Self-Starting Characteristics and Flow-Induced Rotation of Single- and Dual-Stage Vertical-Axis Wind Turbines
Abstract
1. Introduction
2. Numerical Methodology
2.1. Geometry and Kinematics
2.2. Flow Solver
2.3. Computational Domain and Boundary Conditions
2.4. Flow-Induced Rotation of Turbines
2.5. Key Performance Parameters
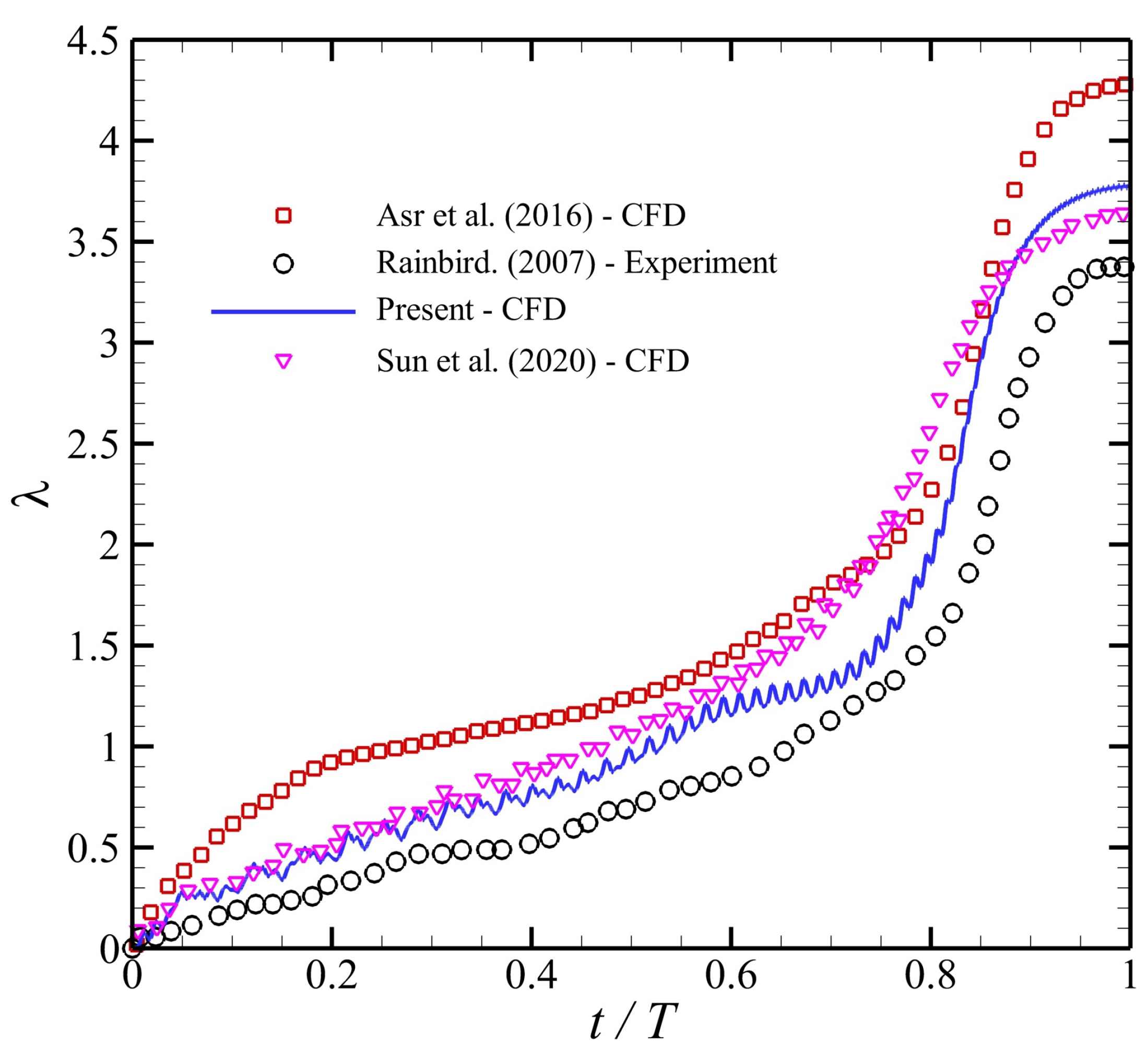
2.6. Validation and Verification
3. Results and Discussion
4. Conclusions
Author Contributions
Funding
Data Availability Statement
Acknowledgments
Conflicts of Interest
References
- Kirke, B.K. Evaluation of Self-Starting Vertical Axis Wind Turbines for Stand-Alone Applications. Ph.D. Thesis, Griffith University Gold Coast, Southport, Australia, 1998. [Google Scholar]
- Lunt, P. An Aerodynamic Model for a Vertical-Axis Wind Turbine; MEng Project Report; School of Engineering, University of Durham: Durham, UK, 2005. [Google Scholar]
- Takao, M.; Kuma, H.; Maeda, T.; Kamada, Y.; Oki, M.; Minoda, A. A straight-bladed vertical axis wind turbine with a directed guide vane row-Effect of guide vane geometry on the performance-. J. Therm. Sci. 2009, 18, 54–57. [Google Scholar] [CrossRef]
- Douak, M.; Aouachria, Z.; Rabehi, R.; Allam, N. Wind energy systems: Analysis of the self-starting physics of vertical axis wind turbine. Renew. Sustain. Energy Rev. 2018, 81, 1602–1610. [Google Scholar] [CrossRef]
- Ebert, P.; Wood, D. Observations of the starting behaviour of a small horizontal-axis wind turbine. Renew. Energy 1997, 12, 245–257. [Google Scholar] [CrossRef]
- Celik, Y.; Ma, L.; Ingham, D.; Pourkashanian, M. Aerodynamic investigation of the start-up process of H-type vertical axis wind turbines using CFD. J. Wind. Eng. Ind. Aerodyn. 2020, 204, 104252. [Google Scholar] [CrossRef]
- Dominy, R.; Lunt, P.; Bickerdyke, A.; Dominy, J. Self-starting capability of a Darrieus turbine. Proc. Inst. Mech. Eng. Part A J. Power Energy 2007, 221, 111–120. [Google Scholar] [CrossRef]
- Bianchini, A.; Ferrari, L.; Magnani, S. Start-up behavior of a three-bladed H-Darrieus VAWT: Experimental and numerical analysis. Turbo Expo Power Land Sea Air 2011, 54617, 811–820. [Google Scholar]
- Bianchini, A.; Carnevale, E.A.; Ferrari, L. A model to account for the Virtual Camber Effect in the Performance Prediction of an H-Darrieus VAWT Using the Momentum Models. Wind. Eng. 2011, 35, 465–482. [Google Scholar] [CrossRef]
- Worasinchai, S.; Ingram, G.L.; Dominy, R.G. The physics of H-Darrieus turbine starting behavior. J. Eng. Gas Turbines Power 2016, 138, 062605. [Google Scholar] [CrossRef]
