In Situ Synthesis of Au Nanoparticles on Viscose Cellulose Sponges for Antibacterial Activities
Abstract
1. Introduction
2. Materials and Methods
2.1. Materials
2.2. In Situ Synthesis of AuNPs onto VCS
2.3. Characterization
2.3.1. Structures and Morphologies of VCS and AuNPs@VCS
2.3.2. Performance of the VCSs and AuNPs@VCSs
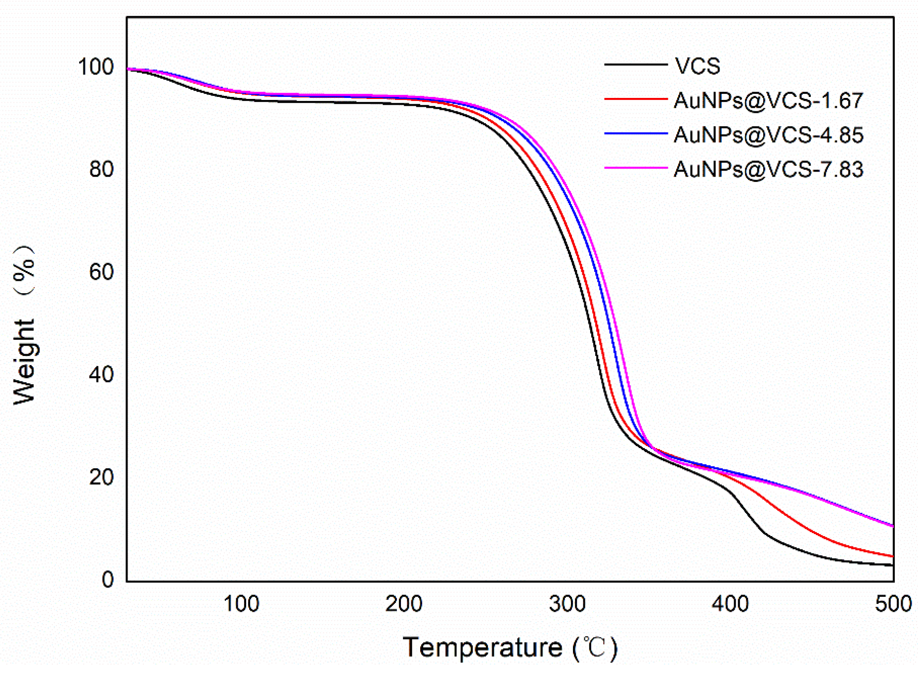
3. Results and Discussion
3.1. In-Situ Synthesis of AuNPs onto VCS
3.2. Properties of VCSs and AuNPs@VCSs
4. Conclusions
Author Contributions
Funding
Acknowledgments
Conflicts of Interest
References
- Obradovic, J.; Voutilainen, M.; Virtanen, P.; Lassila, L.; Fardim, P. Cellulose Fibre-Reinforced Biofoam for Structural Applications. Materials 2017, 10, 619. [Google Scholar] [CrossRef]
- Josset, S.; Hansen, L.; Orsolini, P.; Griffa, M.; Kuzior, O.; Weisse, B.; Zimmermann, T.; Geiger, T. Microfibrillated cellulose foams obtained by a straightforward freeze–thawing–drying procedure. Cellulose 2017, 24, 3825–3842. [Google Scholar] [CrossRef]
- Klemm, D.; Heublein, B.; Fink, H.P.; Bohn, A. Cellulose: Fascinating Biopolymer and Sustainable Raw Material. Angew. Chem. Int. Edit. 2005, 44, 3358–3393. [Google Scholar] [CrossRef]
- Yang, Y.J.; Shin, J.M.; Kang, T.H.; Kimura, S.; Wada, M.; Kim, U.J. Cellulose dissolution in aqueous lithium bromide solutions. Cellulose 2014, 21, 1175–1181. [Google Scholar] [CrossRef]
- Swatloski, R.P.; Spear, S.K.; Holbrey, J.D.; Rogers, R.D. Dissolution of Cellose with Ionic Liquids. J. Am. Chem. Soc. 2002, 124, 4974–4975. [Google Scholar] [CrossRef]
- Isogai, A.; Atalla, R.H. Dissolution of cellulose in aqueous NaOH solutions. Cellulose 1998, 5, 309–319. [Google Scholar] [CrossRef]
- Dogan, H.; Hilmioglu, N.D. Dissolution of cellulose with NMMO by microwave heating. Carbohyd. Polym. 2009, 75, 90–94. [Google Scholar] [CrossRef]
- Heinze, T.; Dicke, R.; Koschella, A.; Kull, A.H.; Klohr, E.A.; Koch, W. Effective preparation of cellulose derivatives in a new simple cellulose solvent. Macromol. Chem. Phys. 2000, 201, 627–631. [Google Scholar] [CrossRef]
- Zhao, H.B.; Kwak, J.H.; Wang, Y.; Franz, J.A.; White, J.M.; Holladay, J.E. Interactions between cellulose and N-methylmorpholine-N-oxide. Carbohyd. Polym. 2007, 67, 97–103. [Google Scholar] [CrossRef]
- Cai, J.; Zhang, L. Rapid Dissolution of Cellulose in LiOH/Urea and NaOH/Urea Aqueous Solutions. Macromol. Biosci. 2005, 5, 539–548. [Google Scholar] [CrossRef]
