Sign in to use this feature.

Years

Between: -

Subjects

remove_circle_outline
remove_circle_outline
remove_circle_outline
remove_circle_outline

Journals

Article Types

Countries / Regions

Search Results (8)

Search Parameters:
Keywords = xanthogenate

Order results
Result details
Results per page
Select all
Export citation of selected articles as:
8 pages, 1403 KB  
Proceeding Paper
The Use of Flotation for Treatment of Anthropogenically Impacted Soils
by Radmila Kučerová, Ivona Sobková, Adéla Příhodová, Martina Ujházy and Marta Sentpetery
Eng. Proc. 2025, 116(1), 10; https://doi.org/10.3390/engproc2025116010 - 27 Nov 2025
Viewed by 234
Abstract
The study is devoted to the remediation of contaminated soil with the presence of potentially toxic elements by flotation. The research summarizes the results concerning the verification of the effectiveness of selected flotation agents at different doses. Kerosene and potassium ethyl xanthogenate were [...] Read more.
The study is devoted to the remediation of contaminated soil with the presence of potentially toxic elements by flotation. The research summarizes the results concerning the verification of the effectiveness of selected flotation agents at different doses. Kerosene and potassium ethyl xanthogenate were used as reagents. Application of these two reagents simultaneously and flotation without the use of a collector were also tested. The flotation tests showed that similar results were obtained with kerosene, which is a non-polar collector, as with the polar potassium ethyl xanthogenate, which as an anionic collector is designed specifically for metal flotation. Interesting results were also achieved in flotation without the use of a collector. Full article
Show Figures

Figure 1

20 pages, 3115 KB  
Article
Dope Dyeing of Regenerated Cellulose Fibres with Leucoindigo as Base for Circularity of Denim
by Avinash P. Manian, Sophia Müller, Doris E. Braun, Tung Pham and Thomas Bechtold
Polymers 2022, 14(23), 5280; https://doi.org/10.3390/polym14235280 - 2 Dec 2022
Cited by 19 | Viewed by 5051
Abstract
Circularity of cellulose-based pre- and post-consumer wastes requires an integrated approach which has to consider the characteristics of the fibre polymer and the presence of dyes and additives from textile chemical processing as well. Fibre-to-fibre recycling is a condition to avoid downcycling of [...] Read more.
Circularity of cellulose-based pre- and post-consumer wastes requires an integrated approach which has to consider the characteristics of the fibre polymer and the presence of dyes and additives from textile chemical processing as well. Fibre-to-fibre recycling is a condition to avoid downcycling of recycled material. For cellulose fibres regeneration via production of regenerated cellulose fibres is the most promising approach. Textile wastes contain dyes and additives, thus a recycling technique has to be robust enough to process such material. In an ideal case the reuse of colorants can be achieved as well. At present nearly 80% of the regenerated cellulose fibre production utilises the viscose process, therefore this technique was chosen to investigate the recycling of dyed material including the reuse of the colorant. In this work, for the first time, a compilation of all required process steps to a complete circular concept is presented and discussed as a model. Indigo-dyed viscose fibres were used as a model to study cellulose recycling via production of regenerated cellulose fibres to avoid downcycling. Indigo was found compatible to the alkalisation and xanthogenation steps in the viscose process and blue coloured cellulose regenerates were recovered from indigo-dyed cellulose. A supplemental addition of reduced indigo to the cellulose solution was also found feasible to adjust colour depth in the regenerated cellulose to the level required for use as warp material in denim production. By combination of fibre recycling and indigo dyeing the conventional yarn dyeing in denim production can be omitted. Model calculations for the savings in water and chemical consumption demonstrate the potential of the process. The proportion of the substitution will depend on the collection rate of denim wastes and on the efficiency of the fibre regeneration process. Estimates indicate that a substitution of more than 70% of the cotton fibres by regenerated cellulose fibres could be achieved when 80% of the pre- and post-consumer denim wastes are collected. Therefore, the introduction of fibre recycling via regenerated cellulose fibres will also make a substantial impact on the cotton consumption for jeans production. Full article
(This article belongs to the Special Issue Bio-polymer Based Materials)
Show Figures

