Sign in to use this feature.

Years

Between: -

Subjects

remove_circle_outline
remove_circle_outline
remove_circle_outline
remove_circle_outline
remove_circle_outline
remove_circle_outline
remove_circle_outline

Journals

Article Types

Countries / Regions

Search Results (7)

Search Parameters:
Keywords = windward shear vortex

Order results
Result details
Results per page
Select all
Export citation of selected articles as:
22 pages, 10525 KB  
Article
Numerical Study of Transverse Jet in Supersonic Flowfield Using Reynolds Stress Model Based Detached Eddy Simulation
by Zhi-Kan Liu, Yi-Lun Liu, Gang Wang and Tian-Yu Lin
Fluids 2025, 10(9), 229; https://doi.org/10.3390/fluids10090229 - 29 Aug 2025
Viewed by 724
Abstract
This study investigated the aerodynamic structures generated by transverse jet injection in supersonic flows around high-speed vehicles. The unsteady evolution of these structures was analyzed using an improved delayed detached Eddy simulation (IDDES) approach based on the Reynolds stress model (RSM). The simulations [...] Read more.
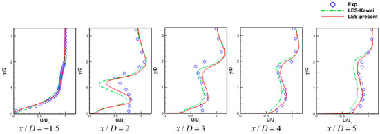
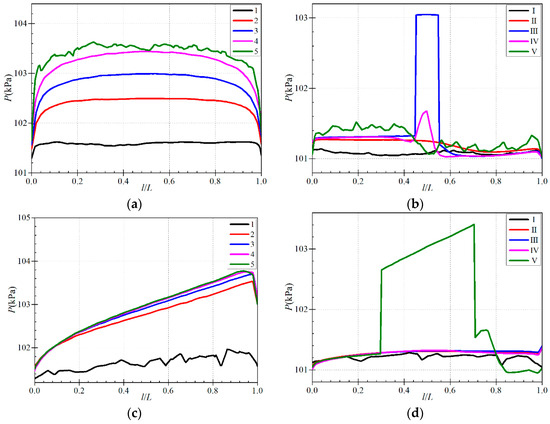
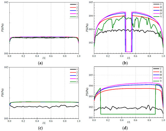
This study investigated the aerodynamic structures generated by transverse jet injection in supersonic flows around high-speed vehicles. The unsteady evolution of these structures was analyzed using an improved delayed detached Eddy simulation (IDDES) approach based on the Reynolds stress model (RSM). The simulations successfully reproduced experimentally observed shock systems and vortical structures. The time-averaged flow characteristics were compared with the experimental results, and good agreement was observed. The flow characteristics were analyzed, with particular emphasis on the formation of counter-rotating vortex pairs in the downstream region, as well as complex near-field phenomena, such as flow separation and shock wave/boundary layer interactions. Time-resolved spectral analysis at multiple monitoring locations revealed the presence of a global oscillation within the flow dynamics. Within these regions, pressure fluctuations in the recirculation zone lead to periodic oscillations of the upstream bow shock. This dynamic interaction modulates the instability of the windward shear layer and generates large-scale vortex structures. As these shed vortices convect downstream, they interact with the barrel shock, triggering significant oscillatory motion. To further characterize this behavior, dynamic mode decomposition (DMD) was applied to the pressure fluctuations. The analysis confirmed the presence of a coherent global oscillation mode, which was found to simultaneously govern the periodic motions of both the upstream bow shock and the barrel shock. Full article
(This article belongs to the Section Mathematical and Computational Fluid Mechanics)
Show Figures

