Sign in to use this feature.

Years

Between: -

Subjects

remove_circle_outline
remove_circle_outline
remove_circle_outline
remove_circle_outline
remove_circle_outline
remove_circle_outline
remove_circle_outline
remove_circle_outline

Journals

Article Types

Countries / Regions

Search Results (28)

Search Parameters:
Keywords = wakame

Order results
Result details
Results per page
Select all
Export citation of selected articles as:
18 pages, 1088 KB  
Article
Nondual Awareness, Body Boundary Perception, and Creative Attitudes in Japanese University Students Through a Brief Paired Martial Arts Exercise: A Randomized Controlled Trial
by Arisa Yokosu, Takahiko Maruyama and Hiromitsu Miyata
Behav. Sci. 2025, 15(12), 1638; https://doi.org/10.3390/bs15121638 - 28 Nov 2025
Viewed by 615
Abstract
Mind–body practices such as meditation, yoga, and martial arts have been suggested to enhance flexible self-experience and psychological well-being. However, few studies have examined short-term effects of contemplative bodywork rooted in traditional martial arts on perception of self–other boundaries and relevant psychological states. [...] Read more.
Mind–body practices such as meditation, yoga, and martial arts have been suggested to enhance flexible self-experience and psychological well-being. However, few studies have examined short-term effects of contemplative bodywork rooted in traditional martial arts on perception of self–other boundaries and relevant psychological states. The present study employed a three-arm randomized controlled design to examine psychological effects of the Wakame Exercise, a paired body–mind practice derived from a school of martial arts in Japan. Seventy undergraduates were randomly assigned to a 45 min session of wakame exercise (N = 25; 20 females, 5 males; M age = 19.4, SD = 0.64), a control practice, Push-Hand Sumo (N = 25; 15 females, 10 males; M age = 19.5, SD = 1.20), or rest (N = 20; 17 females, 3 males; M age = 19.4, SD = 1.09). Outcomes included nondual awareness, perceived body boundaries, creative attitudes, decentering, and positive/negative affect. The wakame exercise group showed significant increase in nondual awareness (p < 0.001, Cohen’s d = −1.74) and decrease in the salience of perceived body boundaries (p < 0.001, Cohen’s d = 1.25) following practice, which were more apparent than controls. Within the wakame exercise group, nondual awareness was significantly positively correlated with creative attitudes, and higher creative attitudes were associated with greater decentering following practice. These findings suggest that brief paired practices rooted in Eastern martial arts can promote nondual awareness and temporary boundary dissolution, potentially enhancing creativity (Approved by the Ethics Review Committee on Research with Human Subjects of Waseda University, No. 2022–397). Full article
Show Figures

Figure 1

17 pages, 997 KB  
Article
Evaluation of Porcine Gastric Mucin-Based Method for Extraction of Noroviruses from Seaweed Salad
by Philippe Raymond, Sylvianne Paul, Roxanne Blain and Neda Nasheri
Viruses 2025, 17(9), 1245; https://doi.org/10.3390/v17091245 - 16 Sep 2025
Viewed by 794
Abstract
Human noroviruses (HuNov) are the major cause of foodborne illness globally. Several HuNoV outbreaks have been linked to contaminated ready-to-eat seaweed products. Standard protocols such as the ISO 15216 show limited efficiency in extracting foodborne viruses from seaweed products. Therefore, we evaluated the [...] Read more.
Human noroviruses (HuNov) are the major cause of foodborne illness globally. Several HuNoV outbreaks have been linked to contaminated ready-to-eat seaweed products. Standard protocols such as the ISO 15216 show limited efficiency in extracting foodborne viruses from seaweed products. Therefore, we evaluated the efficiency of an extraction protocol based on porcine gastric mucin conjugated magnetic beads (PGM-MBs) to recover HuNoVs from Wakame seaweed salad. Compared to other HuNoV extraction methods, the PGM-MB method was more efficient. We then aimed to further improve this protocol by modifying several factors such as the buffers, pH, bead concentration, centrifugation and incubation time. The optimized PGM-MB method yielded 19 ± 3% and 17 ± 4% recovery, for HuNoV GI and GII, respectively. The limit of detection (LOD95) for Wakame seaweed salad was 131 and 56 genomic equivalents per 25 g for HuNoV GI and GII. Although some variability in recovery efficiency was observed between the PGM sources, the optimized PGM-MB protocol effectively extracts HuNoVs from Wakame seaweed salads of various brands and other commodities such as dates, green onions, and salted seaweed. These results support the implementation of the optimized PGM-MB method as a viable alternative for HuNoV surveillance in complex food matrices. Full article
(This article belongs to the Section General Virology)
Show Figures

