Sign in to use this feature.

Years

Between: -

Subjects

remove_circle_outline
remove_circle_outline
remove_circle_outline
remove_circle_outline
remove_circle_outline
remove_circle_outline
remove_circle_outline
remove_circle_outline
remove_circle_outline

Journals

remove_circle_outline
remove_circle_outline
remove_circle_outline
remove_circle_outline
remove_circle_outline
remove_circle_outline
remove_circle_outline
remove_circle_outline
remove_circle_outline
remove_circle_outline
remove_circle_outline
remove_circle_outline
remove_circle_outline
remove_circle_outline
remove_circle_outline
remove_circle_outline
remove_circle_outline
remove_circle_outline

Article Types

Countries / Regions

remove_circle_outline
remove_circle_outline
remove_circle_outline
remove_circle_outline

Search Results (519)

Search Parameters:
Keywords = yoga

Order results
Result details
Results per page
Select all
Export citation of selected articles as:
14 pages, 791 KB  
Article
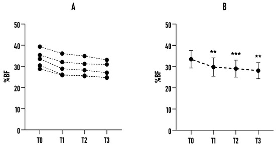
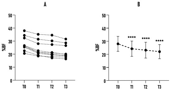
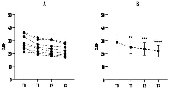
Six Months of Bikram Yoga: Longitudinal Effects on Body Fat Reduction and Age-Related Responses in Adult Women
by Federico Zoila, Daniela Cagnetta, Sergio Bellantonio, Pasquale Simeone, Paola Lanuti, Maria Antonietta Panaro, Laura Civita, Laura Antonucci and Chiara Porro
Healthcare 2026, 14(8), 1032; https://doi.org/10.3390/healthcare14081032 - 14 Apr 2026
Viewed by 192
Abstract
Background: Bikram yoga, a form of hot yoga practiced in heated environments, has been associated with improvements in flexibility, body composition, and overall well-being. However, longitudinal evidence on its effects in adult women remains limited. Obesity/metabolic syndrome (MetS) is highly prevalent among adult [...] Read more.
Background: Bikram yoga, a form of hot yoga practiced in heated environments, has been associated with improvements in flexibility, body composition, and overall well-being. However, longitudinal evidence on its effects in adult women remains limited. Obesity/metabolic syndrome (MetS) is highly prevalent among adult women worldwide, with estimates exceeding 40% in middle-aged populations, underscoring the need for low-impact interventions targeting adiposity and age-related metabolic risks. This study evaluated the effects of 6-month Bikram yoga on body fat percentage (%BF) in adult women, with age-stratified analyses. Methods: Twenty-two women (20–65 years) participated in a structured Bikram yoga program consisting of three weekly sessions (90 min, 26 postures + 2 breathing exercises, 40 °C, 40% humidity) over six months. Anthropometric assessments (8 skinfolds, 5 body circumferences, weight, and height) were conducted at T0, T1 (~45 days), T2 (~90 days), and T3 (6 months). %BF was estimated using multiple validated prediction equations integrated into the Exercise Science Toolkit. Results: A significant and progressive reduction in %BF was observed across the sample: −3.71% at T1 (p < 0.0001) and −6.07 at T3 (p < 0.0001) compared to the baseline. Positive outcomes were consistent across all age subgroups: subgroup A (20–35 years, T3 −6.62%), subgroup B (36–50 years, T3 −5.96%), and subgroup C (51–65 years, T3 −5.39%). Decreased inter-subject variability (SD) suggests a similar direction of change among participants. Conclusions: Regular Bikram yoga practice (three sessions per week for six months) was associated with significantly and consistently reduced %BF among adult women aged 20–65, exceeding the clinical threshold (>5%) for metabolic benefits. Effects were evident after six weeks and remained across all age subgroups, suggesting that Bikram yoga may represent an effective, low-impact intervention for health promotion and active aging. Full article
(This article belongs to the Special Issue Innovative Exercise-Based Approaches for Chronic Condition Management)
Show Figures