Figure 1

24 pages, 8586 KB  
Article
The Impact of Installation Angle on the Wind Load of Solar Photovoltaic Panels
by Hai-Bing Jiang, Hui-Fan Huang, Yu-Liang Zhang, Xiao-Wei Xu and Yan-Juan Zhao
Processes 2024, 12(6), 1077; https://doi.org/10.3390/pr12061077 - 24 May 2024
Cited by 3 | Viewed by 3529
Abstract
In order to explore the wind load characteristics acting on solar photovoltaic panels under extreme severe weather conditions, based on the Shear Stress Transport (SST) κ-ω turbulence model, numerical calculations of three-dimensional incompressible viscous steady flow were performed for four installation [...] Read more.
In order to explore the wind load characteristics acting on solar photovoltaic panels under extreme severe weather conditions, based on the Shear Stress Transport (SST) κ-ω turbulence model, numerical calculations of three-dimensional incompressible viscous steady flow were performed for four installation angles and two extreme wind directions of the solar photovoltaic panels. The wind load characteristics on both sides of the photovoltaic panels were obtained, and the vortex structure characteristics were analyzed using the Q criterion. The results indicate that, under different installation angles, the windward side pressure of the solar photovoltaic panel is generally higher than the leeward side. The leeward side is prone to forming larger vortices, increasing the fatigue and damage risk of the material, which significantly impacts the solar photovoltaic panel. As the installation angle increases, the windward side pressure of the solar photovoltaic panel also gradually increases. Therefore, optimal installation methods include installing the panel facing the wind at angles of 30° and 45°, or installing it facing away from the wind at a 60° angle, to minimize the impact of wind load on the solar photovoltaic panel. Full article
(This article belongs to the Section Energy Systems)
Show Figures

Figure 1

20 pages, 10655 KB  
Article
Numerical and Experimental Study on Flow Field around Slab-Type High-Rise Residential Buildings
by Yuchao Xia, Yan Shen, Jiahui Yuan and Shuifu Chen
Sustainability 2023, 15(17), 12685; https://doi.org/10.3390/su151712685 - 22 Aug 2023
Cited by 2 | Viewed by 1517
Abstract
High-rise residential buildings often adopt rectangular cross-sections with large depth-to-width ratios. Moreover, the cross-sections have many grooves and chamfers for better ventilation and lighting. However, related research is lacking. This study performed wind tunnel tests and large eddy simulations (LES) on two typical [...] Read more.
High-rise residential buildings often adopt rectangular cross-sections with large depth-to-width ratios. Moreover, the cross-sections have many grooves and chamfers for better ventilation and lighting. However, related research is lacking. This study performed wind tunnel tests and large eddy simulations (LES) on two typical buildings to analyze the surface wind pressures and flow fields around the buildings. The base moment spectra, along with the wind pressure coefficients, demonstrate that numerical simulation is capable of accurately representing the magnitudes and variations in wind loads along the height of the building. Furthermore, numerical simulation effectively captures the dominant energy distribution characteristics of fluctuating wind loads in the frequency domain. The shear layer separations, vortex shedding and reattachment phenomenon were observed. It was found that in the middle and lower parts of the buildings, the shear layer separation changed dramatically. Buildings with depth-to-width ratios close to 2 are minimally affected by changes in wind direction. However, for buildings with larger depth-to-width ratios, especially when the short side faces the wind, the reattachment of the shear layer and the shedding of wake vortices become crucial factors in generating fluctuating cross-wind loads. This emphasizes the significant impact of wind direction and plan dimensions on flow characteristics and aerodynamic behavior. When the building contained corners and grooves, the low-wind-speed area induced by the shear layer separation shrank and the reattachment point shifted closer to the windward facade. Full article
(This article belongs to the Special Issue Advances in Wind Engineering for Sustainable Structure)
Show Figures