Figure 1

17 pages, 5170 KB  
Article
Dual-Action Grouper Bone and Wakame Hydrolysates Supplement Enhances Exercise Performance and Modulates Gut Microbiota in Mice
by Huey-Jine Chai, Tsung-Kai Yi, Yi-Feng Kao, Te-Hua Liu, Tsung-Yu Tsai and Yi-Ming Chen
Nutrients 2025, 17(18), 2933; https://doi.org/10.3390/nu17182933 - 11 Sep 2025
Viewed by 856
Abstract
Background: Sustainable, dual-action ergogenic strategies are underexplored; most products target a single pathway and rarely upcycle seafood sidestreams. We therefore tested an upcycled formulation combining grouper bone hydrolysate and Undaria pinnatifida extract (GU) for ergogenic and microbiota effects in mice. We tested [...] Read more.
Background: Sustainable, dual-action ergogenic strategies are underexplored; most products target a single pathway and rarely upcycle seafood sidestreams. We therefore tested an upcycled formulation combining grouper bone hydrolysate and Undaria pinnatifida extract (GU) for ergogenic and microbiota effects in mice. We tested the ergogenic and microbiota modulating effects of GU in mice versus a vehicle and a BCAA control. Methods: GU was prepared via enzymatic hydrolysis of marine by-products and administered to male ICR mice for 4 weeks. Mice were divided into five groups (n = 7/group), receiving a vehicle control, a branched-chain amino acid (BCAA) supplement, or GU at three dose levels (1X, 2X, 3X) based on human-equivalent conversion. Exercise performance was assessed via grip strength and treadmill tests. Biochemical markers of fatigue, body composition, and safety indicators were also analyzed. Gut microbiota was evaluated using 16S rRNA sequencing and constrained principal coordinates analysis (CPCoA). Results: Four weeks of GU supplementation significantly enhanced exercise performance [(treadmill time ↑ Δ = 10.2–11.7 min versus vehicle (q ≤ 0.0002), grip strength ↑ Δ = 40.4–48.5 g (q ≤ 0.05)] and lean body mass [FFM ↑ at GU-1X (Δ = +0.80%, q = 0.0123)], surpassing the commercial BCAA control. Biochemical analyses indicated reduced exercise-induced lactate accumulation [(post-exercise lactate ↓ Δ = −2.71/−2.18 mmol·L−1, q = 0.0006)]. Gut microbiota profiling revealed distinct shifts in community composition in GU-treated groups, notably with an increased abundance of beneficial taxa such as Lactobacillus and Muribaculum. These alterations reflect the prebiotic activity of seaweed-derived polysaccharides, promoting a healthier gut microbial profile. Notably, GU improved metabolic markers (aspartate aminotransferase, [AST]; lactate dehydrogenase, [LDH]) without inducing toxicity. Conclusions: These findings indicate that GU functions as a dual-action supplement, coupling amino acid-mediated muscle anabolism with microbiome modulation to enhance physical performance and metabolic health. As an upcycled marine product, it presents a sustainable and effective strategy for exercise support. Future studies should include 90-day safety, mechanistic assays, and a preregistered human pilot. Full article
(This article belongs to the Topic News and Updates on Probiotics)
Show Figures