- Batista, N.; Melício, R.; Mendes, V.; Calderón, M.; Ramiro, A. On a self-start Darrieus wind turbine: Blade design and field tests. Renew. Sustain. Energy Rev. 2015, 52, 508–522. [Google Scholar] [CrossRef]
- Singh, M.; Biswas, A.; Misra, R. Investigation of self-starting and high rotor solidity on the performance of a three S1210 blade H-type Darrieus rotor. Renew. Energy 2015, 76, 381–387. [Google Scholar] [CrossRef]
- Sengupta, A.; Biswas, A.; Gupta, R. Studies of some high solidity symmetrical and unsymmetrical blade H-Darrieus rotors with respect to starting characteristics, dynamic performances and flow physics in low wind streams. Renew. Energy 2016, 93, 536–547. [Google Scholar] [CrossRef]
- Du, L.; Ingram, G.; Dominy, R.G. Experimental study of the effects of turbine solidity, blade profile, pitch angle, surface roughness, and aspect ratio on the H-Darrieus wind turbine self-starting and overall performance. Energy Sci. Eng. 2019, 7, 2421–2436. [Google Scholar] [CrossRef]
- Sun, X.; Zhu, J.; Hanif, A.; Li, Z.; Sun, G. Effects of blade shape and its corresponding moment of inertia on self-starting and power extraction performance of the novel bowl-shaped floating straight-bladed vertical axis wind turbine. Sustain. Energy Technol. Assess. 2020, 38, 100648. [Google Scholar] [CrossRef]
- Sun, X.; Zhu, J.; Li, Z.; Sun, G. Rotation improvement of vertical axis wind turbine by offsetting pitching angles and changing blade numbers. Energy 2021, 215, 119177. [Google Scholar] [CrossRef]
- Mohamed, O.S.; Elbaz, A.M.; Bianchini, A. A better insight on physics involved in the self-starting of a straight-blade Darrieus wind turbine by means of two-dimensional Computational Fluid Dynamics. J. Wind. Eng. Ind. Aerodyn. 2021, 218, 104793. [Google Scholar] [CrossRef]
- Didane, D.H.; Rosly, N.; Zulkafli, M.F.; Shamsudin, S.S. Performance evaluation of a novel vertical axis wind turbine with coaxial contra-rotating concept. Renew. Energy 2018, 115, 353–361. [Google Scholar] [CrossRef]
- Didane, D.H.; Rosly, N.; Zulkafli, M.F.; Shamsudin, S.S. Numerical investigation of a novel contra-rotating vertical axis wind turbine. Sustain. Energy Technol. Assess. 2019, 31, 43–53. [Google Scholar] [CrossRef]
- ZSB-AB. Doppelter Darrieus-rotor. DE202011002702U, May 2011. [Google Scholar]
- Torabi Asr, M.; Osloob, R.; Mustapha, F. Double-Stage H-Darrieus Wind Turbine-Rotor Aerodynamics. In Applied Mechanics and Materials; Trans Tech Publications Ltd.: Wollerau, Switzerland, 2016; Volume 829, pp. 21–26. [Google Scholar]
