Experimental Study of the Formation and Evolution of Gas Jets in Supersonic Combustion Chambers
Abstract
1. Introduction
2. Test and Observation Setup
2.1. Test System
2.1.1. Direct-Connect Tests
2.1.2. Jet Generating Device
2.2. Flow Field Visualization Technology
2.2.1. Proposed Setup
2.2.2. Image Processing
3. Results
3.1. Discussion on Instantaneous Flow Field Structure
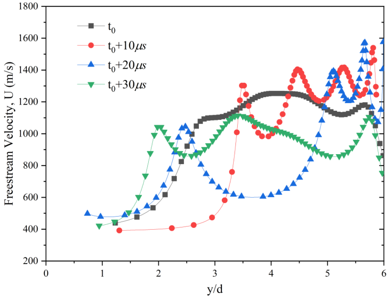
3.2. Spatiotemporal Evolution of the Flow Field
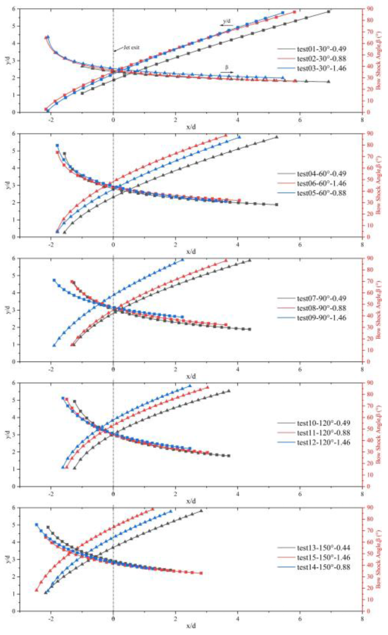
3.3. Statistical Properties of the Flow Field
4. Conclusions
- (1)
- The jet angle had a greater influence on the flow field shear vortex than the momentum flux ratio. When an acute jet angle was used, the number of shear vortexes increased, the flow direction spatial range widened, and the vortexes shrunk, mainly due to the gas compressibility.
- (2)
- For all the tests run, the shear vortexes were periodic and their evolution had three distinctive stages, namely, formation, stretching, and tearing. However, the tensile positions were different. When the jet angle was obtuse, the structure of the flow field (bow shock, barrel shock wave, and Mach disk) showed fluctuations due to the periodic generation of shear vortexes.
- (3)
- When the jet angle was 120°, the fluctuation area of the flow field strength was the largest, and the bow shock also showed violent fluctuations. In between 30° and 60°, there existed a certain jet angle that made the flow field structure more sensitive to it.
Author Contributions
Funding
Institutional Review Board Statement
Informed Consent Statement
Data Availability Statement
Acknowledgments
Conflicts of Interest
Nomenclature
| Mach number | jet angle | ||
| Momentum flux ratio | jet diameter | ||
| Total pressure | Velocity | ||
| Static pressure | ①/② | the vortex exists area | |
| Total temperature | the angle of the bow shock | ||
| Temperature | the deflection angle of the mainstream | ||
| Density | Subscript | ||
| Streamwise direction | |||
| transverse direction | Jet | ||
| Spanwise direction | Mainstream | ||
| Mean | Pixel coordinates | ||
| standard deviation | pressure of environment | ||
| the height of the Mach disk | |||
References
- Le, V.T.; Ha, N.S.; Goo, N.S. Advanced Sandwich Structures for Thermal Protection Systems in Hypersonic Vehicles: A Review. Compos. Part B Eng. 2021, 226, 109301. [Google Scholar] [CrossRef]
- Ihme, M.; Chung, W.T.; Mishra, A.A. Combustion Machine Learning: Principles, Progress and Prospects. Prog. Energy Combust. Sci. 2022, 91, 101010. [Google Scholar] [CrossRef]