Graphical abstract

20 pages, 1442 KB  
Review
Tricyclodecan-9-yl-Xanthogenate (D609): Mechanism of Action and Pharmacological Applications
by Aashiq Hussain Bhat, Khalid Bashir Dar, Andleeb Khan, Saeed Alshahrani, Sultan M. Alshehri, Mohammed M. Ghoneim, Prawez Alam and Faiyaz Shakeel
Int. J. Mol. Sci. 2022, 23(6), 3305; https://doi.org/10.3390/ijms23063305 - 18 Mar 2022
Cited by 6 | Viewed by 4485
Abstract
Tricyclodecan-9-yl xanthogenate (D609) is a synthetic tricyclic compound possessing a xanthate group. This xanthogenate compound is known for its diverse pharmacological properties. Over the last three decades, many studies have reported the biological activities of D609, including antioxidant, antiapoptotic, anticholinergic, anti-tumor, anti-inflammatory, anti-viral, [...] Read more.
Tricyclodecan-9-yl xanthogenate (D609) is a synthetic tricyclic compound possessing a xanthate group. This xanthogenate compound is known for its diverse pharmacological properties. Over the last three decades, many studies have reported the biological activities of D609, including antioxidant, antiapoptotic, anticholinergic, anti-tumor, anti-inflammatory, anti-viral, anti-proliferative, and neuroprotective activities. Its mechanism of action is extensively attributed to its ability to cause the competitive inhibition of phosphatidylcholine (PC)-specific phospholipase C (PC-PLC) and sphingomyelin synthase (SMS). The inhibition of PCPLC or SMS affects secondary messengers with a lipidic nature, i.e., 1,2-diacylglycerol (DAG) and ceramide. Various in vitro/in vivo studies suggest that PCPLC and SMS inhibition regulate the cell cycle, block cellular proliferation, and induce differentiation. D609 acts as a pro-inflammatory cytokine antagonist and diminishes Aβ-stimulated toxicity. PCPLC enzymatic activity essentially requires Zn2+, and D609 might act as a potential chelator of Zn2+, thereby blocking PCPLC enzymatic activity. D609 also demonstrates promising results in reducing atherosclerotic plaque formation, post-stroke cerebral infarction, and cancer progression. The present compilation provides a comprehensive mechanistic insight into D609, including its chemistry, mechanism of action, and regulation of various pharmacological activities. Full article
(This article belongs to the Special Issue Multi-Target Directed Ligands in Drug Development)
Show Figures

Figure 1

6 pages, 1074 KB  
Communication
Photocatalytic Alkylation of α-(Trifluoromethyl)Styrenes with Potassium Xanthogenates
by Vyacheslav I. Supranovich and Alexander D. Dilman
Catalysts 2021, 11(12), 1555; https://doi.org/10.3390/catal11121555 - 20 Dec 2021
Cited by 10 | Viewed by 4249
Abstract
A protocol for the coupling of potassium xanthogenates with α-(trifluoromethyl)styrenes in the presence of triethyl phosphite is reported. The reaction is carried out under blue light irradiation in the presence of organic photocatalyst 3DPAFIPN. The reaction proceeds via formation of alkyl radicals from [...] Read more.
A protocol for the coupling of potassium xanthogenates with α-(trifluoromethyl)styrenes in the presence of triethyl phosphite is reported. The reaction is carried out under blue light irradiation in the presence of organic photocatalyst 3DPAFIPN. The reaction proceeds via formation of alkyl radicals from readily available xanthogenate salts via oxidative desulfurization and cleavage of the carbon–oxygen bond assisted by triethyl phosphite. Full article
(This article belongs to the Section Photocatalysis)
Show Figures