Figure 1

15 pages, 445 KB  
Article
A Dance and Yoga Intervention for Girls with Functional Abdominal Pain: Effects on Pain Frequency, Depressive Symptoms, Quality of Life, School Absenteeism, and Somatic Symptoms: A Randomized Controlled Trial
by Sofie Högström, Anna Duberg, Anna Philipson, Ulrika L. Fagerberg and Stefan Särnblad
Children 2026, 13(4), 542; https://doi.org/10.3390/children13040542 - 13 Apr 2026
Viewed by 200
Abstract
Background: Functional abdominal pain disorders (FAPDs) are common in youth and are often associated with depressive symptoms, school absenteeism, somatic symptoms, and low quality of life. This study aims to evaluate the effects of a dance and yoga intervention on abdominal pain frequency [...] Read more.
Background: Functional abdominal pain disorders (FAPDs) are common in youth and are often associated with depressive symptoms, school absenteeism, somatic symptoms, and low quality of life. This study aims to evaluate the effects of a dance and yoga intervention on abdominal pain frequency and associated symptoms over 24 months. Methods: This study presents analyses from a randomized controlled trial including 121 girls aged 9–13 years who were diagnosed with FAPDs. The intervention consisted of twice-weekly group sessions over eight months, combining dance and yoga. The primary outcome, maximum abdominal pain at 8 months, was published in 2022. Abdominal pain, depressive symptoms, health-related quality of life, school absenteeism, and somatic symptoms were prespecified as secondary outcomes in this study’s protocol. In the present manuscript, abdominal pain is analyzed as abdominal pain frequency. These secondary outcomes were assessed at 4, 8, 12, and 24 months. Both intention-to-treat and supportive per-protocol analyses were performed. Results: The intention-to-treat analysis showed a reduction in abdominal pain frequency in the intervention group compared with controls, with a mean difference of −1.10 with respect to the 95% CI (days per week) (−2.03 to −0.16; p = 0.02) at 8 months and −1.34 (−2.28 to −0.40; p = 0.005) at 12 months. No significant group differences were observed in the other outcomes. Per-protocol analyses showed similar or greater positive effects of the intervention. Conclusion: An intervention with combined dance and yoga has the potential to contribute to reductions in abdominal pain frequency at 8 and 12 months post-baseline in girls with FAPDs. Full article
(This article belongs to the Section Global Pediatric Health)
24 pages, 1493 KB  
Article
Mechanism of FoxO1 in the Metabolic Shift of Fetal Rat Heart
by William William, Neng Tine Kartinah, Ani Retno Prijanti, Yoga Yuniadi, Prasandhya Astagiri Yusuf and Yow-Pin Lim
Molecules 2026, 31(8), 1275; https://doi.org/10.3390/molecules31081275 - 13 Apr 2026
Viewed by 192
Abstract
Cardiovascular diseases remain a leading cause of morbidity and mortality worldwide, underscoring the need to better understand cardiovascular physiology. A key aspect involves identifying regulatory molecules that govern metabolic shifts. Forkhead box protein O1 (FoxO1) has emerged as a potential regulator; however, its [...] Read more.
Cardiovascular diseases remain a leading cause of morbidity and mortality worldwide, underscoring the need to better understand cardiovascular physiology. A key aspect involves identifying regulatory molecules that govern metabolic shifts. Forkhead box protein O1 (FoxO1) has emerged as a potential regulator; however, its role and underlying mechanisms remain unclear. This study investigated FoxO1 in metabolic adaptation using Wistar rats divided into age groups (fetal, postnatal day 1, postnatal day 7, adult) and treatment groups (control, hypoxia, FoxO1 inhibitor, combination). Hypoxia (12–14% O2) and FoxO1 inhibitor (AS1842856, 10 mg/kgBW/day) were administered accordingly. Parameters assessed included hypoxia inducible factor 1 α (HIF-1α), FoxO1 mRNA and protein, glucose transporter type 1 (GLUT1), glucose transporter type 4 (GLUT4), cluster of differentiation 36 (CD36), hexokinase, pyruvate dehydrogenase kinase isoform 4 (PDK4), phosphoenolpyruvate carboxykinase (PEPCK), lactic acid, malonyl-CoA, carnitine palmitoyltransferase 1 (CPT1), citrate synthase, cytochrome c, and adenosine triphosphate (ATP). ATP production increased with age, associated with higher FoxO1 expression and metabolic shifts. Hypoxia in fetal hearts reduced HIF-1α and FoxO1. FoxO1 inhibition elevated glycolytic and oxidative markers. In conclusion, FoxO1 regulates glycolysis and lipid metabolism, offering insights into cardiac adaptation to hypoxia and potential therapeutic strategies. Full article
