Sign in to use this feature.

Years

Between: -

Subjects

remove_circle_outline
remove_circle_outline
remove_circle_outline
remove_circle_outline
remove_circle_outline
remove_circle_outline
remove_circle_outline
remove_circle_outline
remove_circle_outline

Journals

remove_circle_outline
remove_circle_outline
remove_circle_outline
remove_circle_outline
remove_circle_outline
remove_circle_outline
remove_circle_outline
remove_circle_outline
remove_circle_outline
remove_circle_outline
remove_circle_outline
remove_circle_outline
remove_circle_outline

Article Types

Countries / Regions

remove_circle_outline
remove_circle_outline
remove_circle_outline
remove_circle_outline
remove_circle_outline
remove_circle_outline
remove_circle_outline
remove_circle_outline

Search Results (3,937)

Search Parameters:
Keywords = wireless communication systems

Order results
Result details
Results per page
Select all
Export citation of selected articles as:
24 pages, 2463 KB  
Article
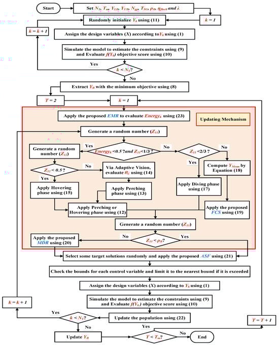
Optimized Reconfigurable Intelligent Surfaces Configuration in Multiuser Wireless Networks via Fuzzy-Enhanced Pied Kingfisher Strategy
by Mona Gafar, Shahenda Sarhan, Abdullah M. Shaheen and Ahmed S. Alwakeel
Technologies 2026, 14(4), 237; https://doi.org/10.3390/technologies14040237 - 17 Apr 2026
Abstract
This paper proposes a new fuzzified multi-objective wireless communication optimization model that maximizes the quantity and placement of Reconfigurable Intelligent Surfaces (RISs). In order to meet realistic deployment constraints like non-overlapping and acceptable location, the model aims to decrease the number of deployed [...] Read more.
This paper proposes a new fuzzified multi-objective wireless communication optimization model that maximizes the quantity and placement of Reconfigurable Intelligent Surfaces (RISs). In order to meet realistic deployment constraints like non-overlapping and acceptable location, the model aims to decrease the number of deployed RISs while raising the achievable rate. The Modified Pied Kingfisher Optimization Algorithm (MPKOA) is suggested as a solution to this intricate optimization issue. MPKOA features many significant improvements over the traditional Pied Kingfisher Optimization Algorithm (PKOA), such as energy-based motion control, adaptive subgrouping, flock cooperation, and memory-driven re-perching. These techniques speed up convergence, improve solution precision, reduce computation time, and balance exploration and exploitation. MPKOA performs better than standard PKOA, Enhanced version of PKOA (EPKO), Differential Evolution (DE), Grey Wolf Optimizer (GWO), and other existing algorithms, according to extensive comparisons. MPKOA can achieve up to 20% higher optimization values and 30% faster convergence, according to simulation data. In addition, the proposed MPKOA reduces computational complexity and runtime by about 50% when compared to standard PKOA-based approaches since it only requires single fitness evaluation per iteration. This enables the deployment of fewer RISs while still achieving higher communication rates. In multiuser wireless systems, MPKOA offers a robust and effective approach to RIS placement optimization, which helps to boost capacity and provide more energy-efficient 6G communication networks. Full article
Show Figures