Graphical abstract

13 pages, 2103 KB  
Article
An Improved Method for the Extraction of Nucleic Acids from Plant Tissue without Grinding to Detect Plant Viruses and Viroids
by Tatsuji Hataya
Plants 2021, 10(12), 2683; https://doi.org/10.3390/plants10122683 - 6 Dec 2021
Cited by 3 | Viewed by 6512
Abstract
Gene amplification techniques such as polymerase chain reaction (PCR) are widely used for the diagnosis of plant diseases caused by viruses and viroids. It is preferable that sample preparation methods for PCR or reverse transcription (RT) PCR are rapid, straightforward, and inexpensive. We [...] Read more.
Gene amplification techniques such as polymerase chain reaction (PCR) are widely used for the diagnosis of plant diseases caused by viruses and viroids. It is preferable that sample preparation methods for PCR or reverse transcription (RT) PCR are rapid, straightforward, and inexpensive. We previously reported a method for the extraction of nucleic acids without mechanical tissue grinding using a buffer containing potassium ethyl xanthogenate (PEX) to detect viroid RNAs. In the present report, the previous PEX method was improved and simplified. In the simplified PEX (SPEX) method, the process of PEX buffer treatment for plant cell wall disruption is improved to one step of incubation at 80 °C for 10 min, instead of three steps that took more than 26 min at 65 °C in the previous method. Total nucleic acids could be extracted from fresh, frozen, or dried leaves of a cultivar or wild species of tobacco, tomato, citron, hop plants, and pericarps of persimmon fruits by the SPEX method. Several RNA viruses and viroids were successfully detected from the extracted nucleic acids together with an internal mRNA by RT-PCR. The SPEX method may be useful for detecting not only viruses and viroids, but also other plant pathogens. Full article
(This article belongs to the Special Issue Plants Viroid/Viruses: Insight into Genome and Epidemiology)
Show Figures

Graphical abstract

11 pages, 5179 KB  
Article
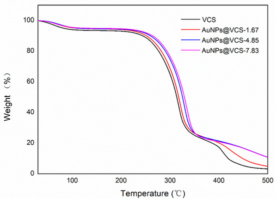
In Situ Synthesis of Au Nanoparticles on Viscose Cellulose Sponges for Antibacterial Activities
by Mingjing Shan, Chang Liu, Lei Shi, Lei Zhang, Yuan Lin, Shuo Zhang, Zhenjun Zhu, Xiaoyin Wang and Xupin Zhuang
Polymers 2019, 11(8), 1281; https://doi.org/10.3390/polym11081281 - 1 Aug 2019
Cited by 12 | Viewed by 3848
Abstract
Antibacterial viscose cellulose sponges (VCSs) were fabricated by heating cellulose xanthogenate (viscose) containing HAuCl4·nH2O. Viscose was used as the reducing agent and stabilizer for the in situ synthesis of Au nanoparticles (AuNPs) onto the VCSs. The morphology, structures, thermal [...] Read more.
Antibacterial viscose cellulose sponges (VCSs) were fabricated by heating cellulose xanthogenate (viscose) containing HAuCl4·nH2O. Viscose was used as the reducing agent and stabilizer for the in situ synthesis of Au nanoparticles (AuNPs) onto the VCSs. The morphology, structures, thermal properties, mechanical performance, and antibacterial activities of the sponges were investigated. Results indicate that AuNPs were uniformly immobilized in the VCSs, and the resulting complexes (AuNPs@VCSs) showed enhanced thermal stability and mechanical properties. Additionally, the AuNPs@VCSs exhibited remarkable antibacterial activities, with zone of inhibition diameter of 35.7 and 37.1 mm for Staphylococcus aureus and Escherichia coli, respectively. The process is simple and applicable at the industrial level and can be applied to the fields of cleaning and sanitation. Full article
Show Figures