(This article belongs to the Section Chemical Biology)
15 pages, 1352 KB  
Article
Frequency-Stratified Changes in BDNF, IGF-1, and Cognitive Screening Scores Following a 16-Week Hatha Yoga Program in Older Women: A Quasi-Experimental Study
by Seonyoung Son, Suhan Koh, Taehyung Kim, Minkyo Kim, Daniel Newmire, Taekyu Kim and Doyeon Kim
Healthcare 2026, 14(8), 1012; https://doi.org/10.3390/healthcare14081012 - 12 Apr 2026
Viewed by 265
Abstract
Background/Objectives: Aging is associated with declines in cognitive function and neurotrophic support. Brain-derived neurotrophic factor (BDNF) and insulin-like growth factor-1 (IGF-1) are peripheral biomarkers discussed in relation to brain health and aging. This study investigated changes in serum BDNF, IGF-1, and cognitive screening [...] Read more.
Background/Objectives: Aging is associated with declines in cognitive function and neurotrophic support. Brain-derived neurotrophic factor (BDNF) and insulin-like growth factor-1 (IGF-1) are peripheral biomarkers discussed in relation to brain health and aging. This study investigated changes in serum BDNF, IGF-1, and cognitive screening scores after a 16-week Hatha Yoga program performed twice or four times per week in older women. Methods: Fifty-one community-dwelling women aged 70–79 years were allocated to a twice-per-week yoga group (2YG; n = 17), a four-times-per-week yoga group (4YG; n = 17), or a non-exercise control group (CON; n = 17) based on availability and participant preference; forty-three participants completed the study. Serum BDNF and IGF-1 were analyzed using enzyme-linked immunosorbent assay and chemiluminescent immunoassay, and cognitive status was evaluated using the Cognitive Impairment Screening Test (CIST). Outcomes were analyzed using two-way repeated-measures ANOVA and additional ANCOVA models adjusting for corresponding baseline values. Exploratory correlations were examined between biomarker changes and CIST changes. Effect sizes and 95% confidence intervals were reported. Results: BDNF showed a significant main effect of time (p < 0.05) without a significant group × time interaction; ANCOVA adjusting for baseline BDNF showed no significant group effect (p = 0.270). IGF-1 showed a significant group × time interaction (p < 0.01) with increases in both yoga groups; ANCOVA adjusting for baseline IGF-1 showed a significant group effect (p = 0.001). CIST showed a significant main effect of time (p < 0.01), but changes were small and the group × time interaction was not significant; ANCOVA adjusting for baseline CIST showed no significant group effect (p = 0.114). Biomarker changes were not clearly correlated with CIST changes (ΔBDNF–ΔCIST: r = −0.244, p = 0.115; ΔIGF-1–ΔCIST: r = −0.050, p = 0.750). Conclusions: In this quasi-experimental study with non-random allocation and limited covariate information, changes in peripheral neurotrophic factors and only small changes in cognitive screening scores were observed after participation in a 16-week Hatha Yoga program. However, frequency-dependent conclusions are limited, and findings should be interpreted cautiously as screening-level, hypothesis-generating reference data. Nevertheless, the program is considered a feasible, low-risk health promotion activity for older women and may inform future randomized or well-controlled studies. Full article
(This article belongs to the Special Issue Exercise Science and Health Promotion)
Show Figures