- Matsumoto, T.; Tatsumi, D.; Tamai, N.; Takaki, T. Solution properties of celluloses from different biological origins in LiCl · DMAc. Cellulose 2001, 8, 275–282. [Google Scholar] [CrossRef]
- Heinze, T.; Koschella, A. Solvents Applied in the Field of Cellulose Chemistry—A Mini Review. Polimeros 2005, 15, 84–90. [Google Scholar] [CrossRef]
- Li, R.; Du, J.Y.; Zheng, Y.M.; Wen, Y.Q.; Zhang, X.X.; Yang, W.B.; Lue, A.; Zhang, L.N. Ultra-lightweight cellulose foam material: Preparation and properties. Cellulose 2017, 24, 1417–1426. [Google Scholar] [CrossRef]
- Peng, H.L.; Wang, H.; Wu, J.N.; Meng, G.H.; Wang, Y.X.; Shi, Y.L.; Liu, Z.Y.; Guo, X.H. Preparation of Superhydrophobic Magnetic Cellulose Sponge for Removing Oil from Water. Ind. Eng. Chem. Res. 2016, 55, 832–838. [Google Scholar] [CrossRef]
- Zheng, C.; Li, D.F.; Ek, M. Improving fire retardancy of cellulosic thermal insulating materials by coating with bio-based fire retardants. Nord. Pulp. Pap. Res. J. 2019, 34, 96–106. [Google Scholar] [CrossRef]
- Nechita, P.; Nastac, S. Foam-formed cellulose composite materials with potential applications in sound insulation. J. Compos. Mater. 2017, 52, 747–754. [Google Scholar] [CrossRef]
- Ganjyal, G.M.; Reddy, N.; Yang, Y.Q.; Hanna, M.A. Biodegradable packaging foams of starch acetate blended with corn stalk fibers. J. Appl. Polym. Sci. 2004, 93, 2627–2633. [Google Scholar] [CrossRef]
- Uysal, A.C.; Alagoz, M.S.; Orbay, H.; Sensoz, O. An Alternative Dressing Material for the Split-Thickness Skin Graft Donor Site—Oxidized regenerated cellulose. Ann. Plas. Surg. 2006, 57, 60–64. [Google Scholar] [CrossRef]
- Wang, S.; Lu, A.; Zhang, L.N. Recent advances in regenerated cellulose materials. Prog. Polym. Sci. 2016, 53, 169–206. [Google Scholar] [CrossRef]
- Pulit-Prociak, J.; Chwastowski, J.; Kucharski, A.; Banach, M. Functionalization of textiles with silver and zinc oxide nanoparticles. Appl. Surf. Sci. 2016, 385, 543–553. [Google Scholar] [CrossRef]
- Makvandi, P.; Nikfarjam, N.; Sanjani, N.S.; Qazvini, N.T. Effect of silver nanoparticle on the properties of poly(methyl methacrylate) nanocomposite network made by in situ photoiniferter-mediated photopolymerization. Bull. Mater. Sci. 2015, 38, 1625–1631. [Google Scholar] [CrossRef]
- Dizaj, S.M.; Lotfipour, F.; Barzegar-Jalali, M.; Zarrintan, M.H.; Adibkia, K. Antimicrobial activity of the metals and metal oxide nanoparticles. Mater. Sci. Eng. C Mater. 2014, 44, 278–284. [Google Scholar] [CrossRef]