- Luo, S.; Feng, Y.; Song, J.; Xu, D.; Xia, K. Progress and Challenges in Exploration of Powder Fueled Ramjets. Appl. Therm. Eng. 2022, 213, 118776. [Google Scholar] [CrossRef]
- Choubey, G.; Devarajan, Y.; Huang, W.; Yan, L.; Babazadeh, H.; Pandey, K.M. Hydrogen Fuel in Scramjet Engines—A Brief Review. Int. J. Hydrogen Energy 2020, 45, 16799–16815. [Google Scholar] [CrossRef]
- Ren, Z.; Wang, B.; Xiang, G.; Zhao, D.; Zheng, L. Supersonic Spray Combustion Subject to Scramjets: Progress and Challenges. Prog. Aerosp. Sci. 2019, 105, 40–59. [Google Scholar] [CrossRef]
- Yan, L.; Huang, W.; Li, H.; Zhang, T. Numerical Investigation and Optimization on Mixing Enhancement Factors in Supersonic Jet-to-Crossflow Flow Fields. Acta Astronautica 2016, 127, 321–325. [Google Scholar] [CrossRef]
- Huang, W. Mixing Enhancement Strategies and Their Mechanisms in Supersonic Flows: A Brief Review. Acta Astronautica 2018, 145, 492–500. [Google Scholar] [CrossRef]
- Li, C.; Ma, L.; Xia, Z.; Chen, B.; Feng, Y.; Duan, Y. Numerical Investigation on Mixing Process of a Sonic Fuel Jet into a Supersonic Crossflow. Int. J. Hydrogen Energy 2022, 47, 37025–37039. [Google Scholar] [CrossRef]
- Zhang, J.; Wang, Z.; Liu, C.; Sun, M.; Wang, H. Computational Realization of Turbulent Combustion in a Scramjet Combustor Stabilized by a Lobed Strut. Int. J. Hydrog. Energy 2022, 48, 4073–4086. [Google Scholar] [CrossRef]
- Sheng, H.; Ji, Y.; Huang, X.; Zhao, Z.; Hu, W.; Chen, J.; Liu, H. A Free Radical Relay Combustion Approach to Scramjet Ignition at a Low Mach Number. Energy 2022, 247, 123539. [Google Scholar] [CrossRef]
- Nair, P.P.; Narayanan, V.; Suryan, A. Combustion Efficiency Improvement for Scramjet Combustor with Strut Based Flame Stabilizer Using Passive Techniques. Int. J. Hydrogen Energy 2021, 46, 40054–40072. [Google Scholar] [CrossRef]
- Dou, S.; Yang, Q.; Jin, Y.; Xu, X. Study on Fuel Equivalence Ratio Range for Supersonic Premixed Combustion Mode to Establish in a Scramjet. Acta Astronaut. 2022, 199, 37–48. [Google Scholar] [CrossRef]
- Karagozian, A.R. Transverse Jets and Their Control. Prog. Energy. Combust. Sci. 2010, 36, 531–553. [Google Scholar] [CrossRef]
- Mahesh, K. The Interaction of Jets with Crossflow. Annu. Rev. Fluid Mech. 2013, 45, 379–407. [Google Scholar] [CrossRef]
- Das, N.; Pandey, K.M.; Sharma, K.K. A Brief Review on the Recent Advancement in the Field of Jet Engine—Scramjet Engine. Mater. Today Proc. 2021, 45, 6857–6863. [Google Scholar] [CrossRef]
- Liu, Y.; Sun, M.; Liang, C.; Yu, J.; Li, G. Flowfield Structures of Pylon-Aided Fuel Injection into a Supersonic Crossflow. Acta Astronaut. 2019, 162, 306–313. [Google Scholar] [CrossRef]
