Sign in to use this feature.

Years

Between: -

Subjects

remove_circle_outline
remove_circle_outline
remove_circle_outline
remove_circle_outline
remove_circle_outline

Journals

Article Types

Countries / Regions

Search Results (9)

Search Parameters:
Keywords = wheat germ; nutritional value

Order results
Result details
Results per page
Select all
Export citation of selected articles as:
21 pages, 4400 KB  
Article
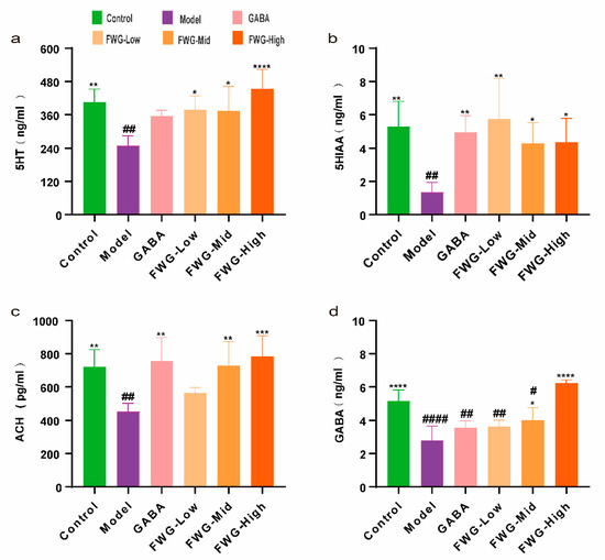
Fermented Wheat Germ Alleviates Depression-like Behavior in Rats with Chronic and Unpredictable Mild Stress
by Zheyuan Hu, Penghui Zhao, Aimei Liao, Long Pan, Jie Zhang, Yuqi Dong, Jihong Huang, Weiwei He and Xingqi Ou
Foods 2023, 12(5), 920; https://doi.org/10.3390/foods12050920 - 22 Feb 2023
Cited by 13 | Viewed by 4075
Abstract
Depression is a chronic mental illness with devastating effects on a person’s physical and mental health. Studies have reported that food fermentation with probiotics can enrich the nutritional values of food and produce functional microorganisms that can alleviate depression and anxiety. Wheat germ [...] Read more.
Depression is a chronic mental illness with devastating effects on a person’s physical and mental health. Studies have reported that food fermentation with probiotics can enrich the nutritional values of food and produce functional microorganisms that can alleviate depression and anxiety. Wheat germ is an inexpensive raw material that is rich in bioactive ingredients. For example, gamma-aminobutyric acid (GABA) is reported to have antidepressant effects. Several studies concluded that Lactobacillus plantarum is a GABA-producing bacteria and can alleviate depression. Herein, fermented wheat germs (FWGs) were used to treat stress-induced depression. FWG was prepared by fermenting wheat germs with Lactobacillus plantarum. The chronic unpredictable mild stress (CUMS) model was established in rats, and these rats were treated with FWG for four weeks to evaluate the effects of FWG in relieving depression. In addition, the study also analyzed the potential anti-depressive mechanism of FWG based on behavioral changes, physiological and biochemical index changes, and intestinal flora changes in depressed rats. The results demonstrated that FWG improved depression-like behaviors and increased neurotransmitter levels in the hippocampus of CUMS model rats. In addition, FWG effectively altered the gut microbiota structure and remodeled the gut microbiota in CUMS rats, restored neurotransmitter levels in depressed rats through the brain–gut axis, and restored amino acid metabolic functions. In conclusion, we suggest that FWG has antidepressant effects, and its potential mechanism may act by restoring the disordered brain–gut axis. Full article
(This article belongs to the Section Nutraceuticals, Functional Foods, and Novel Foods)
Show Figures