Figure 1

17 pages, 371 KB  
Review
A Scoping Review of Exercise Oncology in the Primary Brain Tumor Patient–Caregiver Dyad
by Anh Huan Vo, Maximilian Libmann, David Carson, Kimberly Wang, Sushant Puri, Nicholas Butowski and Kerri Winters-Stone
Curr. Oncol. 2026, 33(4), 193; https://doi.org/10.3390/curroncol33040193 - 30 Mar 2026
Viewed by 310
Abstract
Background: Primary malignant brain tumors (PBT) impose substantial burdens on patients and caregivers. Caregivers are essential in the delivery of outpatient care for patients with PBT but experience high levels of fatigue, distress, and health decline. Although exercise is known to improve outcomes [...] Read more.
Background: Primary malignant brain tumors (PBT) impose substantial burdens on patients and caregivers. Caregivers are essential in the delivery of outpatient care for patients with PBT but experience high levels of fatigue, distress, and health decline. Although exercise is known to improve outcomes in cancer patients, interventions tailored specifically to the PBT patient–caregiver dyad remain limited. Dyadic intervention, as well as exercise oncology, are emerging areas of active research in neuro-oncology. This scoping review incorporates both principles to evaluate the existing literature on exercise interventions on primary brain tumor patient–caregiver dyads. Methods: We conducted a comprehensive search of MEDLINE (PubMed), Embase, CINAHL (EBSCO), Rehabilitation & Sports Medicine (EBSCO), and Cochrane Central (Ovid) in December 2025 for studies involving exercise interventions that included adult PBT patients and caregivers. Results: Of the 1126 records screened, eight studies were included: four yoga-based interventions (three feasibility trials and one ongoing multicenter RCT), one pilot ski-based intervention, and three aerobic and resistance training-based interventions (two qualitative and one ongoing trial). The interventions were safe and feasible, with high adherence and retention. The preliminary reported benefits included improvements in fatigue, sleep, quality of life, and caregiver distress for the dyads. Videoconference delivery was effective, particularly during the COVID-19 pandemic. The eight included studies comprised 5–67 dyads, with four being single-arm feasibility studies. Conclusions: Current literature on dyadic exercise intervention in neuro-oncology consists primarily of small-scale feasibility and pilot studies. Initial findings have demonstrated that such interventions are safe. However, preliminary efficacy remains limited due to the risk of bias and lack of statistical power. Larger randomized clinical trials with objective endpoints are needed to define efficacy and guide evidence-based protocols. Full article
(This article belongs to the Section Neuro-Oncology)
Show Figures

Figure 1

24 pages, 478 KB  
Article
The Paradox of Omniscience (Sarvajñāna): From Divine Omniscience to the Mystical Self-Awareness in Indian Philosophy
by Youngsun Yang
Religions 2026, 17(3), 398; https://doi.org/10.3390/rel17030398 - 20 Mar 2026
Viewed by 325
Abstract
While Western theology typically locates omniscience in a personal Creator-God, Indian philosophy presents a notable spectrum. This article traces the dialectical arc of omniscience (sarvajñāna) across major Indian philosophical traditions, arguing that what appears as an epistemological question—“who knows everything?”—is ultimately [...] Read more.
While Western theology typically locates omniscience in a personal Creator-God, Indian philosophy presents a notable spectrum. This article traces the dialectical arc of omniscience (sarvajñāna) across major Indian philosophical traditions, arguing that what appears as an epistemological question—“who knows everything?”—is ultimately an ontological puzzle about the nature of consciousness itself. Moving from the Vedic oscillation between cosmic personhood (Puruṣa Sūkta) and primordial uncertainty (Nāsadīya Sūkta), through the Upaniṣadic internalization of omniscience as Self-knowledge (ātmajñatā), the article examines how Nyāya-Yoga affirms divine omniscience as a logical and soteriological necessity, how Mīmāṃsā displaces it onto an impersonal authorless text, and how Jainism and Buddhism reappropriate it as a perfected human achievement. The final section demonstrates that both Sāṃkhya’s isolation (kaivalya) and Advaita Vedānta’s non-dual realization ultimately transcend encyclopedic omniscience, revealing that authentic liberation requires not the possession of maximal information but a transformation from representational object-knowledge to non-objectifying awareness. Together, these trajectories constitute Indian philosophy’s most enduring contribution to the global philosophy of religion: the recognition that the “All” cannot be an object of knowledge, because it is the very condition for any knowledge whatever. Full article
24 pages, 4870 KB  
Article
Multi-Scale Dilated Autoformer for UAV Energy Consumption Forecasting
by Zalza Karima, Muhammad Fairuz Mummtaz, Khairi Hindriyandhito Nurcahyo, Ida Bagus Krishna Yoga Utama and Yeong Min Jang
Drones 2026, 10(3), 215; https://doi.org/10.3390/drones10030215 - 18 Mar 2026
Viewed by 257
Abstract
Understanding power consumption conditions is necessary for optimizing UAV energy use, particularly during flight under varying weather conditions and environmental factors. Maintaining UAV energy while accounting for multiple influencing variables and vulnerability to weather conditions provides an appropriate case study for advanced predictive [...] Read more.
Understanding power consumption conditions is necessary for optimizing UAV energy use, particularly during flight under varying weather conditions and environmental factors. Maintaining UAV energy while accounting for multiple influencing variables and vulnerability to weather conditions provides an appropriate case study for advanced predictive modeling. This study investigates UAV power consumption during hovering flight by forecasting power usage using a MDFA network to improve prediction accuracy and better adapt to rapid weather-induced variations. To capture intricate temporal dependencies and recurrent oscillatory behavior, the integrated model combines multi-scale dilated convolutions with a Fourier-enhanced mechanism. According to the experimental results, this model achieves 3% error reductions under all tested flight conditions, indicating a significant improvement in performance. Overall, the MDFA model consistently showed better performance under high power consumption conditions than under low power consumption conditions, and it produced the lowest error in heavy flight compared to low and medium flight. Full article
Show Figures