Figure 1

23 pages, 3485 KB  
Article
Physical Key Extraction in Galvanic Coupling Communications: Reliability and Security Analysis
by Giacomo Borghini, Stefano Caputo, Anna Vizziello, Pietro Savazzi, Antonio Coviello, Maurizio Magarini, Sara Jayousi and Lorenzo Mucchi
Information 2026, 17(4), 374; https://doi.org/10.3390/info17040374 - 16 Apr 2026
Abstract
The evolution toward sixth-generation (6G) networks envisions humans as active nodes within a fully interconnected digital ecosystem, supported by data collected from in-body and on-body sensors. Since many of these devices are not equipped to connect directly to 6G networks, Wireless Body Area [...] Read more.
The evolution toward sixth-generation (6G) networks envisions humans as active nodes within a fully interconnected digital ecosystem, supported by data collected from in-body and on-body sensors. Since many of these devices are not equipped to connect directly to 6G networks, Wireless Body Area Networks (WBANs) serve as an essential intermediate layer. However, conventional radio-frequency technologies face limitations in terms of energy efficiency, security, and data integrity, motivating the adoption of lightweight security mechanisms. Physical Layer Security (PLS), and in particular Physical Key Extraction (PKE), offers a promising solution by enabling legitimate devices to derive shared cryptographic keys from the reciprocal properties of the communication channel. Galvanic coupling (GC) communication has recently emerged as an on-body transmission technology alternative to radio-frequency (RF), which exploits low-power electrical signals propagating through biological tissue. Building on prior feasibility studies, this work proposes a PKE framework tailored to GC channels, integrating a lightweight key reconciliation method, based on Hamming (7,4) error-correction codes, and evaluating system performance through dedicated reliability and security Key Performance Indicators (KPIs). Results reveal a trade-off shaped by electrode placement and channel quantization parameters. Among the ones tested, the optimal configuration is achieved with a 3 cm transverse inter-electrode spacing at both transmitter and receiver, and a 3 cm longitudinal separation between transmitter and receiver, by quantizing the channel impulse response with two quantization bits. While this work focuses on validating the method in controlled conditions in order to establish a reliable study framework, future developments will focus on enhanced reconciliation, privacy amplification, and analysis of the GC channel considering physiological and environmental variations. Full article
(This article belongs to the Special Issue Advances in Wireless Communications Systems, 3rd Edition)
Show Figures