- Bagchi, B.; Kar, S.; Dey, S.K.; Bhandary, S.; Roy, D.; Mukhopadhyay, T.K.; Das, S.; Nandy, P. In situ synthesis and antibacterial activity of copper nanoparticle loaded natural montmorillonite clay based on contact inhibition and ion release. Colloid. Surface B 2013, 108, 358–365. [Google Scholar] [CrossRef]
- Fan, Z.; Liu, B.; Wang, J.Q.; Zhang, S.Y.; Lin, Q.Q.; Gong, P.W.; Ma, L.M.; Yang, S.R. A Novel Wound Dressing Based on Ag/Graphene Polymer Hydrogel: Effectively Kill Bacteria and Accelerate Wound Healing. Adv. Funct. Mater. 2014, 24, 3933–3943. [Google Scholar] [CrossRef]
- He, W.W.; Kim, H.K.; Warner, W.G.; Melka, D.; Callahan, J.H.; Yin, J.J. Photogenerated Charge Carriers and Reactive Oxygen Species in ZnO/Au Hybrid Nanostructures with Enhanced Photocatalytic and Antibacterial Activity. J. Am. Chem. Soc. 2014, 136, 750–757. [Google Scholar] [CrossRef]
- Mahmoud, N.N.; Hikmat, S.; Ghith, D.A.; Hajeer, M.; Hamadneh, L.; Qattan, D.; Khalil, E.A. Gold nanoparticles loaded into polymeric hydrogel for wound healing in rats: Effect of nanoparticles’ shape and surface modification. Int. J. Pharmaceut. 2019, 565, 174–186. [Google Scholar] [CrossRef]
- Wang, D.W.; Lagzi, I.; Wesson, P.J.; Grzybowski, B.A. Rewritable and pH-Sensi; tive Micropatterns Based on Nanoparticle “Inks”. Small 2010, 6, 2114–2116. [Google Scholar] [CrossRef]
- Zhuang, X.P.; Cheng, B.W.; Kang, W.M.; Xu, X.L. Electrospun chitosan/gelatin nanofibers containing silver nanoparticles. Carbohyd. Polym. 2010, 82, 524–527. [Google Scholar] [CrossRef]
- Emam, H.E.; El-Hawary, N.S.; Ahmed, H.B. Green technology for durable finishing of viscose fibers via self-formation of AuNPs. Int. J. Biol. Macromol. 2017, 96, 697–705. [Google Scholar] [CrossRef]
- Elmaaty, T.A.; El-Nagare, K.; Raouf, S.; Abdelfattah, K.; El-Kadi, S.; Abdelaziz, E. One-step green approach for functional printing and finishing of textiles using silver and gold NPs. RSC Adv. 2018, 8, 25546–25557. [Google Scholar] [CrossRef]
- Wei, H.R.; Rodriguez, K.; Renneckar, S.; Leng, W.N.; Vikesland, P.J. Preparation and Evaluation of Nanocellulose-Gold Nanoparticle Nanocomposites for SERS Applications. Analyst 2015, 140, 5640–5649. [Google Scholar] [CrossRef]
- Ye, D.D.; Zhong, Z.B.; Chang, C.Y.; Yang, Z.X.; Wang, Y.F.; Ye, Q.F.; Zhang, L.N. Construction of cellulose/nanosilver sponge materials and their antibacterial activities for infected wounds healing. Cellulose 2016, 23, 749–763. [Google Scholar] [CrossRef]
- Dankovich, T.A.; Gray, D.G. Bactericidal Paper Impregnated with Silver Nanoparticles for Point-of-Use Water Treatment. Environ. Sci. Technol. 2011, 45, 1992–1998. [Google Scholar] [CrossRef]