- Liang, C.; Sun, M.; Liu, Y.; Li, G.; Yu, J. Numerical Study of Flow Structures and Mixing Characteristics of a Sonic Jet in Supersonic Crossflow. Acta Astronaut. 2020, 166, 78–88. [Google Scholar] [CrossRef]
- Zhou, W.; Xing, K.; Dou, S.; Yang, Q.; Xu, X. Experimental and Numerical Investigations on the Mixing Process of Supercritical Jet Injected into a Supersonic Crossflow. Aerospace 2022, 9, 613. [Google Scholar] [CrossRef]
- Sun, M.B.; Wang, H.B.; Chen, T.; Liang, J.H.; Liu, W.D.; Wang, Z.G. Parametric Study on Self-Sustained Oscillation Characteristics of Cavity Flameholders in Supersonic Flows. Proc. Inst. Mech. Eng. Part G J. Aerosp. Eng. 2011, 225, 597–618. [Google Scholar] [CrossRef]
- Sun, M.B.; Liang, J.H.; Wang, Z.G. Numerical Study on Self-Sustained Oscillation Characteristics of Cavity Flameholders in a Supersonic Flow. Proc. Inst. Mech. Eng. Part G J. Aerosp. Eng. 2008, 222, 95–102. [Google Scholar] [CrossRef]
- Ben-Yakar, A.; Hanson, R.K. Experimental Investigation of Flame-Holding Capability of Hydrogen Transverse Jet in Supersonic Cross-Flow. In Symposium (International) on Combustion; Elsevier: Amsterdam, The Netherlands, 1998; pp. 2173–2180. [Google Scholar]
- Ben-Yakar, A.; Kamel, M.; Morris, C.; Hanson, R. Experimental Investigation of H2 Transverse Jet Combustion in Hypervelocity Flows. In Proceedings of the Joint Propulsion Conference & Exhibit, Seattle, WA, USA, 6–9 July 1997. [Google Scholar]
- Liang, C.; Sun, M.; Wang, Q.; Liu, Y.; Yang, Y.; Sun, Y.; Li, G. Experimental Study of Parallel Injections with Different Distances into a Supersonic Crossflow. Acta Astronaut. 2020, 168, 242–248. [Google Scholar] [CrossRef]
- Huang, W. Transverse Jet in Supersonic Crossflows. Aerosp. Sci. Technol. 2016, 50, 183–195. [Google Scholar] [CrossRef]
- Aso, S.; Inoue, K.; Yamaguchi, K.; Tani, Y. A Study on Supersonic Mixing by Circular Nozzle with Various Injection Angles for Air Breathing Engine. Acta Astronaut. 2009, 65, 687–695. [Google Scholar] [CrossRef]
- Sharma, V.; Eswaran, V.; Chakraborty, D. Effect of Fuel-Jet Injection Angle Variation on the Overall Performance of a SCRAMJET Engine. Aerosp. Sci. Technol. 2020, 100, 105786. [Google Scholar] [CrossRef]
- Pu, C.; Guo, G.; Han, J.; Jiang, S. Effect of Jet Schemes of the Double-Nozzle Strut Injector on Mixing Efficiency of Air and Hydrogen for a Scramjet Combustor. Int. J. Hydrogen Energy 2022, 47, 22633–22649. [Google Scholar] [CrossRef]
- Paull, N. High Speed Imaging of Scramjet Flow in the X3 Expansion Tube. Honours Thesis, The University of Queensland, Brisbane, Australia, 2013. Available online: https://espace.library.uq.edu.au/view/UQ:375564 (accessed on 29 December 2022).