Graphical abstract

14 pages, 291 KB  
Article
The Energy and Nutritional Value of Meat of Broiler Chickens Fed with Various Addition of Wheat Germ Expeller
by Zuzanna Goluch, Maja Słupczyńska, Andrzej Okruszek, Gabriela Haraf, Monika Wereńska and Janina Wołoszyn
Animals 2023, 13(3), 499; https://doi.org/10.3390/ani13030499 - 31 Jan 2023
Cited by 14 | Viewed by 3557
Abstract
The study concerns the effect of wheat germ expeller (WGE) as a feed additive given to male Ross-308 broiler chickens on their meat’s energy and nutritional value, and coverage of nutrient reference values-requirements (NRV-R) of consumers for particular minerals. The chickens in the [...] Read more.
The study concerns the effect of wheat germ expeller (WGE) as a feed additive given to male Ross-308 broiler chickens on their meat’s energy and nutritional value, and coverage of nutrient reference values-requirements (NRV-R) of consumers for particular minerals. The chickens in the control group (CT—Control Treatment) were fed a standard complete mix. The experimental groups (EX5, EX10, EX15) were given a feed in which wheat middling was replaced with 5, 10, and 15% WGE. The breast and thigh muscles of 32 randomly selected chickens (8 in each group) were analyzed. More water, crude protein, P, Mg, Fe, Cu, and Mn were determined in the breast muscles, and more crude fat, crude ash, Ca, and Zn in the thigh muscles. Chickens from the CT group consumed significantly (p ≤ 0.01) less feed per body weight than those from groups EX5 to EX15, but achieved the highest body weight per 100 g of consumed feed. A higher (p ≤ 0.01) feed, energy, crude protein, and crude fat intake was observed in groups EX5 to EX15 compared to CT. The higher (p ≤ 0.01) value of protein efficiency ratios was indicated in the CT group. The WGE additive did not impact the muscles’ energy values but affected the nutritional value. The daily consumption of 100 g of breast muscles to a large extent covers the consumer NRV-R for P, Mg Fe, Cu, and Mn. However, thigh muscles cover the NRV-R to a greater extent for Ca and Zn. The EX15, EX5, and EX10 muscles covered most of the NRV-R for P, Ca, and Mg, while the CT muscles did the same for Zn and Mn. Adding 5% WGE to broiler feed is optimal as it does not impair the nutritional value of the muscles. Full article
(This article belongs to the Special Issue Role of Trace Element in Animal Health and Metabolic)
6 pages, 229 KB  
Proceeding Paper
Prospects for the Use of the By-Products of Oil and Wine Production in Bakery and Confectionery Technologies
by Olga Samokhvalova, Svitlana Oliinyk and Natalia Grevtseva
Biol. Life Sci. Forum 2021, 6(1), 91; https://doi.org/10.3390/Foods2021-11027 - 29 Jun 2022
Viewed by 1502
Abstract
An influence of 1020% of wheat germ meal (WGM) and 15% of rosehip meal (RM) on the quality indicators and the nutritional value of rye–wheat bread was investigated. It was found that an addition of WGM in the entire range of dosages reduces [...] Read more.
An influence of 1020% of wheat germ meal (WGM) and 15% of rosehip meal (RM) on the quality indicators and the nutritional value of rye–wheat bread was investigated. It was found that an addition of WGM in the entire range of dosages reduces the specific volume of the bread, and an addition of RM, on the contrary, increases this indicator. It is recommended to use 10% WGM with 5% RM to ensure the high quality and maximize the nutritional value of rye–wheat bread. An impact of 1525% of grape seed powder (GSP) on the quality indicators and nutritional value of butter biscuits was studied. It is recommended to add 20% GSP to obtain butter biscuits with improved quality and a high content of biologically active compounds. Full article
11 pages, 1462 KB  
Article
Roasted Wheat Germ: A Natural Plant Product in Development of Nutritious Milk Pudding; Physicochemical and Nutritional Properties
by Mahsa Majzoobi, Fatemeh Ghiasi, Mohammad Hadi Eskandari and Asgar Farahnaky
Foods 2022, 11(12), 1815; https://doi.org/10.3390/foods11121815 - 20 Jun 2022
Cited by 12 | Viewed by 4174
Abstract
Wheat germ has been recognized as an economical source of high-quality plant proteins and bioactive compounds for food fortification. Thus, it can be used for valorization of food products as a feasible strategy to enhance the nutritional quality and reduce wheat milling waste. [...] Read more.
Wheat germ has been recognized as an economical source of high-quality plant proteins and bioactive compounds for food fortification. Thus, it can be used for valorization of food products as a feasible strategy to enhance the nutritional quality and reduce wheat milling waste. In this research roasted wheat germ (RG) was added in formulation of egg-free milk pudding to enhance its nutritional value and the effects of RG particle size (125, 210 and 354 μm) and quantity (0.0, 2.5, 5.0, 7.5 and 10%) on the quality, nutritional and sensory properties of the resulting pudding were investigated. Reducing the particle size of RG significantly altered its chemical composition but had no significant effect on its antioxidant activity. Increasing the level of RG in the pudding, reduced pH and syneresis while increased dry matter content, hardness, cohesiveness and gumminess of the product. The quantity of RG had more effects on physicochemical properties of the puddings than changing the particle size. Based on the sensory evaluation results, the most acceptable sample was obtained by addition of 7.5% RG with a particle size of 125 μm. Full article
(This article belongs to the Special Issue Agro-Food Waste as Source of Nutraceuticals)
Show Figures