Figure 1

15 pages, 852 KB  
Article
Do Seaweeds Contribute to Nutritional Composition and Acceptance in Traditional Portuguese Recipes?
by Maria Lassalete Mendes, António Pires, Amparo Gonçalves, Carla Pires, Helena Maria Lourenço, Ariana Saraiva, Renata Puppin Zandonadi, Fernando Ramos and António Raposo
Foods 2025, 14(11), 1947; https://doi.org/10.3390/foods14111947 - 29 May 2025
Viewed by 1401
Abstract
Consumers’ growing concern about sustainability and health affects their food choices as long as there is acceptance in terms of sensory aspects. The challenge of finding new sustainable food sources with a smaller ecological footprint makes seaweed a candidate for human consumption, considering [...] Read more.
Consumers’ growing concern about sustainability and health affects their food choices as long as there is acceptance in terms of sensory aspects. The challenge of finding new sustainable food sources with a smaller ecological footprint makes seaweed a candidate for human consumption, considering that they are poorly exploited marine food resources in European countries. Therefore, this study aimed to evaluate the effect of the inclusion of different seaweeds (wakame and sea spaghetti) in three traditional Portuguese recipes, namely octopus salad (SP and SPW), monkfish rice with prawns (AT and ATW) and stewed cuttlefish with white beans and clams (FC and FCE), regarding their acceptance and nutritional aspects. Sensory and physicochemical analyses were carried out using reference methods. The results showed that the modified recipes with seaweeds (SPW, ATW, and FCE) were well accepted by a nontrained sensory panel and did not change nutritional aspects in terms of macronutrient content, ash, and sodium. However, the inclusion of wakame contributed to an increase in the potassium content in octopus salad (SPW) and monkfish rice (ATW). In short, sensory results highlighted the potential for seaweed inclusion in Portuguese traditional recipes without compromising its identity. Future work should evaluate the partial substitution of fish/mollusks with seaweed in traditional recipes to improve the sustainability and nutritional contribution of these recipes. Full article
(This article belongs to the Section Food Security and Sustainability)
Show Figures

Figure 1

12 pages, 1266 KB  
Article
Influence of Algal Incorporation on Sensory and Physicochemical Attributes of Caseless Sausage—Ćevap (CSC)
by Caba Siladji, Vesna Djordjevic, Branka Borovic, Volker Heinz, Nino Terjung, Nenad Katanic and Igor Tomasevic
Foods 2024, 13(24), 4037; https://doi.org/10.3390/foods13244037 - 13 Dec 2024
Cited by 1 | Viewed by 1617
Abstract
This study explores the influence of algal incorporation on the sensory and physicochemical attributes of caseless sausage—ćevap (CSC). Various algae, including Chlorella vulgaris, Himanthalia elongata (sea spaghetti), and Undaria pinnatifida (wakame), were added at different concentrations to standard CSC formulations. Proximate analysis [...] Read more.
This study explores the influence of algal incorporation on the sensory and physicochemical attributes of caseless sausage—ćevap (CSC). Various algae, including Chlorella vulgaris, Himanthalia elongata (sea spaghetti), and Undaria pinnatifida (wakame), were added at different concentrations to standard CSC formulations. Proximate analysis revealed that the addition of algae did not significantly change crude protein and fat content (p > 0.05). Furthermore, sea spaghetti and wakame resulted in lower moisture levels and decreased cooking loss, while all algae varieties raised the salt content (p < 0.05) due to their inherent sodium levels. Texture analysis demonstrated that the inclusion of sea spaghetti and Chlorella led to reductions in hardness and chewiness, while wakame resulted in a firmer texture, highlighting its substantial impact on textural attributes. Color measurements indicated that wakame significantly affected the color profile (p < 0.05), resulting in decreased lightness and increased darkness in the sausage, surpassing the effects of other algae. Sensory evaluations showed that formulations containing wakame received the lowest scores for color, smell, taste and overall acceptability—up to 1.5 points lower compared to the control samples. On the other hand, some formulations with other algae showed promising small deviations from the control. Overall, this research supports the viability of using algae as functional ingredients in meat products, emphasizing the importance of selecting the appropriate type and concentration of algae to optimize both physicochemical parameters and sensory qualities in caseless sausages. Full article
(This article belongs to the Section Sensory and Consumer Sciences)
Show Figures

