–160. [Google Scholar] [CrossRef]
- Fan, J.; Newton, E.; Lau, L.; Liu, F. Garment Sizes in Perception of Body Size. Percept. Mot. Ski. 2003, 96, 875–882. [Google Scholar] [CrossRef]
- Fan, J.; Liu, F.; Wu, J.; Dai, W. Visual perception of female physical attractiveness. Proc. R. Soc. Lond. B Biol. Sci. 2004, 271, 347–352. [Google Scholar] [CrossRef]
- Liu, F.; Fan, J.; Lau, L. Perceived body size affected by garment and body mass index. Percept. Mot. Ski. 2006, 103, 253–264. [Google Scholar] [CrossRef] [PubMed]
- Tovée, M.J.; Cornelissen, P.L. Female and male perceptions of female physical attractiveness in front-view and profile. Br. J. Psychol. 2001, 92, 391–402. [Google Scholar] [CrossRef] [PubMed]
- Tovée, M.J.; Hancock, P.J.; Mahmoodi, S.; Singleton, B.R.; Cornelissen, P.L. Human female attractiveness: Waveform analysis of body shape. Proc. R. Soc. Lond. B Biol. Sci. 2002, 269, 2205–2213. [Google Scholar] [CrossRef]
- Kościński, K. Attractiveness of women’s body: Body mass index, waist–hip ratio, and their relative importance. Behav. Ecol. 2013, 24, 914–925. [Google Scholar] [CrossRef]
- Thompson, M.A.; Gray, J.J. Development and Validation of a New Body-Image Assessment Scale. J. Pers. Assess. 1995, 64, 258–269. [Google Scholar] [CrossRef]
- Martin, J.B. The development of ideal body image perceptions in the United States. Nutr. Today 2010, 45, 98–110. [Google Scholar] [CrossRef]
- Hogans, K.; Seock, Y.-K. Body image of male college athletes: The role of uniforms and socio-cultural ideals on the perceptions of body image. Int. J. Fash. Des. Technol. Educ. 2022, 15, 322–330. [Google Scholar] [CrossRef]
- Schilder, P. The Image and Appearance of the Human Body; Routledge: London, UK, 2013; Volume 163. [Google Scholar]
- Fan, J.; Yu, W.; Hunter, L. Clothing Appearance and Fit: Science and Technology; Woodhead publishing: Cambridge, UK, 2004. [Google Scholar]
- Gardner, R.M.; Brown, D.L. Body image assessment: A review of figural drawing scales. Personal. Individ. Differ. 2010, 48, 107–111. [Google Scholar] [CrossRef]
- DeLong, M. The Way We Look: Dress and Aesthetics, 2nd ed.; Illustrated, Ed.; Fairchild Books: New York, NY, USA, 1998. [Google Scholar]
- Chattaraman, V.; Rudd, N.A. Preferences for aesthetic attributes in clothing as a function of body image, body cathexis and body size. Cloth. Text. Res. J. 2006, 24, 46–61. [Google Scholar] [CrossRef]
- Frith, H.; Gleeson, K. Dressing the Body: The Role of Clothing in Sustaining Body Pride and Managing Body Distress. Qual. Res. Psychol. 2008, 5, 249–264. [Google Scholar] [CrossRef]
- LaBat, K.L.; DeLong, M.R. Body cathexis and satisfaction with fit of apparel. Cloth. Text. Res. J. 1990, 8, 43–48. [Google Scholar] [CrossRef]
- Mia, M.M.; Yip, P. Fashionpedia: The Visual Dictionary of Fashion Design; Fashionary International: Hong Kong, China, 2017. [Google Scholar]
- Gill, S. Improving garment fit and function through ease quantification. J. Fash. Mark. Manag. Int. J. 2011, 15, 228–241. [Google Scholar] [CrossRef]
- Liu, Z.; He, Q.; Zou, F.; Ding, Y.; Xu, B. Apparel ease distribution analysis using three-dimensional motion capture. Text. Res. J. 2019, 89, 4323–4335. [Google Scholar] [CrossRef]
- Rumelhart, D.E.; Hintont, G.E.; Williams, R.J. Learning representations by back-propagating errors. Nature 1986, 323, 533–536. [Google Scholar] [CrossRef]
- Yegnanarayana, B. Artificial Neural Networks; PHI Learning Pvt. Ltd.: Delhi, India, 2009. [Google Scholar]
- Erickson, N.; Mueller, J.; Shirkov, A.; Zhang, H.; Larroy, P.; Li, M.; Smola, A. AutoGluon-Tabular: Robust and Accurate AutoML for Structured Data. arXiv 2020, arXiv:2003.06505. [Google Scholar]
- Glorot, X.; Bordes, A.; Bengio, Y. Deep Sparse Rectifier Neural Networks. PMLR 2011, 15, 315–323. Available online: https://proceedings.mlr.press/v15/glorot11a.html (accessed on 17 October 2023).
