Dynamic Incentive Mechanisms for Collaborative Innovation of Green Supply Chain Considering Digital Capability and Consumer Green Preference
Abstract
1. Introduction
2. Literature Review
2.1. Digitalization of the Supply Chain
2.2. Digitalization and Green Innovation
2.3. Cooperation and Incentive Mechanism of Supply Chain
2.4. Research Gap of GSC
3. Problem Description
3.1. Model Background
3.2. Definitions of Parameters and Variables
3.3. Model Assumptions
3.4. Incentive Contract Design
4. Game Model and Solution
4.1. Basic Model (Model B)
4.2. Greenness Reward Mechanism (Model G)
4.3. R&D Effort Reward Mechanism (Model R)
4.4. Digital Construction Reward Mechanism (Model D)
5. Comparative Analysis
6. Numerical Simulation and Analysis
6.1. Evolution Trajectory of Economic Benefits, Environmental Benefits and Social Welfare
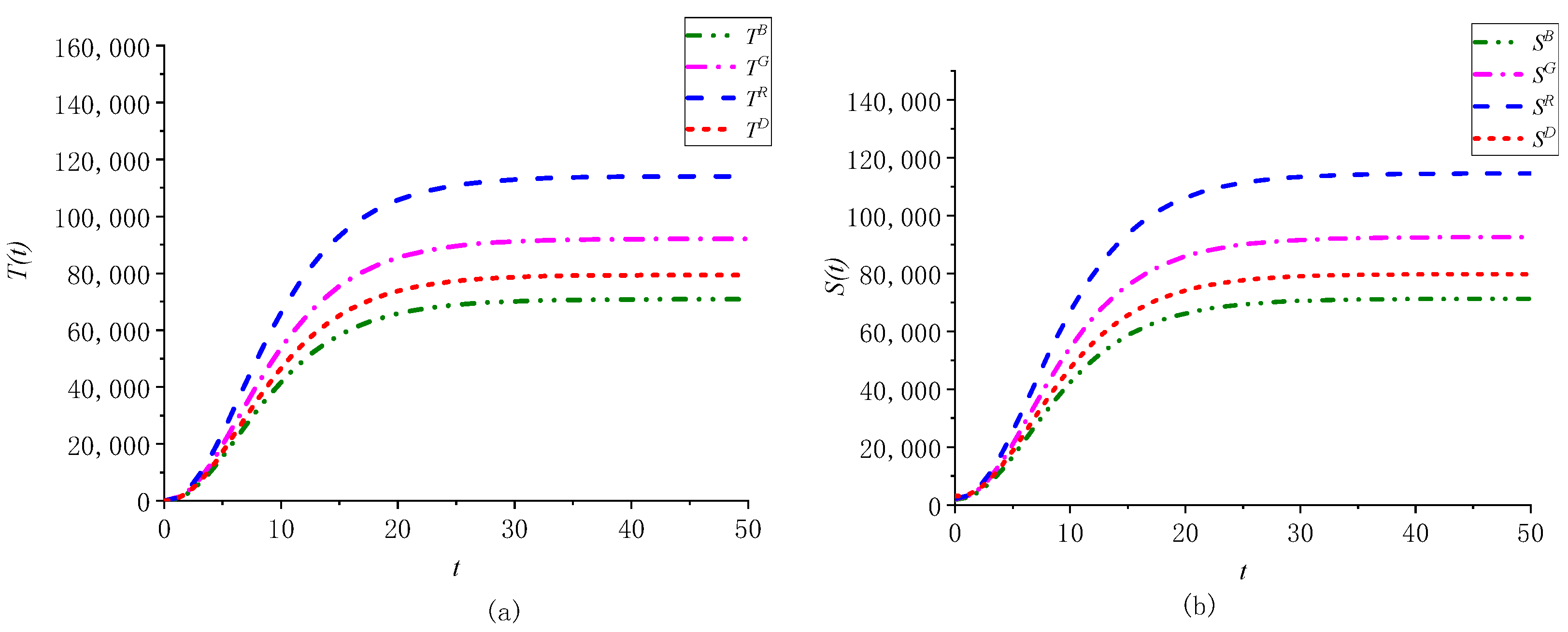
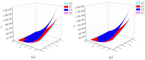
6.1.1. Evolution Trajectory of Economic Benefits
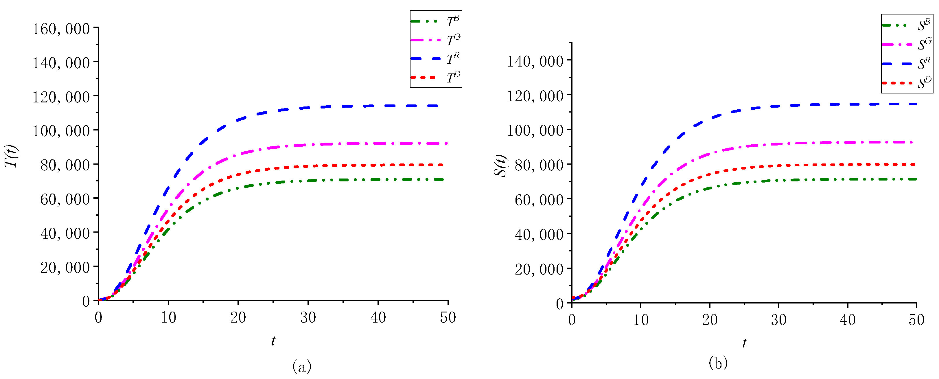
6.1.2. Evolution Trajectory of Environmental Benefits
6.1.3. Evolution Trajectory of Social Welfare
6.2. Sensitivity Analysis of the Reward Coefficient
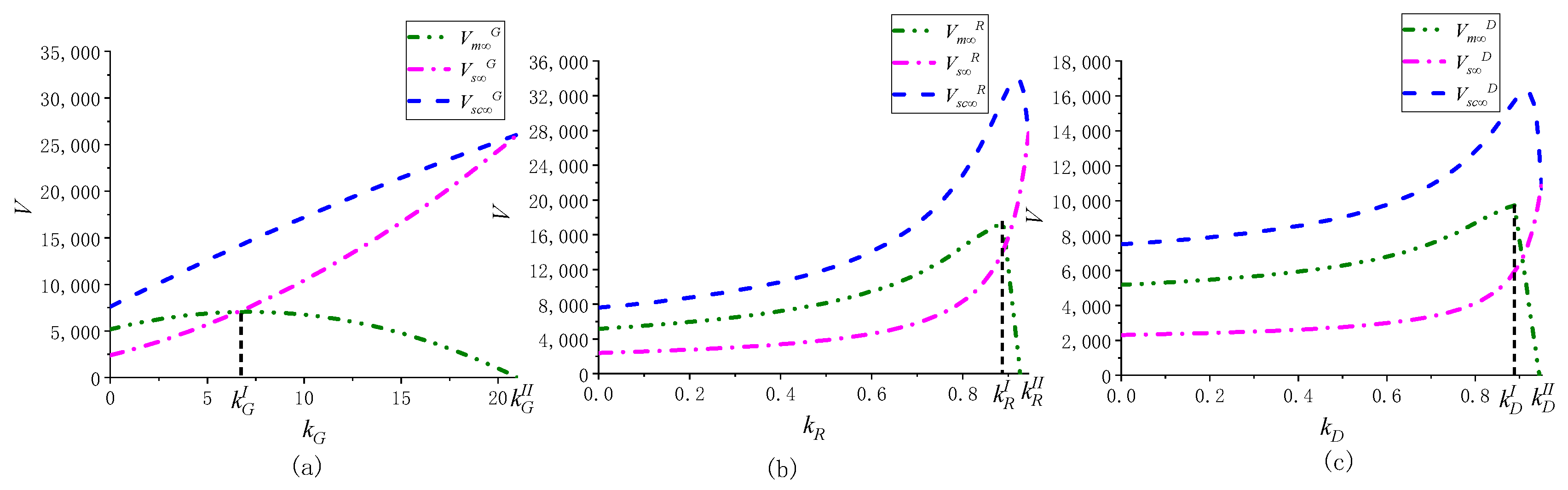
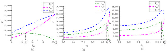
6.2.1. The Impact of the Reward Coefficient on Economic Benefits
6.2.2. The Impact of the Reward Coefficient on Environmental Benefits
6.2.3. The Impact of the Reward Coefficient on Social Welfare
6.3. Sensitivity Analysis of the Effective Coefficient of Digital Construction Promoting Green Innovation
6.3.1. The Impact of the Effective Coefficient of Digital Construction Promoting Green Innovation on Economic Benefits
6.3.2. The Impact of the Effective Coefficient of Digital Construction Promoting Green Innovation on Environmental Benefits
6.3.3. The Impact of the Effective Coefficient of Digital Construction Promoting Green Innovation on Social Welfare
6.4. Sensitivity Analysis of Consumer Green Preference
6.4.1. The Impacts of Consumer Green Preference on Economic Benefits
6.4.2. The Impacts of Consumer Green Preference on Environmental Benefits
6.4.3. The Impacts of Consumer Green Preference on Social Welfare
7. Managerial Implications
8. Conclusions and Future Research Directions
8.1. Conclusions
8.2. Limitations and Future Directions
Author Contributions
Funding
Institutional Review Board Statement
Informed Consent Statement
Data Availability Statement
Acknowledgments
Conflicts of Interest
Appendix A. Notation and Description
| Notation | Description |
| Parameters | |
| Unit production cost of intermediate products under digital construction | |
| Unit production cost of final products under digital construction | |
| Market potential | |
| Consumers’ sensitivity to the retail price of final products | |
| Consumers’ preference for the greenness of final products | |