Figure 1

20 pages, 1026 KB  
Article
Rate-Splitting-Based RF-UWOC Relaying Systems with Hardware Impairments and Interference
by Xin Huang, Yeqing Su, Yuehao Qiu, Xusheng Tang and Sai Li
Entropy 2026, 28(4), 458; https://doi.org/10.3390/e28040458 - 16 Apr 2026
Abstract
To meet the future demands of high-rate transmission and full-coverage networks, radio frequency–underwater wireless optical communication (RF-UWOC) relaying systems are considered a promising heterogeneous communication architecture. The rate-splitting (RS) scheme, through its power allocation (PA) mechanism, provides a generalized framework for the performance [...] Read more.
To meet the future demands of high-rate transmission and full-coverage networks, radio frequency–underwater wireless optical communication (RF-UWOC) relaying systems are considered a promising heterogeneous communication architecture. The rate-splitting (RS) scheme, through its power allocation (PA) mechanism, provides a generalized framework for the performance evaluation of such systems. Based on this, this paper analyzes the performance of an RS-based RF-UWOC system under hardware impairments (HIs) and interference. Analytical expressions of the outage probability (OP) and ergodic capacity (EC) for the considered system are formulated within a generalized framework, which encompasses the conventional RF-UWOC system as a special case. The results indicate that the OP and EC are affected by HIs, interference transmit power, the PA coefficients, channel fading, pointing errors (PEs), and detection types of the UWOC link. Furthermore, the asymptotic results for the OP and the diversity gain (DG) are explicitly characterized. For a fixed interference transmit power, the DG is mainly dominated by the channel fading severity, PEs effect, and the detection scheme. When the interference transmit power is comparable to the desired signal power, the system operates in an interference-limited regime, and the DG decreases to zero. It is also revealed that HIs and PA coefficients affect the coding gain but not the DG. Moreover, the existence of an optimal PA scheme improves the reliability of the RS-based system. Full article
(This article belongs to the Section Information Theory, Probability and Statistics)
28 pages, 1766 KB  
Article
A Deep Learning-Assisted Multi-Relay DCSK Communication System
by Tingting Huang, Shengmin Hong, Jundong Chen and Liangyi Kang
Sensors 2026, 26(8), 2420; https://doi.org/10.3390/s26082420 - 15 Apr 2026
Abstract
This paper proposes a novel multi-relay deep learning-assisted differential chaos shift keying (MR-DL-DCSK) communication system to enhance the capabilities of existing chaos-based cooperative communication systems. Channel quality significantly affects transmission reliability. However, existing channel quality evaluation methods require channel state information (CSI). To [...] Read more.
This paper proposes a novel multi-relay deep learning-assisted differential chaos shift keying (MR-DL-DCSK) communication system to enhance the capabilities of existing chaos-based cooperative communication systems. Channel quality significantly affects transmission reliability. However, existing channel quality evaluation methods require channel state information (CSI). To address this limitation, a deep neural network (DNN) classifier is employed at the receiver in this paper to perform joint channel quality assessment and symbol demodulation. We propose a channel quality-aware relay coordination strategy: at the relay stage, all relays assess their channel qualities using the DNN-output probability distribution, and relays with lower channel quality align their decoded bits with the bits from the relay with the highest channel quality before forwarding; at the destination stage, the destination selects the signal with the highest channel quality probability for final demodulation. This joint detection approach enables reliable demodulation without requiring explicit CSI, while the channel quality-aware relay coordination mechanism ensures that signals from the most reliable links are prioritized for final decision. Comprehensive simulation results demonstrate that the proposed multi-relay DL-DCSK system achieves superior bit error rate performance. Furthermore, the system exhibits excellent generalization capability when tested on vehicle-to-vehicle (V2V) communication channels modeled by the double-generalized gamma distribution, validating its practical applicability in diverse wireless environments. Full article
(This article belongs to the Section Communications)
29 pages, 1509 KB  
Article
Energy-Efficient Optimization in Wireless Sensor Networks Using a Hybrid Bat-Artificial Bee Colony Algorithm
by Hussein. S. Mohammed, Poria Pirozmand, Sheeraz Memon, Sajad Ghatrehsamani and Indra Seher
Sensors 2026, 26(8), 2401; https://doi.org/10.3390/s26082401 - 14 Apr 2026
Viewed by 233
Abstract
This study presents a novel hybrid Bat-Artificial Bee Colony (BA-ABC) algorithm for energy-efficient optimization in Wireless Sensor Networks (WSNs), addressing the critical challenge of limited node energy and network lifetime degradation. The proposed framework integrates the rapid local convergence of the Bat Algorithm [...] Read more.
This study presents a novel hybrid Bat-Artificial Bee Colony (BA-ABC) algorithm for energy-efficient optimization in Wireless Sensor Networks (WSNs), addressing the critical challenge of limited node energy and network lifetime degradation. The proposed framework integrates the rapid local convergence of the Bat Algorithm with the robust global exploration of the Artificial Bee Colony to achieve unified optimization of clustering and routing processes. An adaptive multi-objective fitness function is developed to balance energy consumption, network lifetime, and communication efficiency, enabling dynamic, efficient resource utilization across varying network conditions. Comprehensive simulations conducted in MATLAB R2024a demonstrate that the proposed BA-ABC algorithm significantly outperforms conventional and recent optimization approaches. The results show a reduction in total energy consumption of approximately 22-30%, an improvement in network lifetime of 18-25%, and a latency reduction of nearly 24% compared to baseline methods such as Ant Colony Optimization (ACO). Statistical validation, including confidence intervals and hypothesis testing, confirms the robustness, stability, and consistency of the proposed framework across multiple simulation runs. Unlike existing hybrid and machine-learning-based approaches, the BA-ABC algorithm achieves high optimization performance without introducing excessive computational overhead or complex training requirements, making it suitable for resource-constrained WSN environments. Furthermore, the proposed method demonstrates strong scalability and adaptability, positioning it as a practical solution for real-world applications, including smart cities, environmental monitoring, and healthcare systems. This work contributes to the advancement of intelligent WSN optimization by providing a scalable, adaptive, and computationally efficient hybrid framework aligned with emerging trends in next-generation IoT-enabled networks. Full article
(This article belongs to the Section Sensor Networks)
30 pages, 496 KB  
Article
Stochastic Characterization of MAC-Level Reliability and Reassociation Dynamics in IEEE 802.15.4 Networks for Smart Grid Applications
by Carolina Del-Valle-Soto, José A. Del-Puerto-Flores, Ramiro Velázquez, Juan Sebastián Botero-Valencia, Leonardo J. Valdivia, José Varela-Aldás and Paolo Visconti
Symmetry 2026, 18(4), 653; https://doi.org/10.3390/sym18040653 - 14 Apr 2026
Viewed by 199
Abstract
Wireless communication networks based on IEEE 802.15.4 and ZigBee PRO constitute a critical component of smart grid infrastructures, where reliability and availability requirements exceed those typically assumed in low-power wireless deployments. Despite extensive analytical modeling, most existing studies rely on independence assumptions for [...] Read more.
Wireless communication networks based on IEEE 802.15.4 and ZigBee PRO constitute a critical component of smart grid infrastructures, where reliability and availability requirements exceed those typically assumed in low-power wireless deployments. Despite extensive analytical modeling, most existing studies rely on independence assumptions for packet errors and simplified abstractions of reassociation dynamics. This work presents stochastic reliability characterization grounded on real MAC-layer traffic capture from an operational IEEE 802.15.4/ZigBee PRO network. The methodology combines statistical hypothesis testing, first-order Markov modeling, spectral-gap analysis, large-deviation theory, renewal processes, and survival analysis of realignment intervals. Empirical results reject the hypothesis of independent frame errors and demonstrate significant temporal dependence with geometric mixing behavior. The estimated transition structure reveals burst-error persistence, inflating long-run variance relative to memoryless models. Furthermore, coordinator realignment intervals deviate from exponential behavior, exhibiting non-constant event rates consistent with regenerative dynamics. These findings indicate that effective communication reliability is governed not only by average frame error probability but also by dependence structure and regeneration mechanisms. The proposed probabilistic framework provides a rigorous and reproducible methodology for dependence-aware reliability assessment in smart grid communication systems. Full article
(This article belongs to the Special Issue Symmetry/Asymmetry in Wireless Communication and Sensors)
Show Figures