Figure 1

17 pages, 259 KB  
Article
Mind–Body Medicine Training for Incarcerated Men and Women
by Julie K. Staples, Jesse Rice, Kathleen S. Farah, Sabrina N’Diaye and James S. Gordon
Healthcare 2026, 14(6), 746; https://doi.org/10.3390/healthcare14060746 - 16 Mar 2026
Viewed by 434
Abstract
Background/Objective: Mind–body programs teaching mindfulness-based techniques have benefits for incarcerated people, as do programs in which individuals teach yoga to their incarcerated peers. However, there are no studies of comprehensive programs that combine a variety of self-care techniques with group support and enable [...] Read more.
Background/Objective: Mind–body programs teaching mindfulness-based techniques have benefits for incarcerated people, as do programs in which individuals teach yoga to their incarcerated peers. However, there are no studies of comprehensive programs that combine a variety of self-care techniques with group support and enable people in prison to enhance their own well-being and then share what they have learned with their peers. This study evaluated the effects of such a training program in the United States. Methods: Thirty-eight incarcerated men and women began the 8-day mind–body medicine training and 31 completed the training. Mind–body techniques taught included soft belly breathing, meditation, autogenics and biofeedback, guided imagery, mindful eating, self-expression through drawings and writing, and genograms. Outcomes included resilience, depression, anxiety, stress, coping self-efficacy, optimism, meaning in life, and purpose in life. Outcomes were measured before and after the training, and at a 6-month follow-up. Results: There were significant improvements in resilience, depression, anxiety, stress, coping self-efficacy, optimism, the presence of meaning in life, and purpose in life after the training. All of these improvements were maintained at follow-up. The most frequently practiced skills both after the training and at follow-up were soft belly breathing, meditation, and mindful eating. Conclusions: The training provided participants with skills that had a lasting positive benefit on numerous aspects of their own well-being and trained them to teach the skills to their incarcerated peers. The results of this uncontrolled study suggest that the mind–body medicine training program may be helpful to incarcerated people in other prison systems. Full article
(This article belongs to the Section Mental Health and Psychosocial Well-being)
10 pages, 773 KB  
Article
Inducing Lucid Dreaming Based on a Contemplative Practice of Compassion
by Daniel J. Morris, Susana G. Torres-Platas, Karen R. Konkoly, John Hirschle, Lodoe Sangpo, Thabkhe, Tenzin Legden, Lobsang Pelmo, Tenzin Pasang, Marcia Grabowecky, Robin Nusslock and Ken A. Paller
Brain Sci. 2026, 16(3), 315; https://doi.org/10.3390/brainsci16030315 - 16 Mar 2026
Viewed by 1181
Abstract
Background/Objectives: Lucid dreaming—dreaming with the awareness that one is dreaming—has been explored from many perspectives, including those of cognitive neuroscience and various ancient cultural traditions. Lucid dreaming appears within the Tibetan-Buddhist literature together with dream yoga, a set of contemplative practices aimed at [...] Read more.
Background/Objectives: Lucid dreaming—dreaming with the awareness that one is dreaming—has been explored from many perspectives, including those of cognitive neuroscience and various ancient cultural traditions. Lucid dreaming appears within the Tibetan-Buddhist literature together with dream yoga, a set of contemplative practices aimed at cultivating lucidity during dreams along with other qualities such as visual imagination, somatic awareness, and cognitive flexibility. These practices include deity visualization, which is the practice of bringing to mind a detailed image of a being whose qualities the practitioner wishes to cultivate. We examined whether it is possible to induce a lucid dream of Chenrezig, the ultimate embodiment of compassion in a Tibetan-Buddhist context. Methods: Five participants slept in the sleep laboratory for 7 overnight sessions with polysomnographic recording and auditory reminders to visualize Chenrezig during REM sleep. Results: Lucid dreams were reported by two participants. A frequent lucid dreamer with no prior Tibetan-Buddhist training experienced a lucid dream that included a visualization of Chenrezig following auditory cueing during REM sleep. A monastic participant with no prior history of lucid dreaming reported their first-ever lucid dream on the night following their laboratory session. Conclusions: This exploratory study illustrates, via collaborative research including monastic scholars trained in neuroscience, that dream content can be intentionally shaped using an approach that integrates contemplative visualization practices with modern techniques of dream engineering. Full article
Show Figures