| Consumers’ preference for the greenness of intermediate products | |
| The effective coefficient of green innovation R&D efforts by the manufacturer | |
| The effective coefficient of digital construction promoting product green innovation by the manufacturer | |
| The effective coefficient of green innovation R&D efforts by the supplier | |
| The effective coefficient of digital construction promoting product green innovation by the supplier | |
| Influence coefficient of the greenness of intermediate products on the greenness of final products | |
| The decay factor of the greenness of final products | |
| Decay factor of greenness of intermediate products | |
| Cost coefficient of the manufacturer’s digital construction | |
| Cost coefficient of the manufacturer’s green innovation R&D | |
| Cost coefficient of the supplier’s green innovation R&D | |
| Cost coefficient of the supplier’s digital construction | |
| Discount factor | |
| Reward coefficient of the manufacturer for the greenness of intermediate products () | |
| Reward coefficient of the manufacturer to the supplier for green R&D efforts of intermediate products () | |
| Reward coefficient of the manufacturer to the supplier for ) | |
| Decision variables | |
| Retail price of final products at time | |
| Selling price of intermediate products at time | |
| Green innovation R&D effort level of the manufacturer for final products at time | |
| Green innovation R&D effort level of the supplier for intermediate products at time | |
| Digital capability level of the manufacturer at time | |
| Digital capability level of the supplier at time | |
| Other variables | |
| The greenness of final products at time | |
| The greenness of intermediate products at time | |
| Market demand for green final products at time t | |
| The consumer surplus at time | |
| The environmental benefits at time | |
| The social welfare at time | |
Appendix B. Proofs of Propositions
References
- Liu, P. Pricing Rules of Green Supply Chain Considering Big Data Information Inputs and Cost-Sharing Model. Soft Comput. 2021, 25, 8515–8531. [Google Scholar] [CrossRef]
- Chen, S.; Su, J.; Wu, Y.; Zhou, F. Optimal Production and Subsidy Rate Considering Dynamic Consumer Green Perception under Different Government Subsidy Orientations. Comput. Ind. Eng. 2022, 168, 108073. [Google Scholar] [CrossRef]
- Liu, B.; De Giovanni, P. Green Process Innovation through Industry 4.0 Technologies and Supply Chain Coordination. Ann. Oper. Res. 2019, 1–36. [Google Scholar] [CrossRef]
- Guo, Q.; Zhou, M.; Liu, N.; Wang, Y. Spatial Effects of Environmental Regulation and Green Credits on Green Technology Innovation under Low-Carbon Economy Background Conditions. Int. J. Environ. Res. Public. Health 2019, 16, 3027. [Google Scholar] [CrossRef]