Figure 1

19 pages, 5062 KB  
Article
Cholinergic Nerve Differentiation of Mesenchymal Stem Cells Derived from Long-Term Cryopreserved Human Dental Pulp In Vitro and Analysis of Their Motor Nerve Regeneration Potential In Vivo
by Soomi Jang, Young-Hoon Kang, Imran Ullah, Sharath Belame Shivakumar, Gyu-Jin Rho, Yeong-Cheol Cho, Iel-Yong Sung and Bong-Wook Park
Int. J. Mol. Sci. 2018, 19(8), 2434; https://doi.org/10.3390/ijms19082434 - 17 Aug 2018
Cited by 20 | Viewed by 4916
Abstract
The reduction of choline acetyltransferase, caused by the loss of cholinergic neurons, leads to the absence of acetylcholine (Ach), which is related to motor nerve degeneration. The aims of the present study were to evaluate the in vitro cholinergic nerve differentiation potential of [...] Read more.
The reduction of choline acetyltransferase, caused by the loss of cholinergic neurons, leads to the absence of acetylcholine (Ach), which is related to motor nerve degeneration. The aims of the present study were to evaluate the in vitro cholinergic nerve differentiation potential of mesenchymal stem cells from cryopreserved human dental pulp (hDPSCs-cryo) and to analyze the scale of in vivo motor nerve regeneration. The hDPSCs-cryo were isolated and cultured from cryopreserved dental pulp tissues, and thereafter differentiated into cholinergic neurons using tricyclodecane-9-yl-xanthogenate (D609). Differentiated cholinergic neurons (DF-chN) were transplanted into rats to address sciatic nerve defects, and the scale of in vivo motor nerve regeneration was analyzed. During in vitro differentiation, the cells showed neuron-like morphological changes including axonal fibers and neuron body development, and revealed high expression of cholinergic neuron-specific markers at both the messenger RNA (mRNA) and protein levels. Importantly, DF-chN showed significant Ach secretion ability. At eight weeks after DF-chN transplantation in rats with sciatic nerve defects, notably increased behavioral activities were detected with an open-field test, with enhanced low-affinity nerve growth factor receptor (p75NGFR) expression detected using immunohistochemistry. These results demonstrate that stem cells from cryopreserved dental pulp can successfully differentiate into cholinergic neurons in vitro and enhance motor nerve regeneration when transplanted in vivo. Additionally, this study suggests that long-term preservation of dental pulp tissue is worthwhile for use as an autologous cell resource in the field of nerve regeneration, including cholinergic nerves. Full article
(This article belongs to the Section Molecular Pathology, Diagnostics, and Therapeutics)
Show Figures

Figure 1

19 pages, 552 KB  
Article
The Tricyclodecan-9-yl-xanthogenate D609 Triggers Ceramide Increase and Enhances FasL-Induced Caspase-Dependent and -Independent Cell Death in T Lymphocytes
by Delphine Milhas, Nathalie Andrieu-Abadie, Thierry Levade, Hervé Benoist and Bruno Ségui
Int. J. Mol. Sci. 2012, 13(7), 8834-8852; https://doi.org/10.3390/ijms13078834 - 16 Jul 2012
Cited by 14 | Viewed by 7947
Abstract
D609 is known to modulate death receptor-induced ceramide generation and cell death. We show that in Jurkat cells, non-toxic D609 concentrations inhibit sphingomyelin synthase and, to a lesser extent, glucosylceramide synthase, and transiently increase the intracellular ceramide level. D609 significantly enhanced FasL-induced caspase [...] Read more.
D609 is known to modulate death receptor-induced ceramide generation and cell death. We show that in Jurkat cells, non-toxic D609 concentrations inhibit sphingomyelin synthase and, to a lesser extent, glucosylceramide synthase, and transiently increase the intracellular ceramide level. D609 significantly enhanced FasL-induced caspase activation and apoptosis. D609 stimulated FasL-induced cell death in caspase-8-deficient Jurkat cells, indicating that D609 acts downstream of caspase-8. At high FasL concentration (500 ng/mL), cell death was significantly, but not completely, inhibited by zVAD-fmk, a broad-spectrum caspase inhibitor, indicating that FasL can activate both caspase-dependent and -independent cell death signaling pathways. FasL-induced caspase activation was abolished by zVAD-fmk, whereas ceramide production was only partially impaired. D609 enhanced caspase-independent ceramide increase and cell death in response to FasL. Also, D609 overcame zVAD-fmk-conferred resistance to a FasL concentration as low as 50 ng/mL and bypassed RIP deficiency. It is likely that mitochondrial events were involved, since Bcl-xL over-expression impaired D609 effects. In PHA-activated human T lymphocytes, D609 enhanced FasL-induced cell death in the presence or absence of zVAD-fmk. Altogether, our data strongly indicate that the inhibition of ceramide conversion to complex sphingolipids by D609 is accompanied by an enhancement of FasL-induced caspase-dependent and -independent cell death in T lymphocytes. Full article
(This article belongs to the Collection Programmed Cell Death and Apoptosis)
Show Figures

Back to TopTop