- He, K.; Zhang, X.; Ren, S.; Sun, J. Delving Deep into Rectifiers: Surpassing Human-Level Performance on ImageNet Classification. In Proceedings of the 2015 IEEE International Conference on Computer Vision (ICCV), Santiago, Chile, 7–13 December 2015; pp. 1026–1034. Available online: http://ieeexplore.ieee.org/document/7410480/ (accessed on 25 October 2023).
- Rasamoelina, A.D.; Adjailia, F.; Sincak, P. A Review of Activation Function for Artificial Neural Network. In Proceedings of the 2020 IEEE 18th World Symposium on Applied Machine Intelligence and Informatics (SAMI), Herlany, Slovakia, 23–25 January 2020; IEEE: Herlany, Slovakia, 2020; pp. 281–286. Available online: https://ieeexplore.ieee.org/document/9108717/ (accessed on 25 October 2023).
- He, K.; Zhang, X.; Ren, S.; Sun, J. Deep Residual Learning for Image Recognition. In Proceedings of the 2016 IEEE Conference on Computer Vision and Pattern Recognition (CVPR), Las Vegas, NV, USA, 27–30 June 2016; pp. 770–778. Available online: http://ieeexplore.ieee.org/document/7780459/ (accessed on 26 October 2023).
- Ioffe, S.; Szegedy, C. Batch Normalization: Accelerating Deep Network Training by Reducing Internal Covariate Shift. arXiv 2015, arXiv:1502.03167. [Google Scholar]
- Srivastava, N.; Hinton, G.; Krizhevsky, A.; Sutskever, I.; Salakhutdinov, R. Dropout: A Simple Way to Prevent Neural Networks from Overfitting. J. Mach. Learn. Res. 2014, 15, 1929–1958. [Google Scholar]
- Witten, D.; James, G. An Introduction to Statistical Learning with Applications in R; Springer: New York, NY, USA, 2013. [Google Scholar]
- Chicco, D.; Warrens, M.J.; Jurman, G. The coefficient of determination R-squared is more informative than SMAPE, MAE, MAPE, MSE and RMSE in regression analysis evaluation. PeerJ Comput. Sci. 2021, 7, e623. [Google Scholar] [CrossRef] [PubMed]
- Friedman, J.H. Greedy Function Approximation: A Gradient Boosting Machine. Ann. Stat. 2001, 29, 1189–1232. [Google Scholar] [CrossRef]











| Gender | Body Measurements | Mean | SD |
|---|---|---|---|
| Female | Height (cm) | 167.32 | 6.84 |
| Shoulder Width (cm) | 43.84 | 3.41 | |
| Bust Girth (cm) | 101.58 | 13.52 | |
| Waist Girth (cm) | 84.26 | 14.65 | |
| Hip Girth (cm) | 109.78 | 14.59 | |
| VHI (L/m2) | 27.55 | 7.17 | |
| WCR (Waist-to-Chest Ratio) | 0.83 | 0.05 | |
| WHR (Waist-to-Hip Ratio) | 0.76 | 0.05 | |
| Male | Height (cm) | 177.47 | 7.21 |
| Shoulder Width (cm) | 48.56 | 3.32 | |
| Bust Girth (cm) | 106.76 | 9.91 | |
| Waist Girth (cm) | 98.72 | 13.62 | |
| Hip Girth (cm) | 105.43 | 8.52 | |
| VHI (L/m2) | 27.99 | 4.43 | |
| WCR (Waist-to-Chest Ratio) | 0.92 | 0.05 | |
| WHR (Waist-to-Hip Ratio) | 0.93 | 0.07 |
| Gender | Group | Median Bust Girth (cm) | T-Shirt Bust Measurement (cm) | ||
|---|---|---|---|---|---|