Figure 1

17 pages, 333 KB  
Article
The Effect of Reducing Fat and Salt on the Quality and Shelf Life of Pork Sausages Containing Brown Seaweeds (Sea Spaghetti and Irish Wakame)
by Halimah O. Mohammed, Michael N. O’Grady, Maurice G. O’Sullivan and Joseph P. Kerry
Appl. Sci. 2024, 14(17), 7811; https://doi.org/10.3390/app14177811 - 3 Sep 2024
Cited by 4 | Viewed by 2730
Abstract
Edible brown seaweeds, sea spaghetti (SS) and Irish wakame (IW), were incorporated at 2.5% into the formulation of reduced-fat (fat reduced from 25% to 20%, 15%, and 10%) and -salt (sodium chloride—NaCl) (salt reduced from 2% to 1.5%, 1%, and 0.5%) pork sausages. [...] Read more.
Edible brown seaweeds, sea spaghetti (SS) and Irish wakame (IW), were incorporated at 2.5% into the formulation of reduced-fat (fat reduced from 25% to 20%, 15%, and 10%) and -salt (sodium chloride—NaCl) (salt reduced from 2% to 1.5%, 1%, and 0.5%) pork sausages. The physicochemical and sensory characteristics of the reformulated sausages were analysed. Subsequently, shelf-life evaluation (lipid oxidation and microbiological analyses) was performed on selected sausages stored under aerobic (AP), MAP70/30 (70% N2:30% CO2), MAP80/20 (80% O2:20% CO2), and vacuum (VP) conditions. Relative to the control, seaweed sausages containing 10% fat had higher (p < 0.05) protein and 1.5% salt seaweed sausages had higher (p < 0.05) ash content. The addition of seaweed did not affect the pH of reduced-fat and -salt sausages, and cook loss increased in reduced-fat sausages. Reduced-fat and -salt seaweed sausages were darker in colour than the experimental controls. Based on sensory results, the most accepted sausages using SS and IW were 10% fat, 0.5% salt (SS10f/0.5s), and 15% fat, 1% salt (IW15f/1s), respectively. With regard to the shelf life of selected seaweed sausages, MAP70/30 (70% N2, 30% CO2) and VP (vacuum packaging) were the most effective approaches for the lipid oxidation and TVC (total viable counts), respectively. Full article
17 pages, 932 KB  
Article
Infesting Seaweeds as a Novel Functional Food: Analysis of Nutrients, Antioxidants and ACE Inhibitory Effects
by Annalaura Brai, Anjeza Hasanaj, Chiara Vagaggini, Federica Poggialini and Elena Dreassi
Int. J. Mol. Sci. 2024, 25(14), 7588; https://doi.org/10.3390/ijms25147588 - 10 Jul 2024
Cited by 5 | Viewed by 1981
Abstract
Globalization and climate change are both contributing to an increase in the number of potentially invasive algae in coastal areas. In terms of biodiversity and financial losses, the invasiveness of algae has become a significant issue in Orbetello Lagoon. Indeed, studies from the [...] Read more.
Globalization and climate change are both contributing to an increase in the number of potentially invasive algae in coastal areas. In terms of biodiversity and financial losses, the invasiveness of algae has become a significant issue in Orbetello Lagoon. Indeed, studies from the Tuscany Regional Agency for Environmental Protection show that the reduction in dissolved oxygen caused by algal diffusion is detrimental to fisheries and biodiversity. Considering that wakame and numerous other potentially invasive seaweeds are consumed as food in Asia, we assess the nutritional and nutraceutical qualities of two potentially invasive seaweeds: Valonia aegagrophila and Chaetomorpha linum. We found that both algae are a valuable source of proteins and essential amino acids. Even if the fat content accounts for less than 2% of the dried weight, its quality is high, due to the presence of unsaturated fatty acids. Both algae are rich in antioxidants pigments and polyphenols, which can be exploited as nutraceuticals. Most importantly, human gastrointestinal digestion increased the quantity of polyphenols and originated secondary metabolites with ACE inhibitory activity. Taken together, our data strongly promote the use of Valonia aegagrophila and Chaetomorpha linum as functional foods, with possible application in the treatment of hypertension and cardiovascular diseases. Full article
Show Figures