Figure 1

13 pages, 550 KB  
Article
A GWO-Based Optimization for mmWave Integrated Sensing and Communications in IoT Systems
by AN Soumana Hamadou, Shengzhi Du, Thomas O. Olwal and Barend J. Van Wyk
Telecom 2026, 7(2), 44; https://doi.org/10.3390/telecom7020044 - 14 Apr 2026
Viewed by 161
Abstract
The next generations of wireless networks will use more intensively shared spectrum and hardware resources. This leads to huge demand for integrated sensing and communication (ISAC) technology. Additionally, the integration of millimeter-wave (mmWave) spectrum can improve the sensing capabilities and communication rates of [...] Read more.
The next generations of wireless networks will use more intensively shared spectrum and hardware resources. This leads to huge demand for integrated sensing and communication (ISAC) technology. Additionally, the integration of millimeter-wave (mmWave) spectrum can improve the sensing capabilities and communication rates of ISAC systems. This development is of great significance to the internet of things (IoT), as it is essential for intelligent operations and decision-making to have accurate surround sensing and device communication. This study presents a novel methodology for beamforming design in mmWave ISAC base stations within IoT systems, utilizing a grey wolf optimizer (GWO) to optimize the total communication rate and effective sensing power. Also, this work is mostly focused on simulation and heuristic optimization methods. The analyses conducted indicate that the suggested GWO-based optimization achieves a sum rate of up to 22.7 bit/s/Hz and a sensing power of 65.8 dBm when the base station (BS) is equipped with 8 antennas, in comparison to the results from the particle swarm optimization (PSO)-based and genetic algorithm (GA)-based schemes. Full article
Show Figures