Figure 1

18 pages, 1007 KB  
Review
Mind–Body Movement-Based Interventions and Periodontal Health: A Scoping Review
by Marco M. Herz and Valentin Bartha
Dent. J. 2026, 14(3), 143; https://doi.org/10.3390/dj14030143 - 5 Mar 2026
Viewed by 381
Abstract
Background: Periodontitis is a highly prevalent chronic inflammatory disease characterized by a complex host–microbe interaction and modulated by systemic regulatory pathways, including stress-related neuroendocrine and immunological mechanisms. Mind–body movement-based interventions such as yoga, tai chi, and qigong have demonstrated beneficial effects on [...] Read more.
Background: Periodontitis is a highly prevalent chronic inflammatory disease characterized by a complex host–microbe interaction and modulated by systemic regulatory pathways, including stress-related neuroendocrine and immunological mechanisms. Mind–body movement-based interventions such as yoga, tai chi, and qigong have demonstrated beneficial effects on stress and inflammation in general medicine, yet their relevance for periodontal health has not been systematically mapped. Methods: A scoping review was conducted in accordance with the Joanna Briggs Institute methodology and the PRISMA-ScR guidelines. Eligibility criteria included studies conducted in adult human participants examining mind–body movement-based interventions in relation to periodontal health. Sources of evidence comprised peer-reviewed studies identified through systematic searches in CINAHL, BIOSIS, Embase, PubMed/MEDLINE, the Cochrane Library, Web of Science, and LIVIVO. Data were charted using a standardized extraction form capturing key study characteristics and outcomes. Eligible studies reported clinical periodontal parameters and/or biological or psychosocial outcomes related to stress or inflammation. Results: Eleven studies investigating mind–body movement-based interventions and periodontal health were included. Interventions comprised yoga, pranayama, tai chi, and qigong, with study designs ranging from one randomized controlled trial to non-randomized interventional and observational studies. Most studies reported clinical periodontal parameters and/or periodontal-related biological markers, including inflammatory, oxidative, and immune markers, and several also assessed stress-related outcomes. The interventions were applied both as adjuncts to conventional periodontal therapy and as stand-alone approaches. Overall, the included studies reported short-term changes in periodontal parameters and stress-related measures that were generally directed towards associated with improvement; however, long-term periodontal outcomes were rarely assessed. Conclusions: Mind–body movement-based interventions, such as yoga and pranayama, have been examined in relation to periodontal health, with studies reporting periodontal clinical parameters, biological markers, and stress-related outcomes. The available evidence is heterogeneous and largely limited to short-term observations. Further methodologically rigorous studies with standardized outcome measures and longer follow-up periods are needed to better characterize the relationship between mind–body interventions and their potential adjunctive relevance in periodontal care, as current evidence does not allow conclusions regarding their routine adjunctive use. Full article
(This article belongs to the Special Issue Feature Review Papers in Dentistry: 2nd Edition)
Show Figures

Graphical abstract

19 pages, 668 KB  
Article
The Effectiveness of a Multidisciplinary Integrative Survivorship Program for Cancer-Related Cognitive Impairment: A Prospective Cohort Study
by Nathalie Vanlaer, Camille Testaferrata, Lynn Decabooter, Iris Dirven, Cleo Bertels, Lara Stas, Sebastien Van Eycken, Matthieu Hein, Bart Neyns and Anne Rogiers
Cancers 2026, 18(5), 785; https://doi.org/10.3390/cancers18050785 - 28 Feb 2026
Viewed by 516
Abstract
Background: Cancer-related cognitive impairment (CRCI) affects quality of life, daily functioning and return-to-work. However, CRCI remains under-addressed in cancer care. Since cognitive complaints often co-occur with fatigue and psychological distress, a multimodal approach is warranted. We developed Integrative Neuro-Cognitive Remediation Therapy (INCRT), [...] Read more.
Background: Cancer-related cognitive impairment (CRCI) affects quality of life, daily functioning and return-to-work. However, CRCI remains under-addressed in cancer care. Since cognitive complaints often co-occur with fatigue and psychological distress, a multimodal approach is warranted. We developed Integrative Neuro-Cognitive Remediation Therapy (INCRT), a multidisciplinary survivorship program combining personalized cognitive function and strategy training with group-based psychoeducation, cognitive–behavioral therapy and Acceptance and Commitment Therapy, and onco-yoga. Methods: Cancer survivors suffering from CRCI were eligible. Assessments included neuropsychological testing, patient-reported outcomes, and daily functioning at baseline (T0), post-intervention (T1), and 6-month follow-up (T2). Primary outcomes were objective and subjective neurocognitive functioning (NCF); secondary outcomes were psychological distress, fatigue, metacognition, and daily functioning. Changes were analyzed using linear mixed models. Results: Between November 2022 and January 2025, 44 of 56 eligible survivors enrolled; 38 completed the program (71.1% female; median age 53.5). Objective and subjective NCF improved significantly at T1 and T2 (ps < 0.001). Psychological distress, fatigue, and unhelpful metacognitions decreased over time (ps < 0.05). Participants reported greater emotional and cognitive insight and improved daily functioning. Conclusions: INCRT improves cognitive functioning, reduces psychological distress and fatigue, and enhances daily functioning, with benefits maintained at follow-up. The integrative design supports sustained effects by promoting internalization and daily application of learned strategies. Full article
Show Figures