- Scungio, M.; Arpino, F.; Focanti, V.; Profili, M.; Rotondi, M. Wind tunnel testing of scaled models of a newly developed Darrieus-style vertical axis wind turbine with auxiliary straight blades. Energy Convers. Manag. 2016, 130, 60–70. [Google Scholar] [CrossRef]
- Arpino, F.; Cortellessa, G.; Dell’Isola, M.; Scungio, M.; Focanti, V.; Profili, M.; Rotondi, M. CFD simulations of power coefficients for an innovative Darrieus style vertical axis wind turbine with auxiliary straight blades. J. Phys. Conf. Ser. 2017, 923, 012036. [Google Scholar] [CrossRef]
- Arpino, F.; Scungio, M.; Cortellessa, G. Numerical performance assessment of an innovative Darrieus-style vertical axis wind turbine with auxiliary straight blades. Energy Convers. Manag. 2018, 171, 769–777. [Google Scholar] [CrossRef]
- Arpino, F.; Cortellessa, G.; Massarotti, N.; Mauro, A.; Scungio, M. Numerical performance assessment of a novel Darrieus-style VAWT with auxiliary straight blades. J. Phys. Conf. Ser. 2020, 1589, 012020. [Google Scholar] [CrossRef]
- Su, H.; Dou, B.; Qu, T.; Zeng, P.; Lei, L. Experimental investigation of a novel vertical axis wind turbine with pitching and self-starting function. Energy Convers. Manag. 2020, 217, 113012. [Google Scholar] [CrossRef]
- Malael, I.; Dragan, V. Numerical and Experimental Efficiency Evaluation of a Counter-Rotating Vertical Axis Wind Turbine. Eng. Technol. Appl. Sci. Res. 2018, 8, 3282–3286. [Google Scholar] [CrossRef]
- Tahani, M.; Razavi, M.; Mirhosseini, M.; Razi Astaraei, F. Unsteady aerodynamic performance of Dual-Row H-Darrieus vertical axis wind turbine. Energy Equip. Syst. 2020, 8, 55–80. [Google Scholar]
- Chen, J.; Liu, P.; Xu, H.; Chen, L.; Yang, M.; Yang, L. A detailed investigation of a novel vertical axis Darrieus wind rotor with two sets of blades. J. Renew. Sustain. Energy 2017, 9, 013307. [Google Scholar] [CrossRef]
- Hashem, I.; Zhu, B. Metamodeling-based parametric optimization of a bio-inspired Savonius-type hydrokinetic turbine. Renew. Energy 2021, 180, 560–576. [Google Scholar] [CrossRef]
- Islam, M.R.; Mekhilef, S.; Saidur, R. Progress and recent trends of wind energy technology. Renew. Sustain. Energy Rev. 2013, 21, 456–468. [Google Scholar] [CrossRef]
- Manual. ANSYS FLUENT 2020R2. In Theory Guide; ANSYS, Inc.: Canonsburg, PA, USA, 2020.
- Mohamed, M.H. Aero-acoustics noise evaluation of H-rotor Darrieus wind turbines. Energy 2014, 65, 596–604. [Google Scholar] [CrossRef]
- Siddiqui, M.S.; Durrani, N.; Akhtar, I. Quantification of the effects of geometric approximations on the performance of a vertical axis wind turbine. Renew. Energy 2015, 74, 661–670. [Google Scholar] [CrossRef]