Figure 1

28 pages, 4609 KB  
Review
Reconfigurable Antennas Enabled by Tunable Metasurfaces for Next-Generation Wireless Communications: A Review
by Zahra Hamzavi-Zarghani, Ladislau Matekovits and Wolfgang Bösch
Electronics 2026, 15(8), 1610; https://doi.org/10.3390/electronics15081610 - 13 Apr 2026
Viewed by 376
Abstract
Reconfigurable antennas play a central role in next-generation wireless communication systems by enabling dynamic adaptation of operating frequency, radiation pattern, and polarization. Tunable metasurfaces have emerged as a powerful and compact approach to antenna reconfiguration, allowing electromagnetic wave manipulation through engineered, planar structures [...] Read more.
Reconfigurable antennas play a central role in next-generation wireless communication systems by enabling dynamic adaptation of operating frequency, radiation pattern, and polarization. Tunable metasurfaces have emerged as a powerful and compact approach to antenna reconfiguration, allowing electromagnetic wave manipulation through engineered, planar structures whose properties can be dynamically controlled. By embedding active devices or tunable materials within metasurface unit cells, antenna characteristics can be modified without altering the antenna geometry. This review provides a comprehensive overview of reconfigurable antennas enabled by tunable metasurfaces. We adopt a functionality-based classification that focuses on operating frequency, radiation pattern, polarization, and multifunction reconfiguration. An overview of major tunability technologies, including PIN diodes, varactors, MEMS, graphene and two-dimensional materials, and liquid crystal (LC) or phase-change materials, is first presented. Subsequently, metasurface-based reconfiguration strategies are discussed and compared for each antenna functionality, highlighting design principles, practical trade-offs, and limitations. The review concludes with an assessment of challenges and future research directions relevant to next-generation wireless communications and beyond. Full article
Show Figures

Figure 1

21 pages, 5196 KB  
Article
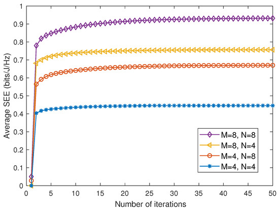
Energy Efficiency Maximization for ME-IRS-Enabled Secure Communications
by Chenxi Liu, Limeng Dong, Yong Li and Wei Cheng
Entropy 2026, 28(4), 432; https://doi.org/10.3390/e28040432 - 12 Apr 2026
Viewed by 153
Abstract
This paper investigates the secrecy energy efficiency (SEE) maximization problem in a downlink multiple-input single-output (MISO) wireless communication system assisted by an intelligent reflecting surface with movable elements (ME-IRS). Unlike a conventional IRS, which has fixed-position elements, the proposed ME-IRS enables dynamic adjustment [...] Read more.
This paper investigates the secrecy energy efficiency (SEE) maximization problem in a downlink multiple-input single-output (MISO) wireless communication system assisted by an intelligent reflecting surface with movable elements (ME-IRS). Unlike a conventional IRS, which has fixed-position elements, the proposed ME-IRS enables dynamic adjustment of element positions to exploit additional spatial degrees of freedom for performance enhancement. However, such flexibility introduces new challenges due to the strong coupling among transmit beamforming, IRS phase shifts, and element positions, as well as the additional power consumption caused by element movement. To address these issues, we formulate an SEE maximization problem by jointly optimizing the transmit beamforming, phase shift matrix, and element positions. The resulting problem is highly non-convex owing to the fractional objective function and coupled variables. To address this challenge, an efficient alternating optimization (AO) framework is developed by leveraging semidefinite relaxation (SDR), successive convex approximation (SCA), and gradient-based methods. Simulation results demonstrate that the proposed ME-IRS configuration significantly outperforms conventional fixed-position and discrete-position IRS configurations in terms of SEE, providing valuable insights into the impact of movable region size and system parameters. Full article
(This article belongs to the Special Issue Wireless Physical Layer Security Toward 6G)
Show Figures