- Sugunan, A.; Thanachayanont, C.; Dutta, J.; Hilborn, J.G. Heavy-metal ion sensors using chitosan-capped gold nanoparticles. Sci. Technol. Adv. Mater. 2005, 6, 335–340. [Google Scholar] [CrossRef]
- Sayyed, A.J.; Deshmukh, N.A.; Pinjari, D.V. A critical review of manufacturing processes used in regenerated cellulosic fibres: Viscose, cellulose acetate, cuprammonium, LiCl/DMAc, ionic liquids, and NMMO based lyocell. Cellulose 2019, 26, 2913–2940. [Google Scholar] [CrossRef]
- Xu, Y.; Lu, Z.; Tang, R. Structure and thermal properties of bamboo viscose, Tencel and conventional viscose fiber. J. Therm. Anal. Calorim. 2007, 89, 197–201. [Google Scholar] [CrossRef]
- Zhang, P.; Li, J.X.; Liu, D.F.; Qin, Y.J.; Guo, Z.X.; Zhu, D.B. Self-Assembly of Gold Nanoparticles on Fullerene Nanospheres. Langmuir 2004, 20, 1466–1472. [Google Scholar] [CrossRef]
- Jiang, G.; Wang, L.; Chen, W.X. Studies on the preparation and characterization of gold nanoparticles protected by dendrons. Mater. Lett. 2007, 61, 278–283. [Google Scholar] [CrossRef]
- Emam, H.E.; Bechtold, T. Cotton fabrics with UV blocking properties through metal salts deposition. Appl. Surf. Sci. 2015, 357, 1878–1889. [Google Scholar] [CrossRef]
- Ahmed, H.B.; Emam, H.E. Layer by layer assembly of nanosilver for high performance cotton fabrics. Fiber. Polym. 2016, 17, 418–426. [Google Scholar] [CrossRef]
- Abdelhameed, R.M.; Abdel-Gawad, H.; Elshahat, M.; Emam, H.E. Cu–BTC@cotton composite: Design and removal of ethion insecticide from water. RSC Adv. 2016, 6, 42324–42333. [Google Scholar] [CrossRef]
- Xu, X.L.; Li, R.; Tang, C.X.; Wang, H.; Zhuang, X.P.; Liu, Y.; Kang, W.M.; Shi, L. Cellulose nanofiber-embedded sulfonated poly(ether sulfone) membranes for proton exchange membrane fuel cells. Carbohydr. Polym. 2018, 184, 299–306. [Google Scholar] [CrossRef]
- Moreira, G.F.; Pecanha, E.R.; Monte, M.B.M.; Leal, L.S.; Stavale, F. XPS study on the mechanism of starch-hematite surface chemical complexation. Miner. Eng. 2017, 110, 96–103. [Google Scholar] [CrossRef]
- Lubenchenko, A.V.; Batrakov, A.A.; Pavolotsky, A.B.; Lubenchenko, O.I.; Ivanov, D.A. XPS study of multilayer multicomponent films. Appl. Surf. Sci. 2018, 427, 711–721. [Google Scholar] [CrossRef]
- Celikkin, N.; Mastrogiacomo, S.; Walboomers, X.F.; Swieszkowski, W. Enhancing X-ray Attenuation of 3D Printed Gelatin Methacrylate (GelMA) Hydrogels Utilizing Gold Nanoparticles for Bone Tissue Engineering Applications. Polym. Basel 2019, 11, 367. [Google Scholar] [CrossRef]