Graphical abstract

23 pages, 466 KB  
Article
Between Sleep and Liberation in Indian Traditions: Lucid Dreaming, Out-of-Body Experiences, and the Architectures of Liminal Consciousness
by Youngsun Yang
Religions 2026, 17(3), 279; https://doi.org/10.3390/rel17030279 - 24 Feb 2026
Viewed by 650
Abstract
This article examines the theoretical and practical frameworks surrounding liminal states of consciousness—specifically lucid dreaming and out-of-body experiences (OBEs)—within Indian religious and philosophical traditions. Through a comparative analysis of Vedāntic, Yogic, Buddhist, and Jain systems, the article argues that these states are not [...] Read more.
This article examines the theoretical and practical frameworks surrounding liminal states of consciousness—specifically lucid dreaming and out-of-body experiences (OBEs)—within Indian religious and philosophical traditions. Through a comparative analysis of Vedāntic, Yogic, Buddhist, and Jain systems, the article argues that these states are not merely anomalous psychological events but deliberately cultivated “architectures of liminality” designed to investigate the nature of self, consciousness, and reality. Methodologically, this article offers a comparative analysis of models and categories of liminal consciousness across Indian traditions, critically engaging relevant neurophenomenological frameworks and incorporating a small set of representative first-person exemplars. The results reveal a spectrum of interpretations: from the mind-only projection model of Buddhist dream yoga to the subtle-material interaction model of Jain karmic ontology, and from the embodied cognition framework of modern neuroscience to the disembodied consciousness theories of classical Indian systems. The study concludes that a comprehensive understanding of liminal consciousness must integrate first-person phenomenological reports with the soteriological, ritual, and metaphysical contexts that structure their interpretation, thereby challenging reductionist approaches in contemporary consciousness studies. Full article
31 pages, 428 KB  
Article
Hiking- and Mountaineering-Based Wellness Tourism Development in Greece: Towards a Related Regional Policy and Spatial Planning
by Stella Giannakopoulou and Theodora Tzalonikou
Tour. Hosp. 2026, 7(2), 51; https://doi.org/10.3390/tourhosp7020051 - 16 Feb 2026
Viewed by 779
Abstract
Wellness tourism, mainly connected to meditation, thermal springs and spa resorts, is an emerging tourism sector. At the same time, contact with natural environments through physical exercise, hiking or walking in forests proves significantly positive in terms of stress reduction, relaxation, mental restoration [...] Read more.
Wellness tourism, mainly connected to meditation, thermal springs and spa resorts, is an emerging tourism sector. At the same time, contact with natural environments through physical exercise, hiking or walking in forests proves significantly positive in terms of stress reduction, relaxation, mental restoration and revitalization. In this framework, the unique natural landscapes of mountains, along with their plethora of local cultures, comprise important places for the development of wellness tourism based on hiking, mountaineering, forest bathing, yoga and Pilates practice. In view of this, an online study regarding 234 participants of hiking/mountaineering clubs and yoga/Pilates studios in northern Greece was conducted in 2022. In total, 16 clubs and studios participated in the questionnaire survey, with a random sample consisting of 68% women and 32% men. This study investigated the choices and preferences of people who visit mountains for hiking and mountaineering in Greece. The findings reveal that young people and especially women, who are well educated, engage dynamically in this male-dominated sector. Hiking and mountaineering appear to be habits of commitment and devotion rather than sporadic recreational activities; they are distributed throughout the year and hold strong potential for the sustainable development of peripheral mountainous communities. Relevant policies and spatial planning principles focusing on environmental and cultural responsibility, community involvement, gender inclusivity and diversity of target groups are further suggested to support the development of hiking- and mountaineering-based wellness tourism in mountainous Greece. Full article
23 pages, 5641 KB  
Article
Lightweight Multi-Scale Framework for Human Pose and Action Classification
by Alireza Saber, Mohammad-Mehdi Hosseini, Amirreza Fateh, Mansoor Fateh and Vahid Abolghasemi
Sensors 2026, 26(4), 1102; https://doi.org/10.3390/s26041102 - 8 Feb 2026
Viewed by 514
Abstract
Human pose classification, along with related tasks such as action recognition, is a crucial area in deep learning due to its wide range of applications in assisting human activities. Despite significant progress, it remains a challenging problem because of high inter-class similarity, dataset [...] Read more.
Human pose classification, along with related tasks such as action recognition, is a crucial area in deep learning due to its wide range of applications in assisting human activities. Despite significant progress, it remains a challenging problem because of high inter-class similarity, dataset noise, and the large variability in human poses. In this paper, we propose a lightweight yet highly effective modular attention-based architecture for human pose classification, built upon a Swin Transformer backbone for robust multi-scale feature extraction. The proposed design integrates the Spatial Attention module, the Context-Aware Channel Attention Module, and a novel Dual Weighted Cross Attention module, enabling effective fusion of spatial and channel-wise cues. Additionally, explainable AI techniques are employed to improve the reliability and interpretability of the model. We train and evaluate our approach on two distinct datasets: Yoga-82 (in both main-class and subclass configurations) and Stanford 40 Actions. Experimental results show that our model outperforms state-of-the-art baselines across accuracy, precision, recall, F1-score, and mean average precision, while maintaining an extremely low parameter count of only 0.79 million. Specifically, our method achieves accuracies of 90.40% and 87.44% for the 6-class and 20-class Yoga-82 configurations, respectively, and 94.28% for the Stanford 40 Actions dataset. Full article
(This article belongs to the Section Sensing and Imaging)
Show Figures