Figure 1

22 pages, 6897 KB  
Article
Joint Optimization of Hovering Position and Resource Allocation in UAV-Enabled Semantic Communications via Greedy-Enhanced Adaptive Cellular Genetic Algorithm
by Pei Liu and Boge Wen
Inventions 2026, 11(2), 40; https://doi.org/10.3390/inventions11020040 - 12 Apr 2026
Viewed by 150
Abstract
Despite significant advancements in communication systems, inherent limitations persist in providing reliable data transmission for emerging applications with massive data exchanges. Semantic communication offers promising solutions by extracting and transmitting meaningful information rather than raw bit sequences. However, it faces challenges from high [...] Read more.
Despite significant advancements in communication systems, inherent limitations persist in providing reliable data transmission for emerging applications with massive data exchanges. Semantic communication offers promising solutions by extracting and transmitting meaningful information rather than raw bit sequences. However, it faces challenges from high mobility and dynamic channel conditions in wireless environments. In this paper, we design a ground-to-air network architecture that integrates a rotary-wing unmanned aerial vehicle (UAV) and ground terminals to maximize semantic transmission efficiency while maintaining low energy consumption. This approach leverages the high mobility of the UAV for flexible deployment and the data reduction capabilities of semantic communication. Therefore, we formulate a multi-objective optimization problem to simultaneously balance the total semantic transmission rate and the UAV propulsion energy consumption by jointly optimizing the UAV hovering position, semantic encoding lengths, and resource block (RB) allocation. The problem is complex, with mixed continuous and discrete variables, which necessitates an advanced optimization method. To address these challenges, we propose a novel greedy-enhanced adaptive multi-objective cellular genetic algorithm (GEAMOCell), which utilizes an adaptive neighborhood selection mechanism to balance exploration and exploitation, and employs a crowding-guided archive feedback mechanism to maintain population diversity. The simulation results demonstrate that the proposed GEAMOCell algorithm outperforms baseline algorithms in terms of convergence, semantic transmission rate, and energy efficiency. Full article
13 pages, 7353 KB  
Article
A Compact Wideband Three-Slot Filtering Antenna Based on Mixed Electric and Magnetic Couplings
by Kai-Lu Wang, Xiao Liu and Dong-Sheng La
Electronics 2026, 15(8), 1601; https://doi.org/10.3390/electronics15081601 - 11 Apr 2026
Viewed by 255
Abstract
In this article, a compact wideband three-slot filtering antenna is proposed. The antenna consists of a U-shaped driven slot, a folded resonant slot, and a linear resonant slot. A microstrip feedline with a shorting via is employed to excite the antenna. Mixed electric [...] Read more.
In this article, a compact wideband three-slot filtering antenna is proposed. The antenna consists of a U-shaped driven slot, a folded resonant slot, and a linear resonant slot. A microstrip feedline with a shorting via is employed to excite the antenna. Mixed electric and magnetic couplings enable the driven slot to couple to the two resonant slots. Three resonant frequencies lie within the passband, resulting in wideband operation. The lowest resonant frequency is determined by the folded resonant slot, while the highest resonant frequency is determined by the linear resonant slot. The center resonant frequency is influenced by the combined effects of the U-shaped driven slot, the folded resonant slot, and the linear resonant slot. A low-frequency radiation null at 1.68 GHz and a high-frequency radiation null at 3.19 GHz are generated. These two radiation nulls enable the proposed antenna to achieve excellent filtering performance. A prototype was fabricated and measured. The measured results are in good agreement with the simulated ones. The measurements show that the proposed three-slot filtering antenna exhibits a relative impedance bandwidth of 39.1%. The out-of-band suppression levels reach 12.5 dB and 14.8 dB in the lower and upper sidebands, respectively. The proposed three-slot filtering antenna is suitable for applications in wireless communication systems. Full article
Show Figures