| Tight | Medium | Loose | |||
| Male | Group 1 | 88.7 | 91.7 | 98.7 | 105.7 |
| Group 2 | 100.2 | 103.2 | 110.2 | 117.2 | |
| Group 3 | 110.4 | 113.4 | 120.4 | 127.4 | |
| Group 4 | 117.8 | 120.8 | 127.8 | 134.8 | |
| Group 5 | 130.0 | 133.0 | 140.0 | 147.0 | |
| Group 6 | 140.7 | 143.7 | 150.7 | 157.7 | |
| Female | Group 1 | 90.2 | 93.2 | 100.2 | 107.2 |
| Group 2 | 100.5 | 103.5 | 110.5 | 117.5 | |
| Group 3 | 110.1 | 113.1 | 120.1 | 127.1 | |
| Group 4 | 118.3 | 121.3 | 128.3 | 135.3 | |
| Group 5 | 134.8 | 137.8 | 144.8 | 151.8 | |
| Group 6 | 143.4 | 146.4 | 153.4 | 160.4 | |
| Gender | Body Features |
Fold 1 (R2) |
Fold 2 (R2) |
Fold 3 (R2) |
Fold 4 (R2) |
|---|---|---|---|---|---|
| Female | Horizontal measurements, VHI, WHR, WCR, Ease/Bust, and height | 0.98 | 0.99 | 0.99 | 0.98 |
| VHI, WCR, Ease/Bust, and height | 0.96 | 0.98 | 0.96 | 0.95 | |
| Male | Horizontal measurements, VHI, WHR, WCR, Ease/Bust, and height | 0.91 | 0.92 | 0.94 | 0.92 |
| VHI, WCR, Ease/Bust, and height | 0.90 | 0.93 | 0.93 | 0.88 |
Disclaimer/Publisher’s Note: The statements, opinions and data contained in all publications are solely those of the individual author(s) and contributor(s) and not of MDPI and/or the editor(s). MDPI and/or the editor(s) disclaim responsibility for any injury to people or property resulting from any ideas, methods, instructions or products referred to in the content. |
© 2024 by the authors. Licensee MDPI, Basel, Switzerland. This article is an open access article distributed under the terms and conditions of the Creative Commons Attribution (CC BY) license (https://creativecommons.org/licenses/by/4.0/).
Share and Cite
Li, J.; Su, X.; Liang, J.; Mok, P.Y.; Fan, J. Tailoring Garment Fit for Personalized Body Image Enhancement: Insights from Digital Fitting Research. J. Theor. Appl. Electron. Commer. Res. 2024, 19, 942-957. https://doi.org/10.3390/jtaer19020049
Li J, Su X, Liang J, Mok PY, Fan J. Tailoring Garment Fit for Personalized Body Image Enhancement: Insights from Digital Fitting Research. Journal of Theoretical and Applied Electronic Commerce Research. 2024; 19(2):942-957. https://doi.org/10.3390/jtaer19020049
Chicago/Turabian StyleLi, Jiayin, Xing Su, Jiahao Liang, P. Y. Mok, and Jintu Fan. 2024. "Tailoring Garment Fit for Personalized Body Image Enhancement: Insights from Digital Fitting Research" Journal of Theoretical and Applied Electronic Commerce Research 19, no. 2: 942-957. https://doi.org/10.3390/jtaer19020049
APA StyleLi, J., Su, X., Liang, J., Mok, P. Y., & Fan, J. (2024). Tailoring Garment Fit for Personalized Body Image Enhancement: Insights from Digital Fitting Research. Journal of Theoretical and Applied Electronic Commerce Research, 19(2), 942-957. https://doi.org/10.3390/jtaer19020049