Figure 1

17 pages, 7020 KB  
Article
Experimental Study of the Formation and Evolution of Gas Jets in Supersonic Combustion Chambers
by Yifan Duan, Pengnian Yang, Zhixun Xia, Yunchao Feng, Chaolong Li, Libei Zhao and Likun Ma
Appl. Sci. 2023, 13(4), 2202; https://doi.org/10.3390/app13042202 - 8 Feb 2023
Cited by 6 | Viewed by 2313
Abstract
A simple and efficient flow field visualization method (based on shadow imaging) was applied in a direct-connect test to explore the influence of the momentum flux ratio and the jet angle on the formation and evolution of nitrogen jets in supersonic combustion chambers. [...] Read more.
A simple and efficient flow field visualization method (based on shadow imaging) was applied in a direct-connect test to explore the influence of the momentum flux ratio and the jet angle on the formation and evolution of nitrogen jets in supersonic combustion chambers. The test setup adopts a rectangular flow passage to simulate a flight condition with Mach number of 6 and altitude of 25 km. The experimental results showed that (a) the flow field visualization method adopted in this paper can clearly register the formation and evolution of the shock wave structure in the flow field and the windward shear vortex on the jet surface. (b) The evolution process of the windward shear vortex is significantly affected by the jet angle. In particular, the stretching position of the windward shear vortex changed when the jet angle was obtuse. (c) The bow shocks showed local distortion due to the periodic generation of large-scale shear vortexes. (d) Under the working conditions of the test, the largest instability of the flow field was found for a jet angle of 120°. This work provides, on one hand, the experimental basis for clarifying the formation and evolution mechanism of transverse gas jets, and on the other, valuable data that can be used to validate numerical simulations. Full article
(This article belongs to the Section Aerospace Science and Engineering)
Show Figures

Figure 1

19 pages, 7724 KB  
Article
Self-Starting Characteristics and Flow-Induced Rotation of Single- and Dual-Stage Vertical-Axis Wind Turbines
by Muhammad Saif Ullah Khalid, David Wood and Arman Hemmati
Energies 2022, 15(24), 9365; https://doi.org/10.3390/en15249365 - 10 Dec 2022
Cited by 14 | Viewed by 3658
Abstract
Despite offering promising opportunities for wind energy harvesting in urban environments, vertical axis wind turbines face limitations in terms of poor starting characteristics. In this study, we focus on analyzing improvements offered by dual-stage turbines for a range of wind velocities. Numerical simulations [...] Read more.
Despite offering promising opportunities for wind energy harvesting in urban environments, vertical axis wind turbines face limitations in terms of poor starting characteristics. In this study, we focus on analyzing improvements offered by dual-stage turbines for a range of wind velocities. Numerical simulations are performed for different phase angles between the rotors (a measure of relative angular positions of the blades in the two rotors) to quantify the response time for their starting behavior. These simulations rely on a through sliding mesh technique coupled with flow-induced rotations. We find that for U=4m/s, the phase angles of 30 and 90 substantially reduce starting time in comparison to a single-stage turbine. Dual-stage turbines with a phase angle of 90 exhibit similar or better starting behavior for other wind speeds. The phase angle of 0 in double-rotor turbines shows the poorest starting response. Moreover, it is revealed that stabilization of shear layers generated by the blades passing through the windward side of the turbine, vortex-entrapment by these rotating blades, and suppressing of flow structures in the middle of the wake enhance the capacity of VAWTs to achieve faster steady angular speed. Full article
(This article belongs to the Topic Fluid Mechanics)
Show Figures