Figure 1

18 pages, 6676 KB  
Article
Joint Phase and Power Optimization in RIS-Aided Multi-User Systems Using Deep Reinforcement Learning
by Qian Guo, Anming Dong, Sufang Li, Jiguo Yu and You Zhou
Electronics 2026, 15(8), 1564; https://doi.org/10.3390/electronics15081564 - 8 Apr 2026
Viewed by 310
Abstract
Reconfigurable intelligent surfaces (RIS) have emerged as a promising technology for enhancing wireless communication by intelligently shaping the propagation environment. However, non-line-of-sight (NLoS) blockage between the access point (AP) and user equipment (UE) can still significantly degrade communication performance. This paper investigates the [...] Read more.
Reconfigurable intelligent surfaces (RIS) have emerged as a promising technology for enhancing wireless communication by intelligently shaping the propagation environment. However, non-line-of-sight (NLoS) blockage between the access point (AP) and user equipment (UE) can still significantly degrade communication performance. This paper investigates the channel degradation caused by NLoS blockage in a single-antenna AP and multi-antenna UE system and proposes a joint power allocation and phase optimization scheme based on RIS and deep reinforcement learning (DRL). Under a composite channel model with direct and RIS-reflected links, the objective is to maximize the weighted sum rate subject to total power constraints, unit-modulus constraints on RIS elements, and quality of service (QoS) requirements. Due to the coupled variables and the non-convex unit-modulus constraint, conventional alternating optimization (AO) and convex approximation methods usually incur high complexity and yield suboptimal solutions. To address this issue, a DRL algorithm based on an Actor–Critic architecture is developed to learn adaptive power allocation and reflection coefficient adjustment policies through interaction with the environment, without requiring full global channel state information (CSI). Simulation results demonstrate that the proposed method achieves higher signal-to-interference-plus-noise ratio (SINR) and throughput while providing faster convergence and better generalization than existing methods. Full article
(This article belongs to the Special Issue AI-Driven Intelligent Systems in Energy, Healthcare, and Beyond)
Show Figures

Figure 1

22 pages, 771 KB  
Article
Cyclic Prefix and Zero-Padding Spectrally Efficient FDM with Sector Antennas for Rayleigh Fading Channel
by Haruki Inoue, Ryotaro Ishihara, Jaesang Cha and Chang-Jun Ahn
Electronics 2026, 15(8), 1554; https://doi.org/10.3390/electronics15081554 - 8 Apr 2026
Viewed by 250
Abstract
Spectrum scarcity has become a critical issue due to the rapid deployment of fifth-generation (5G) networks and the explosive growth of future wireless data traffic. Spectrally Efficient Frequency Division Multiplexing (SEFDM) is a promising technique to enhance spectral efficiency by compressing subcarrier spacing [...] Read more.
Spectrum scarcity has become a critical issue due to the rapid deployment of fifth-generation (5G) networks and the explosive growth of future wireless data traffic. Spectrally Efficient Frequency Division Multiplexing (SEFDM) is a promising technique to enhance spectral efficiency by compressing subcarrier spacing and allowing spectral overlap; however, it suffers from severe inter-carrier interference (ICI) caused by the loss of orthogonality. In particular, under Rayleigh fading channels, the combined effects of ICI and multipath fading lead to significant degradation in bit error rate (BER) performance. Conventional SEFDM systems employing a cyclic prefix (CP) encounter an unavoidable error floor due to residual interference stemming from non-orthogonality. On the other hand, while zero-padding (ZP)-based SEFDM offers superior multipath tolerance, further enhancement in communication quality is still desired. This paper proposes a novel receiver architecture utilizing sector antennas to spatially separate multipath components based on the angle of arrival (AoA). Furthermore, we investigate and compare sector selection algorithms specifically tailored for SEFDM systems. Simulation results demonstrate that the proposed method, employing a sector selection scheme based on the maximum channel response power, effectively suppresses inter-symbol interference (ISI) and improves BER performance for both CP-SEFDM and ZP-SEFDM. Furthermore, our quantitative evaluations confirm that the proposed architecture successfully achieves the theoretical maximum spectral efficiency even in higher-order modulation schemes (16QAM), while maintaining a low computational complexity compared to conventional spatial diversity techniques. Full article
(This article belongs to the Section Microwave and Wireless Communications)
Show Figures