Figure 1

17 pages, 948 KB  
Article
Yoga-Related Injuries in Emergency Care: A Single-Center Analysis of 67 Cases
by Jolanta Klukowska-Rötzler, Céline D. Fäh and Mairi Ziaka
Safety 2026, 12(1), 25; https://doi.org/10.3390/safety12010025 - 7 Feb 2026
Viewed by 709
Abstract
Background: Yoga has gained popularity worldwide and is generally considered a safe physical activity. However, injuries associated with yoga practice are increasingly reported, while data on cases requiring emergency care remain limited. Methods: A retrospective single-center study was conducted, analyzing cases of yoga-related [...] Read more.
Background: Yoga has gained popularity worldwide and is generally considered a safe physical activity. However, injuries associated with yoga practice are increasingly reported, while data on cases requiring emergency care remain limited. Methods: A retrospective single-center study was conducted, analyzing cases of yoga-related injuries treated at a Swiss emergency department between 2013 and 2023. Medical records of 67 adult patients (aged ≥16 years) were reviewed for demographics, injury characteristics, management, and clinical outcomes. The study population consisted predominantly of females (76.1%), with a median age of 35 years. Results: Most injuries were musculoskeletal in nature and predominantly affected a single body region (95.5%). The most frequently involved areas were the head (29.9%), lower extremities (25.4%), and spine (19.4%). Soft tissue injuries, particularly muscle and tendon strains as well as contusions, were most common. Injury patterns differed across subgroups: older patients were more likely to sustain head injuries, whereas younger individuals more frequently presented with extremity injuries, including the rare cases of fractures and dislocations. Conservative treatment was sufficient in 94% of cases, although 20.9% of patients required hospitalization. Conclusion: Yoga-related injuries presenting to emergency care are generally minor and mainly involve soft tissues; however, injury patterns vary across demographic subgroups. Older adults appear more susceptible to balance-related and head injuries, while younger practitioners are more prone to acute extremity trauma. Recognizing these population-specific differences may support targeted prevention strategies and safer yoga practice. Full article
Show Figures

Figure 1

Back to TopTop