- Zhu, G.; Li, J.; Zhang, Y.; Liu, H. Differential Game Analysis of the Green Innovation Cooperation in Supply Chain under the Background of Dual-Driving. Math. Probl. Eng. 2021, 2021, e5570285. [Google Scholar] [CrossRef]
- Meng, Q.; Wang, Y.; Zhang, Z.; He, Y. Supply Chain Green Innovation Subsidy Strategy Considering Consumer Heterogeneity. J. Clean. Prod. 2021, 281, 125199. [Google Scholar] [CrossRef]
- Elhedhli, S.; Merrick, R. Green Supply Chain Network Design to Reduce Carbon Emissions. Transp. Res. Part. D Transp. Environ. 2012, 17, 370–379. [Google Scholar] [CrossRef]
- Chen, X.; Wang, X.; Zhou, M. Firms’ Green R&D Cooperation Behaviour in a Supply Chain: Technological Spillover, Power and Coordination. Int. J. Prod. Econ. 2019, 218, 118–134. [Google Scholar] [CrossRef]
- Babu, M.M.; Rahman, M.; Alam, A.; Dey, B.L. Exploring Big Data-Driven Innovation in the Manufacturing Sector: Evidence from UK Firms. Ann. Oper. Res. 2024, 333, 689–716. [Google Scholar] [CrossRef]
- Tian, H.; Li, Y.; Zhang, Y. Digital and Intelligent Empowerment: Can Big Data Capability Drive Green Process Innovation of Manufacturing Enterprises? J. Clean. Prod. 2022, 377, 134261. [Google Scholar] [CrossRef]
- Ji, G.; Yu, M.; Tan, K.H.; Kumar, A.; Gupta, S. Decision Optimization in Cooperation Innovation: The Impact of Big Data Analytics Capability and Cooperative Modes. Ann. Oper. Res. 2024, 333, 871–894. [Google Scholar] [CrossRef]
- Ivanov, D.; Dolgui, A. A Digital Supply Chain Twin for Managing the Disruption Risks and Resilience in the Era of Industry 4.0. Prod. Plan. Control 2021, 32, 775–788. [Google Scholar] [CrossRef]
- Kumar Jena, S.; Singhal, D. Optimizing the Competitive Sustainable Process and Pricing Decision of Digital Supply Chain: A Power-Balance Perspective. Comput. Ind. Eng. 2023, 177, 109054. [Google Scholar] [CrossRef]
- Mikalef, P.; Boura, M.; Lekakos, G.; Krogstie, J. The Role of Information Governance in Big Data Analytics Driven Innovation. Inf. Manag. 2020, 57, 103361. [Google Scholar] [CrossRef]
- Caputo, F.; Mazzoleni, A.; Pellicelli, A.C.; Muller, J. Over the Mask of Innovation Management in the World of Big Data. J. Bus. Res. 2020, 119, 330–338. [Google Scholar] [CrossRef]
- Augier, M.; Teece, D.J. Dynamic Capabilities and the Role of Managers in Business Strategy and Economic Performance. Organ. Sci. 2009, 20, 410–421. [Google Scholar] [CrossRef]
- Dong, H.; Chen, J. Research on the Influence of Digital Capability on Service Transformation of Manufacturing Enterprises. In BDEDM 2023: Proceedings of the 2nd International Conference on Big Data Economy and Digital Management, BDEDM 2023, Changsha, China, 6–8 January 2023; European Alliance for Innovation: Bratislava, Slovakia, 2023. [Google Scholar]