- Meng, Y.; Cai, L.Q.; Xu, X.J.; Zhang, L.N. Construction of size-controllable gold nanoparticles immobilized on polysaccharide nanotubes by in situ one-pot synthesis. Int. J. Biol. Macromol. 2018, 113, 240–247. [Google Scholar] [CrossRef]
- Konowal, E.; Modrzejewska-Sikorska, A.; Motylenko, M.; Klapiszewski, L.; Wysokowski, M.; Bazhenov, V.V.; Rafaja, D.; Ehrlich, H.; Milczarek, G.; Jesionowski, T. Functionalization of organically modified silica with gold nanoparticles in the presence of lignosulfonate. Int. J. Biol. Macromol. 2016, 85, 74–81. [Google Scholar] [CrossRef]
- Tiwari, P.M.; Vig, K.; Dennis, V.A.; Singh, S.R. Functionalized Gold Nanoparticles and Their Biomedical Applications. Nanomater. Basel 2011, 1, 31–63. [Google Scholar] [CrossRef]
- Ibrahim, N.A.; Eid, B.M.; Abdel-Aziz, M.S. Green synthesis of AuNPs for eco-friendly functionalization of cellulosic substrates. Appl. Surf. Sci. 2016, 389, 118–125. [Google Scholar] [CrossRef]










| Bacterial Strain | Diameter of Inhibition Zone (mm) | |||
|---|---|---|---|---|
| VCS | AuNPs@VCS-1.67 | AuNPs@VCS-4.85 | AuNPs@VCS-7.83 | |
| S. aureus | 0 | 33.4 | 35.7 | 29.8 |
| E. coli | 0 | 32.2 | 37.1 | 31.4 |
© 2019 by the authors. Licensee MDPI, Basel, Switzerland. This article is an open access article distributed under the terms and conditions of the Creative Commons Attribution (CC BY) license (http://creativecommons.org/licenses/by/4.0/).
Share and Cite
Shan, M.; Liu, C.; Shi, L.; Zhang, L.; Lin, Y.; Zhang, S.; Zhu, Z.; Wang, X.; Zhuang, X. In Situ Synthesis of Au Nanoparticles on Viscose Cellulose Sponges for Antibacterial Activities. Polymers 2019, 11, 1281. https://doi.org/10.3390/polym11081281
Shan M, Liu C, Shi L, Zhang L, Lin Y, Zhang S, Zhu Z, Wang X, Zhuang X. In Situ Synthesis of Au Nanoparticles on Viscose Cellulose Sponges for Antibacterial Activities. Polymers. 2019; 11(8):1281. https://doi.org/10.3390/polym11081281
Chicago/Turabian StyleShan, Mingjing, Chang Liu, Lei Shi, Lei Zhang, Yuan Lin, Shuo Zhang, Zhenjun Zhu, Xiaoyin Wang, and Xupin Zhuang. 2019. "In Situ Synthesis of Au Nanoparticles on Viscose Cellulose Sponges for Antibacterial Activities" Polymers 11, no. 8: 1281. https://doi.org/10.3390/polym11081281
APA StyleShan, M., Liu, C., Shi, L., Zhang, L., Lin, Y., Zhang, S., Zhu, Z., Wang, X., & Zhuang, X. (2019). In Situ Synthesis of Au Nanoparticles on Viscose Cellulose Sponges for Antibacterial Activities. Polymers, 11(8), 1281. https://doi.org/10.3390/polym11081281