- Ghasemian, M.; Nejat, A. Aero-acoustics prediction of a vertical axis wind turbine using Large Eddy Simulation and acoustic analogy. Energy 2015, 88, 711–717. [Google Scholar] [CrossRef]
- Mohamed, M.H. Reduction of the generated aero-acoustic noise of a vertical axis wind turbine using CFD (Computational Fluid Dynamics) techniques. Energy 2016, 96, 531–544. [Google Scholar] [CrossRef]
- The, J.; Yu, H. A critical review on the simulations of wind turbine aerodynamics focusin on hybrid RANS-LES methods. Energy 2017, 138, 257–289. [Google Scholar] [CrossRef]
- Balduzzi, F.; Bianchini, A.; Maleci, R.; Ferrara, G.; Ferrari, L. Critical issues in the CFD simulation of Darrieus wind turbines. Renew. Energy 2016, 85, 419–435. [Google Scholar] [CrossRef]
- Rezaeiha, A.; Montazeri, H.; Blocken, B. On the accuracy of turbulence models for CFD simulations of vertical axis wind turbines. Energy 2019, 180, 838–857. [Google Scholar] [CrossRef]
- Rezaeiha, A.; Kalkman, I.; Blocken, B. CFD simulation of a vertical axis wind turbine operating at a moderate tip speed ratio: Guidelines for minimum domain size and azimuthal increment. Energy 2017, 107, 373–385. [Google Scholar] [CrossRef]
- Balduzzi, F.; Bianchini, A.; Ferrara, G.; Ferrari, L. Dimensionless numbers for the assessment of mesh and timestep requirements in CFD simulations of Darrieus wind turbines. Energy 2016, 97, 246–261. [Google Scholar] [CrossRef]
- Rainbird, J. The Aerodynamic Development of a Vertical Axis Wind Turbine. Master’s Thesis, University of Durham, Durham, UK, 2007. [Google Scholar]
- Asr, M.T.; Nezhad, E.Z.; Mustapha, F.; Wiriadidjaja, S. Study on start-up characteristics of H-Darrieus vertical axis wind turbines comprising NACA 4-digit series blade airfoils. Energy 2016, 112, 528–537. [Google Scholar] [CrossRef]
- Liu, Z.; Qu, H.; Shi, H. Numerical study on self-starting performance of Darrieus vertical axis turbine for tidal stream energy conversion. Energies 2016, 9, 789. [Google Scholar] [CrossRef]
- Worasinchai, S.; Ingram, G.; Dominy, R. A low-Reynolds-number, high-angle-of-attack investigation of wind turbine aerofoils. Proc. Inst. Mech. Eng. Part A J. Power Energy 2011, 225, 748–763. [Google Scholar] [CrossRef]
- Timmer, W. Two-dimensional low-Reynolds number wind tunnel results for airfoil NACA 0018. Wind Eng. 2008, 32, 525–537. [Google Scholar] [CrossRef]
- Posa, A.; Balaras, E. Large Eddy Simulation of an isolated vertical axis wind turbine. J. Wind. Eng. Ind. Aerodyn. 2018, 172, 139–151. [Google Scholar] [CrossRef]