Figure 1

16 pages, 1545 KB  
Article
Nutritional Quality and Oxidative Stability during Thermal Processing of Cold-Pressed Oil Blends with 5:1 Ratio of ω6/ω3 Fatty Acids
by Dominik Kmiecik, Monika Fedko, Aleksander Siger and Przemysław Łukasz Kowalczewski
Foods 2022, 11(8), 1081; https://doi.org/10.3390/foods11081081 - 8 Apr 2022
Cited by 28 | Viewed by 4676
Abstract
The growing awareness of consumers means that new products are sought after, which, apart from meeting the basic demand for macronutrients and energy, will have a positive impact on our health. This article is a report on the characteristics of the new oil [...] Read more.
The growing awareness of consumers means that new products are sought after, which, apart from meeting the basic demand for macronutrients and energy, will have a positive impact on our health. This article is a report on the characteristics of the new oil blends with a nutritious ω6/ω3 fatty acid ratio (5:1), as well as the heat treatment effect on the nutritional value and stability of the oils. Prepared oil blends were heated at 170 and 200 °C. The fatty acid composition and the changes in tocochromanols content during heating were analyzed, as well as the formation process of polar compounds and triacylglycerol polymers. During heating the highest loss of tocochromanols was characteristic of α-tocopherol and α-tocotrienol. The total content of tocopherols after heating was reduced to 1–6% of the original content in the unheated oil blends. The exception was the blend of oil with wheat germ oil, in which a high content of all tocopherols was observed in unheated and heated samples. The content of the polar fraction during heating increased on average 1.9 and 3.1 times in the samples heated at 170 and 200 °C, respectively, compared to the unheated oils. The level of the polar fraction was related to the high content of tocopherols or the presence of tocopherols and tocotrienols in the heated sample. The polymerization of triacylglycerols led mainly to the formation of triacylglycerol dimers. Trimers were observed in a small number of heated samples, especially those heated at 200 °C. Regardless of the changes in heated oils, none of the prepared blends exceeded the limit of the polar fraction content, maintaining the programmed ratio of ω6 to ω3 acids. The principal component analysis (PCA) used to define the clusters showed a large variety of unheated and heated samples. An outlier in all clusters was a blend of oil with wheat germ oil. In these samples, the degradation of tocopherols molecules and the increase of triacylglycerol polymers and the polar fraction content were the slowest. Full article
Show Figures