Figure 1

28 pages, 8022 KB  
Article
Quantum-Inspired Variational Inference for Non-Convex Stochastic Optimization: A Unified Mathematical Framework with Convergence Guarantees and Applications to Machine Learning in Communication Networks
by Abrar S. Alhazmi
Mathematics 2026, 14(7), 1236; https://doi.org/10.3390/math14071236 - 7 Apr 2026
Viewed by 263
Abstract
Non-convex stochastic optimization presents fundamental mathematical challenges across machine learning, wireless networks, data center resource allocation, and optical wireless communication systems, where complex loss landscapes with multiple local minima and saddle points impede classical variational inference methods. This paper introduces the Quantum-Inspired Variational [...] Read more.
Non-convex stochastic optimization presents fundamental mathematical challenges across machine learning, wireless networks, data center resource allocation, and optical wireless communication systems, where complex loss landscapes with multiple local minima and saddle points impede classical variational inference methods. This paper introduces the Quantum-Inspired Variational Inference (QIVI) framework, which systematically integrates quantum mechanical principles (superposition, entanglement, and measurement operators) into classical variational inference through rigorous mathematical formulations grounded in Hilbert space theory and operator algebras. We develop a unified optimization framework that encodes classical parameters as quantum-inspired states within finite-dimensional complex Hilbert spaces, employing unitary evolution operators and adaptive basis selection governed by gradient covariance eigendecomposition. The core mathematical contribution establishes that QIVI achieves a convergence rate of O(log2T/T1/2) for σ-strongly non-convex functions, provably improving upon the classical O(T1/4) rate, yielding a theoretical speedup factor of 1.851.96×. Comprehensive experiments across synthetic benchmarks, Bayesian neural networks, and real-world applications in network optimization and financial portfolio management demonstrate 23–47% faster convergence, 15–35% superior objective values, and 28–46% improved uncertainty calibration. The principal contributions include: (i) a rigorous Hilbert space-based mathematical framework for quantum-inspired variational inference grounded in operator algebras, (ii) a novel hybrid quantum–classical algorithm (QIVI) with adaptive basis selection via gradient covariance eigendecomposition, (iii) formal convergence proofs establishing provable improvement over classical methods, (iv) comprehensive empirical validation across diverse problem domains relevant to machine learning and network optimization, and (v) demonstration of the framework’s applicability to optimization problems arising in wireless networks, data center resource allocation, and network system design. Statistical validation using the Friedman test (χ2=847.3, p<0.001) and post hoc Wilcoxon signed-rank tests with Holm–Bonferroni correction confirm that QIVI’s improvements over all baseline methods are statistically significant at the α=0.05 level across all benchmark categories. The framework discovers 18.1 out of 20 true modes in multimodal distributions versus 9.1 for classical methods, demonstrating the potential of quantum-inspired optimization approaches for challenging stochastic problems arising in machine learning, wireless communication, and network optimization. Full article
Show Figures

Figure 1

24 pages, 671 KB  
Article
Statistical Indistinguishability in Multi-User Covert Communications Without Secret Information
by Jinyoung Lee, Junguk Park and Sangseok Yun
Mathematics 2026, 14(7), 1227; https://doi.org/10.3390/math14071227 - 7 Apr 2026
Viewed by 294
Abstract
This paper proposes a novel covert communication paradigm in which covertness emerges from network-induced structural uncertainty, eliminating the traditional reliance on pre-shared secret pilots in multi-user cooperative networks. Unlike conventional schemes that create information asymmetry through secret training sequences, we show that structural [...] Read more.
This paper proposes a novel covert communication paradigm in which covertness emerges from network-induced structural uncertainty, eliminating the traditional reliance on pre-shared secret pilots in multi-user cooperative networks. Unlike conventional schemes that create information asymmetry through secret training sequences, we show that structural uncertainty naturally arises from user selection in spatially dispersed networks. Specifically, we consider a public pilot aided system under a worst-case adversarial assumption where Willie possesses full knowledge of all individual channel state information (CSI) but remains uncertain about the active subset of cooperative users. We prove that this selection-induced structural uncertainty renders different transmission states statistically indistinguishable from Willie’s perspective, thereby forcing the optimal detector to reduce to an energy-based test. The proposed framework demonstrates that robust covertness can be achieved without secrecy-based coordination, providing a scalable and practically viable alternative to secret pilot management in future wireless networks. Full article
(This article belongs to the Special Issue Computational Methods in Wireless Communications with Applications)
Show Figures

Figure 1

Back to TopTop