- Ferraris, A.; Mazzoleni, A.; Devalle, A.; Couturier, J. Big Data Analytics Capabilities and Knowledge Management: Impact on Firm Performance. Manag. Decis. 2018, 57, 1923–1936. [Google Scholar] [CrossRef]
- Lin, C.; Kunnathur, A. Strategic Orientations, Developmental Culture, and Big Data Capability. J. Bus. Res. 2019, 105, 49–60. [Google Scholar] [CrossRef]
- Cao, G.; Fang, X.; Chen, Y.; She, J. Regional Big Data Application Capability and Firm Green Technology Innovation. Sustainability 2023, 15, 12830. [Google Scholar] [CrossRef]
- Mikalef, P.; Boura, M.; Lekakos, G.; Krogstie, J. Big Data Analytics Capabilities and Innovation: The Mediating Role of Dynamic Capabilities and Moderating Effect of the Environment. Br. J. Manag. 2019, 30, 272–298. [Google Scholar] [CrossRef]
- Waqas, M.; Honggang, X.; Ahmad, N.; Khan, S.A.R.; Iqbal, M. Big Data Analytics as a Roadmap towards Green Innovation, Competitive Advantage and Environmental Performance. J. Clean. Prod. 2021, 323, 128998. [Google Scholar] [CrossRef]
- He, J.; Lei, Y.; Fu, X.; Lin, C.-H.; Chang, C.-H. How Can Manufacturers Promote Green Innovation in Food Supply Chain? Cost Sharing Strategy for Supplier Motivation. Front. Psychol. 2020, 11, 574832. [Google Scholar] [CrossRef] [PubMed]
- Song, Z.; He, S.; Wang, Y.; An, J. Green Pharmaceutical Supply Chain Coordination Considering Green Investment, Green Logistics, and Government Intervention. Environ. Sci. Pollut. Res. 2022, 29, 63321–63343. [Google Scholar] [CrossRef] [PubMed]
- Zhang, N.; Wu, J.; Li, B.; Fu, D. Research on Green Closed-Loop Supply Chain Considering Manufacturer’s Fairness Concerns and Sales Effort. J. Theor. Appl. Electron. Commer. Res. 2023, 18, 333–351. [Google Scholar] [CrossRef]
- Zu, Y.; Zeng, X. Research on Energy Efficiency Improvement in a Supply Chain with Discontinuous Market Demand. Environ. Sci. Pollut. Res. 2020, 27, 15537–15551. [Google Scholar] [CrossRef] [PubMed]
- Hao, Y.; Chen, W.; Yang, H. Collaborative Innovation with Dynamic Incentive Contracts in a Supply Chain. Math. Probl. Eng. 2020, 2020, e6538653. [Google Scholar] [CrossRef]
- Belhadi, A.; Kamble, S.; Jabbour, C.J.C.; Gunasekaran, A.; Ndubisi, N.O.; Venkatesh, M. Manufacturing and Service Supply Chain Resilience to the COVID-19 Outbreak: Lessons Learned from the Automobile and Airline Industries. Technol. Forecast. Soc. Chang. 2021, 163, 120447. [Google Scholar] [CrossRef] [PubMed]
- Piccarozzi, M.; Aquilani, B. The Role of Big Data in the Business Challenge of COVID-19: A Systematic Literature Review in Managerial Studies. Procedia Comput. Sci. 2022, 200, 1746–1755. [Google Scholar] [CrossRef] [PubMed]
- Mani, V.; Delgado, C.; Hazen, B.T.; Patel, P. Mitigating Supply Chain Risk via Sustainability Using Big Data Analytics: Evidence from the Manufacturing Supply Chain. Sustainability 2017, 9, 608. [Google Scholar] [CrossRef]