Figure 1

19 pages, 1313 KB  
Article
Effects of Rocket Seed Oil, Wheat Germ Oil, and Their Mixture on Growth Performance, Feed Utilization, Digestibility, Redox Status, and Meat Fatty Acid Profile of Growing Rabbits
by Sabrin Abdelrahman Morshedy, Ahmed M. Abdelmodather, Mohamed M. Basyony, Soliman A. Zahran and Mohamed A. Hassan
Agriculture 2021, 11(7), 662; https://doi.org/10.3390/agriculture11070662 - 14 Jul 2021
Cited by 14 | Viewed by 4871
Abstract
Vegetable oils are a source of natural antioxidants, including tocopherols, sterols, phenolic compounds, coenzymes, and polyunsaturated fatty acids that provide nutritional value, organoleptic properties, and significantly delay or prevent lipid oxidation. Eighty-four V-line rabbits at 5 weeks of age with an initial body [...] Read more.
Vegetable oils are a source of natural antioxidants, including tocopherols, sterols, phenolic compounds, coenzymes, and polyunsaturated fatty acids that provide nutritional value, organoleptic properties, and significantly delay or prevent lipid oxidation. Eighty-four V-line rabbits at 5 weeks of age with an initial body weight (BW) of 535.60 ± 13.48 g were assigned randomly to four experimental groups (seven replicates in each group with three rabbits each). The first group served as a control and received 0.3 mL/kg BW of distilled water (CON), while the second and third groups received 0.3 mL/kg BW of rocket seed oil (RSO) and wheat germ oil (WGO), respectively. The fourth group received a mixture of oils consisting of 0.15 mL of RSO and 0.15 mL of WGO/kg BW (MOs). The experiment lasted 7 weeks. The study investigated the effects of RSO, WGO, and their mixture on growth performance, feed utilization, antioxidant status, and immune response of growing rabbits. The results indicated that the rabbits that were administered orally with RSO and WGO or their mixture had higher (p ≤ 0.05) final BW, weight gain, and average daily gain when compared to the control group. In addition, the feed conversion ratio improved significantly with RSO, WGO, and MOs treatments. Different oil treatments improved nutrient digestibility, nutritive value, and nitrogen balance. Moreover, the rabbits that received RSO, WGO, and their mixture had an improvement the meat fatty acid composition compared to the control rabbits. Oral administration of RSO, WGO, and their mixture significantly improved serum protein fractions, decreased blood urea nitrogen, and had a positive effect on serum total lipids, HDL-c, and LDL-c. Furthermore, the treatments of RSO, WGO, and MOs had a significant improvement in the antioxidative status and immune response. Full article
(This article belongs to the Special Issue Safety and Efficacy of Feed Additives in Animal Production)
Show Figures

Figure 1

14 pages, 312 KB  
Article
Valorization of Cereal By-Products from the Milling Industry as a Source of Nutrients and Bioactive Compounds to Boost Resource-Use Efficiency
by Rossana V. C. Cardoso, Ângela Fernandes, José Pinela, Maria Inês Dias, Carla Pereira, Tânia C. S. P. Pires, Márcio Carocho, Esteban Fernández Vasallo, Isabel C. F. R. Ferreira and Lillian Barros
Agronomy 2021, 11(5), 972; https://doi.org/10.3390/agronomy11050972 - 13 May 2021
Cited by 9 | Viewed by 4549
Abstract
Cereal by-products (wheat germ, maize bran–germ mixture, rye bran, and wheat bran) from the flour milling industry were characterized for their nutritional value and chemical composition, as well as for antioxidant and antibacterial activities. Carbohydrates (including sucrose) were the major nutritional constituents (56.35–78.12 [...] Read more.
Cereal by-products (wheat germ, maize bran–germ mixture, rye bran, and wheat bran) from the flour milling industry were characterized for their nutritional value and chemical composition, as well as for antioxidant and antibacterial activities. Carbohydrates (including sucrose) were the major nutritional constituents (56.35–78.12 g/100 g dw), followed by proteins (11.2–30.0 g/100 g dw). The higher energy value (432.3 kcal/100 g dw) was presented by the wheat germ. This by-product also presented the highest citric acid content (0.857 g/100 g dw), the most abundant organic acid detected. Unsaturated fatty acids predominated in all samples given the high content of linoleic (53.9–57.1%) and oleic (13.4–29.0%) acids. Wheat germ had the highest levels of tocopherols (22.8 mg/100 g dw) and phenolic compounds (5.7 mg/g extract, with a high apigenin-C-pentoside-C-hexoside content). In turn, while the wheat bran extract was particularly effective in inhibiting the formation of thiobarbituric acid reactive substances (TBARS), the rye bran extract was the only sample capable of protecting erythrocytes from oxidative hemolysis. Regarding antibacterial properties, in general, the lowest minimum inhibitory concentrations were observed against methicillin-resistant Staphylococcus aureus. These results highlight the characterized by-products as sustainable ingredients for the development of novel bakery and functional food products and contribute to a better bioresource-use efficiency and circularity. Full article
Show Figures