- Nobari, M.; Ghazanfarian, J. A numerical investigation of fluid flow over a rotating cylinder with cross flow oscillation. Comput. Fluids 2009, 38, 2026–2036. [Google Scholar] [CrossRef]
- Mehmood, A.; Abdelkefi, A.; Hajj, M.R.; Akhtar, I. On the onset of bifurcation and nonlinear characterization of vortex-induced vibrations under varying initial conditions. Nonlinear Dyn. 2020, 99, 575–592. [Google Scholar] [CrossRef]











| Parameters | Value |
|---|---|
| Cross section of blades | NACA0018 |
| No. of blades in single-stage turbines | 3 |
| No. of blades in dual-stage turbines | 6 |
| Free-stream velocity () | 4–10 m/s |
| Chord length of blades in primary rotors () | 0.06 m |
| Radius of the primary (outer) rotor () | 0.5 m |
| Ratios of radii for primary and secondary (inner) rotors | |
| Geometric ratios for blades in primary and secondary rotors | |
| Angle between the blades of primary and secondary rotors () | – |
| Reference area (A) | 1 |
| Details of Grid | G1 Coarse | G2 Medium | G3 Fine |
|---|---|---|---|
| Mesh Nodes on Each Blade | 400 | 400 | 400 |
| Maximum Size in Zone 2 | 0.02 | 0.015 | 0.01 |
| Maximum Size in Zone 3 | 0.002 | 0.00135 | 0.001 |
| Total Number of Cells | 271,223 | 510,530 | 1,199,418 |
Publisher’s Note: MDPI stays neutral with regard to jurisdictional claims in published maps and institutional affiliations. |
© 2022 by the authors. Licensee MDPI, Basel, Switzerland. This article is an open access article distributed under the terms and conditions of the Creative Commons Attribution (CC BY) license (https://creativecommons.org/licenses/by/4.0/).
Share and Cite
Khalid, M.S.U.; Wood, D.; Hemmati, A. Self-Starting Characteristics and Flow-Induced Rotation of Single- and Dual-Stage Vertical-Axis Wind Turbines. Energies 2022, 15, 9365. https://doi.org/10.3390/en15249365
Khalid MSU, Wood D, Hemmati A. Self-Starting Characteristics and Flow-Induced Rotation of Single- and Dual-Stage Vertical-Axis Wind Turbines. Energies. 2022; 15(24):9365. https://doi.org/10.3390/en15249365
Chicago/Turabian StyleKhalid, Muhammad Saif Ullah, David Wood, and Arman Hemmati. 2022. "Self-Starting Characteristics and Flow-Induced Rotation of Single- and Dual-Stage Vertical-Axis Wind Turbines" Energies 15, no. 24: 9365. https://doi.org/10.3390/en15249365
APA StyleKhalid, M. S. U., Wood, D., & Hemmati, A. (2022). Self-Starting Characteristics and Flow-Induced Rotation of Single- and Dual-Stage Vertical-Axis Wind Turbines. Energies, 15(24), 9365. https://doi.org/10.3390/en15249365