Figure 1

12 pages, 5074 KB  
Article
Numerical Investigation of the Flow and Infrared Radiation Characteristics of Nozzles with Transverse Jets of Different Shapes
by Bo Zhang, Ziqiang Lin, Jun Zhang, Sheng Yang and Honghu Ji
Processes 2022, 10(4), 763; https://doi.org/10.3390/pr10040763 - 13 Apr 2022
Cited by 11 | Viewed by 2437
Abstract
The hot jet of an aero engine is one of the main radiation sources of infrared detectors in 3–5 microwave bands. Transverse jets were introduced into a hot jet to enhance mixing and reduce the infrared radiation characteristics. This proved to be a [...] Read more.
The hot jet of an aero engine is one of the main radiation sources of infrared detectors in 3–5 microwave bands. Transverse jets were introduced into a hot jet to enhance mixing and reduce the infrared radiation characteristics. This proved to be a high-efficiency and low-resistance infrared suppression technology. The steady-state distribution of temperature data was simulated, which was needed in the thermal radiation calculation. The radiation characteristics were calculated based on the anti-Monte Carlo method in 3–5 microwave bands. The mechanics of enhanced mixing by a rectangular nozzle or transverse jets was investigated with the LES simulation. Compared with an axisymmetric nozzle, a rectangular nozzle induced abundant counter-rotating vortex pairs (CVP), hairpins, shears, and helical vortexes, which resulted in significant mixing enhancement and infrared radiation decrease of the hot jets. Further, circumferential transverse jets of different types were introduced downstream of the nozzle. These jets enhanced the mixing and reduced the infrared radiation in the 3–5 µm band. The mixing characteristics of these different schemes were studied in detail. Large-scale vortices formed on the windward portion of the hot jet boundary under the effect of the transverse jets, which caused strong CVP structures. They also resulted in hairpin vortexes, shear vortexes, and helical vortexes appearing earlier and occurring more frequently than with nozzles without transverse jets. The enhanced mixing caused by the transverse jets led to an increase in temperature decay and a decrease in infrared radiation in the 3–5 µm band. Further, transvers jets of different geometrical shapes (rectangular, cube, and circular schemes) achieved different mixing characteristics, and the rectangular transverse jets allowed the most significant mixing for the largest Q criterion value. Full article
(This article belongs to the Special Issue CFD Applications in Energy Engineering Research and Simulation)
Show Figures

Figure 1

19 pages, 8240 KB  
Article
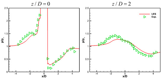
Effect of the Backward Facing Step on a Transverse Jet in Supersonic Crossflow
by Jincheng Zhang, Zhenguo Wang, Mingbo Sun, Hongbo Wang, Chaoyang Liu and Jiangfei Yu
Energies 2020, 13(16), 4170; https://doi.org/10.3390/en13164170 - 12 Aug 2020
Cited by 13 | Viewed by 3253
Abstract
A transverse jet in the supersonic crossflow is one of the most promising injection schemes in scramjet, where the control or enhancement of jet mixing is a critical issue. In this paper, the effect of the backward facing step on the characteristics of [...] Read more.
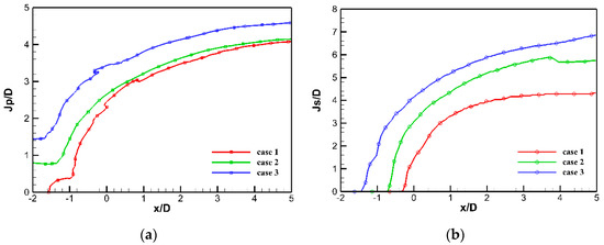
A transverse jet in the supersonic crossflow is one of the most promising injection schemes in scramjet, where the control or enhancement of jet mixing is a critical issue. In this paper, the effect of the backward facing step on the characteristics of jet mixing was investigated by three-dimensional large eddy simulation (LES). The simulation in the flat plate configuration (step height of 0) was performed as the baseline case to verify the computation framework. The distribution of the velocity and pressure obtained by the LES agreed well with the experiment, which shows the reliability of the LES code. Then, two steps with a height of 1.0D and 1.58D (D is the injector diameter) were numerically compared to the non-step baseline case. The comparison of the three cases illustrates the effect of the large-scale recirculation region on the variable distribution, and shock and vortex structures in the flow field. In the windward region, the shear layers become thicker, and the convection velocity of the shear vortexes reduces. In the leeward region, the wake vortices almost disappear while the counterrotating vortex pairs (CVPs) expand in the spanwise direction. In the area upstream of the jet, the separation bubble works with the upstream large-scale recirculation zone to entrain the jet into the upstream near-wall zone. At last, a comparison of the overall mixing performance of the three cases revealed that the penetration depth and mixing efficiency increased with the step height increasing. Full article
Show Figures

Figure 1

Back to TopTop