- Xie, J.; Zhang, T.; Zhao, J. Research on the Mechanism of Digital Transformation to Improve Enterprise Environmental Performance. Ind. Manag. Data Syst. 2023, 123, 3137–3163. [Google Scholar] [CrossRef]
- Chatterjee, S.; Chaudhuri, R.; Shah, M.; Maheshwari, P. Big Data Driven Innovation for Sustaining SME Supply Chain Operation in Post COVID-19 Scenario: Moderating Role of SME Technology Leadership. Comput. Ind. Eng. 2022, 168, 108058. [Google Scholar] [CrossRef] [PubMed]
- Sarkis, J.; Kouhizadeh, M.; Zhu, Q.S. Digitalization and the Greening of Supply Chains. Ind. Manag. Data Syst. 2020, 121, 65–85. [Google Scholar] [CrossRef]
- Hu, H.; Li, Y.; Li, M. Decisions and Coordination of Green Supply Chain Considering Big Data Targeted Advertising. J. Theor. Appl. Electron. Commer. Res. 2022, 17, 1035–1056. [Google Scholar] [CrossRef]
- Liu, P.; Yi, S. Pricing Policies of Green Supply Chain Considering Targeted Advertising and Product Green Degree in the Big Data Environment. J. Clean. Prod. 2017, 164, 1614–1622. [Google Scholar] [CrossRef]
- Liu, P. Pricing Policies and Coordination of Low-Carbon Supply Chain Considering Targeted Advertisement and Carbon Emission Reduction Costs in the Big Data Environment. J. Clean. Prod. 2019, 210, 343–357. [Google Scholar] [CrossRef]
- Xiang, Z.; Xu, M. Dynamic Game Strategies of a Two-Stage Remanufacturing Closed-Loop Supply Chain Considering Big Data Marketing, Technological Innovation and Overconfidence. Comput. Ind. Eng. 2020, 145, 106538. [Google Scholar] [CrossRef]
- Zhao, N.; Wang, Q. Analysis of Two Financing Modes in Green Supply Chains When Considering the Role of Data Collection. Ind. Manag. Data Syst. 2020, 121, 921–939. [Google Scholar] [CrossRef]
- Li, M.; Dong, H.; Yu, H.; Sun, X.; Zhao, H. Evolutionary Game and Simulation of Collaborative Green Innovation in Supply Chain under Digital Enablement. Sustainability 2023, 15, 3125. [Google Scholar] [CrossRef]
- Wei, Q.; Qiao, D.; Zhang, J.; Chen, G.; Guo, X. A Novel Bipartite Graph Based Competitiveness Degree Analysis from Query Logs. ACM Trans. Knowl. Discov. Data 2016, 11, 1–25. [Google Scholar] [CrossRef]
- He, J.; Fang, X.; Liu, H.; Li, X. Mobile App Recommendation: An Involvement-Enhanced Approach. MIS Q. 2019, 43, 827–849. [Google Scholar] [CrossRef]
- He, J.; Liu, H. Mining Exploratory Behavior to Improve Mobile App Recommendations. ACM Trans. Inf. Syst. 2017, 35, 1–37. [Google Scholar] [CrossRef]
- Ning, J.; Jiang, X.; Luo, J. Relationship between Enterprise Digitalization and Green Innovation: A Mediated Moderation Model. J. Innov. Knowl. 2023, 8, 100326. [Google Scholar] [CrossRef]
- Zailani, S.; Govindan, K.; Iranmanesh, M.; Shaharudin, M.R.; Sia Chong, Y. Green Innovation Adoption in Automotive Supply Chain: The Malaysian Case. J. Clean. Prod. 2015, 108, 1115–1122. [Google Scholar] [CrossRef]