Figure 1

18 pages, 1327 KB  
Article
Development of a New Binary Matrix for the Comprehensive Analysis of Lipids and Pigments in Micro- and Macroalgae Using MALDI-ToF/ToF Mass Spectrometry
by Mariachiara Bianco, Giovanni Ventura, Davide Coniglio, Antonio Monopoli, Ilario Losito, Tommaso R. I. Cataldi and Cosima D. Calvano
Int. J. Mol. Sci. 2024, 25(11), 5919; https://doi.org/10.3390/ijms25115919 - 29 May 2024
Cited by 4 | Viewed by 2095
Abstract
While edible algae might seem low in fat, the lipids they contain are crucial for good health and preventing chronic diseases. This study introduces a binary matrix to analyze all the polar lipids in both macroalgae (Wakame—Undaria pinnatifida, Dulse—Palmaria palmata [...] Read more.
While edible algae might seem low in fat, the lipids they contain are crucial for good health and preventing chronic diseases. This study introduces a binary matrix to analyze all the polar lipids in both macroalgae (Wakame—Undaria pinnatifida, Dulse—Palmaria palmata, and Nori—Porphyra spp.) and microalgae (Spirulina—Arthrospira platensis, and Chlorella—Chlorella vulgaris) using matrix-assisted laser desorption ionization mass spectrometry (MALDI-MS). The key lies in a new dual matrix made by combining equimolar amounts of 1,5-diaminonaphthalene (DAN) and 9-aminoacridine (9AA). This combination solves the limitations of single matrices: 9AA is suitable for sulfur-containing lipids and acidic phospholipids, while DAN excels as an electron-transfer secondary reaction matrix for intact chlorophylls and their derivatives. By employing the equimolar binary matrix, a wider range of algal lipids, including free fatty acids, phospholipids, glycolipids, pigments, and even rare arsenosugarphospholipids were successfully detected, overcoming drawbacks related to ion suppression from readily ionizable lipids. The resulting mass spectra exhibited a good signal-to-noise ratio at a lower laser fluence and minimized background noise. This improvement stems from the binary matrix’s ability to mitigate in-source decay effects, a phenomenon often encountered for certain matrices. Consequently, the data obtained are more reliable, facilitating a faster and more comprehensive exploration of algal lipidomes using high-throughput MALDI-MS/MS analysis. Full article
(This article belongs to the Special Issue 25th Anniversary of IJMS: Advances in Biochemistry)
Show Figures

Figure 1

17 pages, 671 KB  
Review
Micro- and Macroalgae in Meat Products
by Caba Siladji, Vesna Djordjevic, Jelena Babic Milijasevic, Volker Heinz, Nino Terjung, Weizheng Sun and Igor Tomasevic
Foods 2024, 13(6), 826; https://doi.org/10.3390/foods13060826 - 7 Mar 2024
Cited by 14 | Viewed by 3647
Abstract
Technology in the meat industry is advancing to create healthier and more sustainable food. Incorporating micro- and macroalgae into meat products presents an exciting possibility for the meat sector to develop functional food, given that they serve as excellent natural sources of nutrients [...] Read more.
Technology in the meat industry is advancing to create healthier and more sustainable food. Incorporating micro- and macroalgae into meat products presents an exciting possibility for the meat sector to develop functional food, given that they serve as excellent natural sources of nutrients and bioactive compounds. This review aims to systematically outline the impact of incorporating whole algae and their extracts into various meat products, examining their effects on quality, physicochemical and functional properties, sensory characteristics, and potential for enhancing shelf life. Adding algae to meat products generally increased pH values, with variations influenced by concentration, type, initial pH, and storage time. The protein content was mainly unaffected, except for Nori and Chlorella. Algae contributed to lower moisture and higher ash content due to dietary fiber. While including algae improved water-holding capacity and decreased cooking loss, it often led to increased hardness and chewiness. Algae and their extracts influenced color attributes, with variations based on the algae type. Sensory properties were distinctively affected, generally reducing overall acceptability, although Sea tangle at concentrations of 1–3% showed acceptable scores. Chlorella and Sea tangle positively impacted microbiology during refrigerated storage, while algae and their extracts demonstrated strong antioxidant activity. Full article
(This article belongs to the Special Issue Strategies to Improve the Functional Value of Meat and Meat Products)
Show Figures