- Kouchi, T.; McDaniel, J.C.; Rockwell, R.D.; Goyne, C.P. Focusing-Schlieren Visualization in a Dual-Mode Scramjet. Exp. Fluids Exp. Methods Their Appl. Fluid Flow 2015, 56, 1–14. [Google Scholar] [CrossRef]
- Wang, D.; Xia, Z.; Zhao, Y.; Wang, B.; Zhao, Y. Imaging of the Space-Time Structure of a Vortex Generator in Supersonic Flow. Chin. J. Aeronaut. 2012, 25, 57–63. [Google Scholar] [CrossRef]
- Ben-Yakar, A.; Mungal, M.G.; Hanson, R.K. Time Evolution and Mixing Characteristics of Hydrogen and Ethylene Transverse Jets in Supersonic Crossflows. Phys. Fluids 2006, 18, 026101. [Google Scholar] [CrossRef]
- Ashkenas, H. The Structure and Utilization of Supersonic Free Jets in Low Density Wind Tunnels. In Rarefied Gas Dynamics; Academic Press: New York, NY, USA, 1966. [Google Scholar]
- Gordon, S.; Mcbride, B.J. Computer Program for Calculation of Complex Chemical Equilibrium Compositions and Applications. Part 1: Analysis. In NASA Reference Publications; National Aeronautics and Space Administration: Washington, DC, USA, 1994. [Google Scholar]
- Zhang, Z.; Awasthi, M.; McCreton, S.; Wills, A.O.; Moreau, D.J.; Doolan, C.J. Unsteady Interaction between Shear Layer Vortices and a Bow Shock During Supersonic Injection. In Proceedings of the AIAA AVIATION 2020 FORUM, Virtual Event, 15–19 June 2020. [Google Scholar]


















| Parameter | Symbol | Unit | Value |
|---|---|---|---|
| Mach number | / | 2.6 | |
| Velocity | m/s | 1445 | |
| Total temperature | K | 1636 | |
| Static temperature | K | 820 | |
| Static pressure | MPa | 0.079 | |
| Density | 0.337 |
| Parameter | Symbol | Unit | Values | ||
|---|---|---|---|---|---|
| Mach number | 1 | ||||
| Stagnation pressure | MPa | 0.475 | 0.849 | 1.422 | |
| Velocity | m/s | 322.3 | |||
| Density | 3.38 | 6.05 | 10.13 | ||
| Jet-to-freestream Momentum | 0.49 | 0.88 | 1.46 | ||
| ID | α/° | J | ID | α/° | J | ID | α/° | J |
|---|---|---|---|---|---|---|---|---|
| Test 01 | 30° | 0.49 | Test 02 | 30° | 0.88 | Test 03 | 30 | 1.46 |
| Test 04 | 60° | 0.49 | Test 05 | 60° | 0.88 | Test 06 | 60° | 1.46 |
| Test 07 | 90° | 0.49 | Test 08 | 90° | 0.88 | Test 09 | 90° | 1.46 |
| Test 10 | 120° | 0.49 | Test 11 | 120° | 0.88 | Test 12 | 120° | 1.46 |
| Test 13 | 150° | 0.49 | Test 14 | 150° | 0.88 | Test 15 | 150° | 1.46 |
Disclaimer/Publisher’s Note: The statements, opinions and data contained in all publications are solely those of the individual author(s) and contributor(s) and not of MDPI and/or the editor(s). MDPI and/or the editor(s) disclaim responsibility for any injury to people or property resulting from any ideas, methods, instructions or products referred to in the content. |
© 2023 by the authors. Licensee MDPI, Basel, Switzerland. This article is an open access article distributed under the terms and conditions of the Creative Commons Attribution (CC BY) license (https://creativecommons.org/licenses/by/4.0/).
Share and Cite
Duan, Y.; Yang, P.; Xia, Z.; Feng, Y.; Li, C.; Zhao, L.; Ma, L. Experimental Study of the Formation and Evolution of Gas Jets in Supersonic Combustion Chambers. Appl. Sci. 2023, 13, 2202. https://doi.org/10.3390/app13042202
Duan Y, Yang P, Xia Z, Feng Y, Li C, Zhao L, Ma L. Experimental Study of the Formation and Evolution of Gas Jets in Supersonic Combustion Chambers. Applied Sciences. 2023; 13(4):2202. https://doi.org/10.3390/app13042202
Chicago/Turabian StyleDuan, Yifan, Pengnian Yang, Zhixun Xia, Yunchao Feng, Chaolong Li, Libei Zhao, and Likun Ma. 2023. "Experimental Study of the Formation and Evolution of Gas Jets in Supersonic Combustion Chambers" Applied Sciences 13, no. 4: 2202. https://doi.org/10.3390/app13042202
APA StyleDuan, Y., Yang, P., Xia, Z., Feng, Y., Li, C., Zhao, L., & Ma, L. (2023). Experimental Study of the Formation and Evolution of Gas Jets in Supersonic Combustion Chambers. Applied Sciences, 13(4), 2202. https://doi.org/10.3390/app13042202