- Knight, L.; Tate, W.L.; Matopoulos, A.; Meehan, J.; Salmi, A. Breaking the Mold: Research Process Innovations in Purchasing and Supply Management. J. Purch. Supply Manag. 2016, 22, 239–243. [Google Scholar] [CrossRef]
- Hong, J.; Zheng, R.; Deng, H.; Zhou, Y. Green Supply Chain Collaborative Innovation, Absorptive Capacity and Innovation Performance: Evidence from China. J. Clean. Prod. 2019, 241, 118377. [Google Scholar] [CrossRef]
- Li, G.; Shi, X.; Yang, Y.; Lee, P.K.C. Green Co-Creation Strategies among Supply Chain Partners: A Value Co-Creation Perspective. Sustainability 2020, 12, 4305. [Google Scholar] [CrossRef]
- Zhang, X.; Yousaf, H.M.A.U. Green Supply Chain Coordination Considering Government Intervention, Green Investment, and Customer Green Preferences in the Petroleum Industry. J. Clean. Prod. 2020, 246, 118984. [Google Scholar] [CrossRef]
- Liu, J.; Ke, H.; Gao, Y. Manufacturer’s R&D Cooperation Contract: Linear Fee or Revenue-Sharing Payment in a Low-Carbon Supply Chain. Ann. Oper. Res. 2022, 318, 323–355. [Google Scholar] [CrossRef]
- Hu, C.; Liu, P.; Yang, H.; Yin, S.; Ullah, K.; Hu, C.; Liu, P.; Yang, H.; Yin, S.; Ullah, K. A Novel Evolution Model to Investigate the Collaborative Innovation Mechanism of Green Intelligent Building Materials Enterprises for Construction 5.0. Math 2023, 8, 8117–8143. [Google Scholar] [CrossRef]
- Wei, J.; Yi, X.; Yang, X.; Liu, Y. Blockchain-Based Design of a Government Incentive Mechanism for Manufacturing Supply Chain Data Governance. Sustainability 2023, 15, 6968. [Google Scholar] [CrossRef]
- Zheng, X.-X.; Li, D.-F. A New Biform Game-Based Investment Incentive Mechanism for Eco-Efficient Innovation in Supply Chain. Int. J. Prod. Econ. 2023, 258, 108795. [Google Scholar] [CrossRef]
- Zhou, X.; Liu, Z.; Liu, J.; Ku, Z. The Choice of Cooperative Technology Innovation Strategies in a Supply Chain under Governmental Subsidy. RAIRO-Oper. Res. 2022, 56, 2669–2700. [Google Scholar] [CrossRef]
- Wang, W.; Zhang, Y.; Zhang, W.; Gao, G.; Zhang, H. Incentive Mechanisms in a Green Supply Chain under Demand Uncertainty. J. Clean. Prod. 2021, 279, 123636. [Google Scholar] [CrossRef]
- Chang, S.; Yue, J.; Wang, X.; Yu, B. Managerial Strategies for Process Innovation through the Perspective of Competition among Supply Chain Members. J. Clean. Prod. 2021, 296, 126532. [Google Scholar] [CrossRef]
- Ghosh, D.; Shah, J. Supply Chain Analysis under Green Sensitive Consumer Demand and Cost Sharing Contract. Int. J. Prod. Econ. 2015, 164, 319–329. [Google Scholar] [CrossRef]
- Liu, G.; Zhang, J.; Tang, W. Strategic Transfer Pricing in a Marketing–Operations Interface with Quality Level and Advertising Dependent Goodwill. Omega 2015, 56, 1–15. [Google Scholar] [CrossRef]