Figure 1

16 pages, 1999 KB  
Article
Immunobiotic Ligilactobacillus salivarius FFIG58 Confers Long-Term Protection against Streptococcus pneumoniae
by Mariano Elean, Fernanda Raya Tonetti, Kohtaro Fukuyama, Luciano Arellano-Arriagada, Fu Namai, Yoshihito Suda, Nadia Gobbato, Keita Nishiyama, Julio Villena and Haruki Kitazawa
Int. J. Mol. Sci. 2023, 24(21), 15773; https://doi.org/10.3390/ijms242115773 - 30 Oct 2023
Cited by 9 | Viewed by 2750
Abstract
Previously, we isolated potentially probiotic Ligilactobacillus salivarius strains from the intestines of wakame-fed pigs. The strains were characterized based on their ability to modulate the innate immune responses triggered by the activation of Toll-like receptor (TLR)-3 or TLR4 signaling pathways in intestinal mucosa. [...] Read more.
Previously, we isolated potentially probiotic Ligilactobacillus salivarius strains from the intestines of wakame-fed pigs. The strains were characterized based on their ability to modulate the innate immune responses triggered by the activation of Toll-like receptor (TLR)-3 or TLR4 signaling pathways in intestinal mucosa. In this work, we aimed to evaluate whether nasally administered L. salivarius strains are capable of modulating the innate immune response in the respiratory tract and conferring long-term protection against the respiratory pathogen Streptococcus pneumoniae. Infant mice (3-weeks-old) were nasally primed with L. salivarius strains and then stimulated with the TLR3 agonist poly(I:C). Five or thirty days after the last poly(I:C) administration mice were infected with pneumococci. Among the strains evaluated, L. salivarius FFIG58 had a remarkable ability to enhance the protection against the secondary pneumococcal infection by modulating the respiratory immune response. L. salivarius FFIG58 improved the ability of alveolar macrophages to produce interleukin (IL)-6, interferon (IFN)-γ, IFN-β, tumor necrosis factor (TNF)-α, IL-27, chemokine C-C motif ligand 2 (CCL2), chemokine C-X-C motif ligand 2 (CXCL2), and CXCL10 in response to pneumococcal challenge. Furthermore, results showed that the nasal priming of infant mice with the FFIG58 strain protected the animals against secondary infection until 30 days after stimulation with poly(I:C), raising the possibility of using nasally administered immunobiotics to stimulate trained immunity in the respiratory tract. Full article
(This article belongs to the Special Issue Molecular Research in Prebiotics, Probiotics and Postbiotics)
Show Figures

Figure 1

18 pages, 7939 KB  
Article
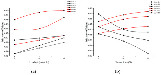
Research on the Biomechanical Characteristics of Salted Wakame (Undaria pinnatifida)
by Hanbing Zhang, Weirong Huang, Huanyu Kang, Shuqiao Wu and Xiuchen Li
Processes 2023, 11(2), 552; https://doi.org/10.3390/pr11020552 - 10 Feb 2023
Cited by 2 | Viewed by 2009
Abstract
At present, there has been no mechanized equipment designed for the separation of the leaves from the stems of wakame in China, and the stem–leaf separation is mainly completed by manual work, which suffers from problems such as low efficiency, high cost, and [...] Read more.
At present, there has been no mechanized equipment designed for the separation of the leaves from the stems of wakame in China, and the stem–leaf separation is mainly completed by manual work, which suffers from problems such as low efficiency, high cost, and poor quality. To develop mechanized stem–leaf separation equipment of wakame, it is necessary to have a preliminary understanding of the biomechanical characteristics of wakame. In this study, we adopted an electronic universal testing machine, a texture tester, and a friction tester to investigate the mechanical characteristics of the stems and leaves of salted wakame. Analysis was performed to clarify the effects of salted wakame thickness and loading speed on the tension, compression, shear, and separation mechanical properties as well as the effects of the loading speed, normal force, and contact material on the friction characteristics. As shown in the results, the average tensile strength, shear strength, and resilience of salted wakame stems were 2.27 MPa, 6.34 MPa and 0.27, respectively; the average tensile strength and shear strength of salted wakame leaves were 1.67 MPa and 2.93 MPa; the separation strength of the stems and leaves was 1.78 MPa, and the friction coefficient between salted wakame and stainless steel, silicone rubber, and vulcanized rubber was 0.38, 0.44 and 0.40 on average. In general, the increase in the loading rate, the shear strength, and the stem–leaf separation strength of salted wakame showed a downward trend, while the changes in the friction coefficient showed an upward trend, with no significant influence on the recovery and tensile strength. The tensile strength, resilience, shear strength, stem–leaf separation force, and strength increased as the thickness of the salted wakame improved. The friction coefficient of the salted wakame stems decreased with increasing the normal force, while the friction coefficient of the salted wakame leaves increased. In general, the increase in wakame thickness improved its mechanical properties, and the increase in the test loading rate led to the decrease in the mechanical properties of salted wakame. The research results in this paper can provide suggestions for the research and development of stem–leave separation equipment for saline salted wakame. Full article
Show Figures