Graphical abstract

14 pages, 2194 KB  
Article
Nutritional and Functional Properties of Fermented Mixed Grains by Solid-State Fermentation with Bacillus amyloliquefaciens 245
by Su Jin Heo, Ah-Jin Kim, Min-Ju Park, Kimoon Kang and Do Yu Soung
Foods 2020, 9(11), 1693; https://doi.org/10.3390/foods9111693 - 19 Nov 2020
Cited by 24 | Viewed by 4019
Abstract
Fermented foods have several advantages, including increased nutritional value, improved bioavailability, and functional health properties. We examined that these outcomes were also observed in fermented mixed grains (FMG) containing wheat germ, wheat bran, oats, brown rice, barley, quinoa, and lentils following solid-state fermentation [...] Read more.
Fermented foods have several advantages, including increased nutritional value, improved bioavailability, and functional health properties. We examined that these outcomes were also observed in fermented mixed grains (FMG) containing wheat germ, wheat bran, oats, brown rice, barley, quinoa, and lentils following solid-state fermentation (SSF) by Bacillus amyloliquefaciens 245. The metabolic profile during fermentation was screened using capillary electrophoresis time-of-flight mass spectrometry (CE-TOF-MS). The amino acids were quantitatively measured for the validation of the changes in metabolites. The activity of enzymes (e.g., amylase, protease, and fibrinolysis) and antioxidant capacity was also assessed to elucidate the functionality of FMG. The essential amino acid contents gradually increased as fermentation progressed. As the metabolites involved in the urea cycle and polyamine pathway were changed by fermentation, arginine was used as a substance to produce citrulline, ornithine, and agmatine. FMG showed dramatic increases in enzyme activity. FMG incubated for 36 h also displayed higher total phenolic contents and free radical scavenging ability than MG. The data suggest that FMG produced by Bacillus amyloliquefaciens 245 possess improved nutritional and functional quality, leading to their potential use as dietary supplements. Full article
(This article belongs to the Section Grain)
Show Figures

Figure 1

15 pages, 312 KB  
Review
Drying Applications during Value-Added Sustainable Processing for Selected Mass-Produced Food Coproducts
by Huaiwen Yang, Tulakorn Sombatngamwilai, Wen-Yao Yu and Meng-I Kuo
Processes 2020, 8(3), 307; https://doi.org/10.3390/pr8030307 - 6 Mar 2020
Cited by 14 | Viewed by 6317
Abstract
Developing circular value chains for continuing the use of and reducing the waste of the resources of industrial processing would eliminate impairments to the environment. The generation of nutrient-dense byproducts and coproducts with high-moisture contents are considered to be an issue for global [...] Read more.
Developing circular value chains for continuing the use of and reducing the waste of the resources of industrial processing would eliminate impairments to the environment. The generation of nutrient-dense byproducts and coproducts with high-moisture contents are considered to be an issue for global food industries. These byproducts and coproducts spontaneously undergo chemical, biochemical, or microbial deteriorations due to high storage-temperatures, and consequently are turned into direct animal feed sources or even just treated as waste with eutrophication activity. This review provides an overview of selected mass-produced botanical food byproducts and coproducts (BFBC) including soybean okara, wheat germ, banana, and spent coffee grounds, with respect to value-added sustainable processing via proper drying technologies being employed. This review includes the current production of the above-mentioned agricultural products, the nutritional aspects of them, and the sustainable utilization of their coproducts. Additionally, the possible drying kinetics for value-added prospects are discussed. Full article
(This article belongs to the Special Issue Drying Kinetics and Quality Control in Food Processing)
Back to TopTop