- Zhou, Y.; Ye, X. Differential Game Model of Joint Emission Reduction Strategies and Contract Design in a Dual-Channel Supply Chain. J. Clean. Prod. 2018, 190, 592–607. [Google Scholar] [CrossRef]
- Panda, S.; Modak, N.M.; Basu, M.; Goyal, S.K. Channel Coordination and Profit Distribution in a Social Responsible Three-Layer Supply Chain. Int. J. Prod. Econ. 2015, 168, 224–233. [Google Scholar] [CrossRef]
- Zhou, Y.; Hu, F.; Zhou, Z. Pricing Decisions and Social Welfare in a Supply Chain with Multiple Competing Retailers and Carbon Tax Policy. J. Clean. Prod. 2018, 190, 752–777. [Google Scholar] [CrossRef]
- Yoo, S.H.; Cheong, T. Quality Improvement Incentive Strategies in a Supply Chain. Transp. Res. Part. E Logist. Transp. Rev. 2018, 114, 331–342. [Google Scholar] [CrossRef]
- Gu, X.; Ieromonachou, P.; Zhou, L.; Tseng, M.-L. Developing Pricing Strategy to Optimise Total Profits in an Electric Vehicle Battery Closed Loop Supply Chain. J. Clean. Prod. 2018, 203, 376–385. [Google Scholar] [CrossRef]










Disclaimer/Publisher’s Note: The statements, opinions and data contained in all publications are solely those of the individual author(s) and contributor(s) and not of MDPI and/or the editor(s). MDPI and/or the editor(s) disclaim responsibility for any injury to people or property resulting from any ideas, methods, instructions or products referred to in the content. |
© 2024 by the authors. Licensee MDPI, Basel, Switzerland. This article is an open access article distributed under the terms and conditions of the Creative Commons Attribution (CC BY) license (https://creativecommons.org/licenses/by/4.0/).
Share and Cite
Cheng, W.; Wu, Q.; Li, Q.; Ye, F.; Tan, L. Dynamic Incentive Mechanisms for Collaborative Innovation of Green Supply Chain Considering Digital Capability and Consumer Green Preference. J. Theor. Appl. Electron. Commer. Res. 2024, 19, 1267-1302. https://doi.org/10.3390/jtaer19020065
Cheng W, Wu Q, Li Q, Ye F, Tan L. Dynamic Incentive Mechanisms for Collaborative Innovation of Green Supply Chain Considering Digital Capability and Consumer Green Preference. Journal of Theoretical and Applied Electronic Commerce Research. 2024; 19(2):1267-1302. https://doi.org/10.3390/jtaer19020065
Chicago/Turabian StyleCheng, Wen, Qunqi Wu, Qian Li, Fei Ye, and Lingling Tan. 2024. "Dynamic Incentive Mechanisms for Collaborative Innovation of Green Supply Chain Considering Digital Capability and Consumer Green Preference" Journal of Theoretical and Applied Electronic Commerce Research 19, no. 2: 1267-1302. https://doi.org/10.3390/jtaer19020065
APA StyleCheng, W., Wu, Q., Li, Q., Ye, F., & Tan, L. (2024). Dynamic Incentive Mechanisms for Collaborative Innovation of Green Supply Chain Considering Digital Capability and Consumer Green Preference. Journal of Theoretical and Applied Electronic Commerce Research, 19(2), 1267-1302. https://doi.org/10.3390/jtaer19020065