Figure 1

14 pages, 3033 KB  
Article
Extraction and Quantitation of Phytosterols from Edible Brown Seaweeds: Optimization, Validation, and Application
by Zhen Chen, Nianqiu Shen, Xunzhi Wu, Jiaping Jia, Yue Wu, Hitoshi Chiba and Shuping Hui
Foods 2023, 12(2), 244; https://doi.org/10.3390/foods12020244 - 5 Jan 2023
Cited by 14 | Viewed by 4616
Abstract
Brown seaweeds are known as important marine food sources, from which phytosterols have been recognized as functional food components with multiple health-beneficial effects. However, studies on phytosterol extraction and quantitation from edible brown seaweeds are limited. In the present work, extraction methods for [...] Read more.
Brown seaweeds are known as important marine food sources, from which phytosterols have been recognized as functional food components with multiple health-beneficial effects. However, studies on phytosterol extraction and quantitation from edible brown seaweeds are limited. In the present work, extraction methods for seaweed phytosterols were compared and optimized by one-factor-at-one-time method and response surface methodology. Moreover, the quantitation method of total sterols and major sterol components, including fucosterol, saringosterol, and ostreasterol, was established and validated using 1H NMR. Furthermore, the developed extraction and determination methods were applied to investigate three common edible seaweeds from Japan (Hijiki, Wakame, and Kombu). As a result, the finally optimized conditions were ultrasound-assisted extraction with CHCl3-MeOH 2:3 for 15 min followed by saponification with 1.65 mL of 1.85 M KOH for 14.5 h. Based on the developed methods, phytosterols in three seaweeds were compared, and Hijiki showed an abundant total sterol amount (2.601 ± 0.171 mg/g DW), significantly higher than Wakame (1.845 ± 0.137 mg/g DW) and Kombu (1.171 ± 0.243 mg/g DW). Notably, the composition of the sterol components varied in different seaweeds. These findings might help the nutritional investigation and functional food development concerning phytosterols from seaweeds. Full article
(This article belongs to the Special Issue Phytochemicals from Algae: Isolation, Analysis and Food Applications)
Show Figures

Figure 1

12 pages, 1411 KB  
Article
Influence of Seaweeds on the Quality of Pasta as a Plant-Based Innovative Food
by Andrea Ainsa, Adrián Honrado, Pedro Marquina, José A. Beltrán and Juan Calanche
Foods 2022, 11(16), 2525; https://doi.org/10.3390/foods11162525 - 21 Aug 2022
Cited by 19 | Viewed by 5277
Abstract
This study evaluated the effect of the incorporation of seaweed on the physicochemical and technological quality of pasta. For this purpose, enriched wheat pastas from different seaweeds (sea lettuce—Ulva lactuca, nori—Porphyra tenera, and wakame—Undaria pinnatifida) were made [...] Read more.
This study evaluated the effect of the incorporation of seaweed on the physicochemical and technological quality of pasta. For this purpose, enriched wheat pastas from different seaweeds (sea lettuce—Ulva lactuca, nori—Porphyra tenera, and wakame—Undaria pinnatifida) were made and compared with durum wheat pasta as a control treatment. Firstly, optimal cooking times were established by visual and instrumental methods. Then, the technological properties of weight gain (WG), swelling index (SI), cooking losses (CL), and moisture (H%) were determined. Protein and fiber analyses, texture profile analysis (TPA), and color measurements were also performed to evaluate the physicochemical properties. Overall, enriched pasta with seaweed revealed slightly shorter optimal cooking times than control pasta. Texture properties were also modified, with a lower value of hardness, and higher values of adhesiveness and resilience. However, due to the low percentages of seaweed (3%), noticeable effects were not appreciated. Moreover, color variations of enriched pasta were relevant due to the difference among seaweeds. Nonetheless, these additions increased the protein content and soluble fiber in these foods. In conclusion, pasta enriched with marine ingredients improved this nutritional profile, and the changes in technological properties did not have a major impact on the product quality. Full article
Show Figures

Figure 1

18 pages, 2627 KB  
Review
Mushrooms as a Resource for Mibyou-Care Functional Food; The Role of Basidiomycetes-X (Shirayukidake) and Its Major Components
by Seiichi Matsugo, Toshio Sakamoto, Koji Wakame, Yutaka Nakamura, Kenichi Watanabe and Tetsuya Konishi
Nutraceuticals 2022, 2(3), 132-149; https://doi.org/10.3390/nutraceuticals2030010 - 27 Jun 2022
Cited by 6 | Viewed by 4853
Abstract
Mibyou has been defined in traditional oriental medicine as a certain physiological condition whereby an individual is not ill but not healthy; it is also often referred to as a sub-healthy condition. In a society focused on longevity, “Mibyou-care” becomes of primary importance [...] Read more.
Mibyou has been defined in traditional oriental medicine as a certain physiological condition whereby an individual is not ill but not healthy; it is also often referred to as a sub-healthy condition. In a society focused on longevity, “Mibyou-care” becomes of primary importance for healthy lifespan expenditure. Functional foods can play crucial roles in Mibyou-care; thus, the search for novel resources of functional food is an important and attractive research field. Mushrooms are the target of such studies because of their wide variety of biological functions, such as immune modulation and anti-obesity and anticancer activities, in addition to their nutritional importance. Basidiomycetes-X (BDM-X; Shirayukidake in Japanese) is a mushroom which has several attractive beneficial health functions. A metabolome analysis revealed more than 470 components of both nutritional and functional interest in BDM-X. Further isolation and purification studies on its components using radical scavenging activity and UV absorbance identified ergosterol, (10E,12Z)-octadeca-10,12-dienoic acid (CLA), 2,3-dihydro-3,5-dihydroxy-6-methyl-4H-pyran-4-one (DDMP), formyl pyrrole analogues (FPA), including 4-[2-foemyl-5-(hydroxymethyl)-1H-pyrrole-1-yl] butanamide (FPAII), adenosine and uridine as major components. Biological activities attributed to these components were related to the observed biological functions of BDM-X, which suggest that this novel mushroom is a useful resource for Mibyou-care functional foods and medicines. Full article
(This article belongs to the Special Issue Functional Foods as a New Therapeutic Strategy)
Show Figures

Figure 1

19 pages, 5492 KB  
Article
Determination of Antioxidant, Antimicrobial Activity, Heavy Metals and Elements Content of Seaweed Extracts
by Natália Čmiková, Lucia Galovičová, Michal Miškeje, Petra Borotová, Maciej Kluz and Miroslava Kačániová
Plants 2022, 11(11), 1493; https://doi.org/10.3390/plants11111493 - 1 Jun 2022
Cited by 34 | Viewed by 6002
Abstract
The aim of the research was to determine the antioxidant and antimicrobial activity, determination of chemical elements and heavy metals in seaweed extracts of wakame, arame, dulse, laminaria, kombu, and hijiki. Antioxidant activity was determined by DPPH method and the activity ranged from [...] Read more.
The aim of the research was to determine the antioxidant and antimicrobial activity, determination of chemical elements and heavy metals in seaweed extracts of wakame, arame, dulse, laminaria, kombu, and hijiki. Antioxidant activity was determined by DPPH method and the activity ranged from 0.00 to 2641.34 TEAC. The highest antioxidant activity was observed in kombu (2641.34 TEAC) and arame (2457.5 TEAC). Antimicrobial activity was analyzed by disk diffusion method and MIC method. Three G+ bacteria (Staphylococcus aureus, Enterococcus faecalis, Bacillus subtilis), three G- bacteria (Salmonella enterica, Pseudomonas aeruginosa, Yersinia enterocolitica), and four yeasts (Candida tropicalis, C. krusei, C. glabrata, C. albicans) were used as model organisms. The size of inhibition zones ranged from 0.00 to 8.67 mm. The minimum inhibitory concentrations of the selected seaweeds ranged from MIC50 98.46 (MIC90 100.25) to MIC50 3.43 µL/mL (MIC90 5.26 µL/mL). The content of selected elements was determined in seaweed samples by ICP-OES. The chemical composition of the algae showed differences between species and the presence of heavy metals. Arsenic, cadmium, and aluminum were confirmed. All seaweed samples contained arsenic ranging from 6.6546 to 76.48 mg/kg. Further investigation of seaweeds is needed to identify the active substances present in the algae that are responsible for antioxidant and antimicrobial activity. This study was carried out to evaluate the antimicrobial and antioxidant activity of extracts from five commonly consumed seaweeds for their ability to inhibit selected microorganisms and to determine the health risk due to heavy metals content. Our study contributes to the evidence that seaweeds have antimicrobial and antioxidant activity and seaweed extracts have for pharmacological applications. Full article
Show Figures

Figure 1

Back to TopTop