Sign in to use this feature.

Years

Between: -

Subjects

remove_circle_outline
remove_circle_outline
remove_circle_outline
remove_circle_outline
remove_circle_outline
remove_circle_outline
remove_circle_outline

Journals

Article Types

Countries / Regions

Search Results (23)

Search Parameters:
Keywords = vibronic theory

Order results
Result details
Results per page
Select all
Export citation of selected articles as:
19 pages, 2475 KB  
Article
Study of Vibronic and Cationic Features of m-Diethoxybenzene via REMPI, Hole-Burning, and MATI Spectroscopy
by Xiateng Qin, Chunyang Duan, Yan Zhao, Changyong Li and Suotang Jia
Int. J. Mol. Sci. 2025, 26(24), 11818; https://doi.org/10.3390/ijms262411818 - 7 Dec 2025
Viewed by 277
Abstract
Phenetole derivatives are widely used in various fields, and the presence of the ethoxy group, with its longer alkyl chain, suggests the possibility of multiple rotamers. In particular, diethoxybenzene derivatives, containing two ethoxy groups, exhibit an even greater number of rotameric forms. In [...] Read more.
Phenetole derivatives are widely used in various fields, and the presence of the ethoxy group, with its longer alkyl chain, suggests the possibility of multiple rotamers. In particular, diethoxybenzene derivatives, containing two ethoxy groups, exhibit an even greater number of rotameric forms. In this study, we report the first investigation of the stable structures, vibronic spectra, and cationic spectra of different rotamers of m-diethoxybenzene (MDEB). Resonance-enhanced multiphoton ionization (REMPI) spectra of the rotamers were identified via hole-burning (HB) experiments, while mass-analyzed threshold ionization (MATI) spectra provided precise adiabatic ionization energies (IEs) of the observed rotamers, as well as the active vibrations of their corresponding cations. Density functional theory (DFT) calculations predicted thirteen rotamers of MDEB, but only two rotamers were observed in the supersonic molecular beam. The band origins of the S1 ← S0 transition and the adiabatic IEs of the down–up and down–down rotamers of MDEB were determined to be 36,091 ± 2 cm−1 and 36,165 ± 2 cm−1 and 62,419 ± 5 cm−1 and 63,378 ± 5 cm−1, respectively. Franck–Condon spectral simulations for the S1 ← S0 and D0 ← S1 transitions were performed based on DFT calculations, and the theoretical results showed good agreement with the experimental data. Vibrational features observed in the S1 and D0 states were assigned by comparing the experimentally measured spectra with the simulated spectra as well as the previously reported vibrational spectra of structurally similar molecules. Finally, several key findings and molecular characteristics are discussed in detail. Full article
(This article belongs to the Special Issue Advanced Spectroscopy Research: New Findings and Perspectives)
Show Figures

Figure 1

10 pages, 343 KB  
Article
Quantum Smell: Tunneling Mechanisms in Olfaction
by Dominik Szczȩśniak, Ewa A. Drzazga-Szczȩśniak, Adam Z. Kaczmarek and Sabre Kais
Molecules 2025, 30(24), 4663; https://doi.org/10.3390/molecules30244663 - 5 Dec 2025
Viewed by 613
Abstract
The mechanism by which odorants are recognized by olfactory receptors remains primarily unresolved. While charge transport is believed to play a significant role, its precise nature is still unclear. Here, we present a novel perspective by exploring the interplay between the intrinsic energy [...] Read more.
The mechanism by which odorants are recognized by olfactory receptors remains primarily unresolved. While charge transport is believed to play a significant role, its precise nature is still unclear. Here, we present a novel perspective by exploring the interplay between the intrinsic energy scales of odorant molecules and the gap states that facilitate intermolecular charge transport. We find that odorants act as weak tunneling conductors mainly because of the limited magnitude of electronic coupling between frontier molecular levels. This behavior is further connected to electron–phonon interaction and reorganization energy, suggesting that physically meaningful values for the latter parameter emerge only in the deep off-resonant tunneling regime. These findings complement the swipe card model of olfaction, in which an odorant needs both the right shape to bind to a receptor and the correct vibrational frequency to trigger signal transduction. Moreover, they reveal that the underlying mechanisms are much more complex than previously assumed. Full article
Show Figures

Figure 1

17 pages, 1725 KB  
Article
Ring Opening upon Valence Shell Excitation in β-Butyrolactone: Experimental and Theoretical Methods
by Pedro A. S. Randi, Márcio H. F. Bettega, Nykola C. Jones, Søren V. Hoffmann, Małgorzata A. Śmiałek and Paulo Limão-Vieira
Molecules 2025, 30(15), 3137; https://doi.org/10.3390/molecules30153137 - 26 Jul 2025
Cited by 1 | Viewed by 709
Abstract
The valence-shell electronic state spectroscopy of β-butyrolactone (CH3CHCH2CO2) is comprehensively investigated by employing experimental and theoretical methods. We report a novel vacuum ultraviolet (VUV) absorption spectrum in the photon wavelength range from 115 to 320 nm (3.9–10.8 [...] Read more.
The valence-shell electronic state spectroscopy of β-butyrolactone (CH3CHCH2CO2) is comprehensively investigated by employing experimental and theoretical methods. We report a novel vacuum ultraviolet (VUV) absorption spectrum in the photon wavelength range from 115 to 320 nm (3.9–10.8 eV), together with ab initio quantum chemical calculations at the time-dependent density functional (TD-DFT) level of theory. The dominant electronic excitations are assigned to mixed valence-Rydberg and Rydberg transitions. The fine structure in the CH3CHCH2CO2 photoabsorption spectrum has been assigned to C=O stretching, v7a, CH2 wagging, v14a, C–O stretching, v22a, and C=O bending, v26a modes. Photolysis lifetimes in the Earth’s atmosphere from 0 km up to 50 km altitude have been estimated, showing to be a non-relevant sink mechanism compared to reactions with the OH radical. The nuclear dynamics along the C=O and C–C–C coordinates have been investigated at the TD-DFT level of theory, where, upon electronic excitation, the potential energy curves show important carbonyl bond breaking and ring opening, respectively. Within such an intricate molecular landscape, the higher-lying excited electronic states may keep their original Rydberg character or may undergo Rydberg-to-valence conversion, with vibronic coupling as an important mechanism contributing to the spectrum. Full article
(This article belongs to the Special Issue Advances in Density Functional Theory (DFT) Calculation)
Show Figures

Figure 1

13 pages, 3937 KB  
Article
Vanillin Quantum–Classical Photodynamics and Photostatic Optical Spectra
by Vladimir Pomogaev and Olga Tchaikovskaya
ChemEngineering 2025, 9(4), 76; https://doi.org/10.3390/chemengineering9040076 - 23 Jul 2025
Viewed by 1105
Abstract
Vanillin photoinduced deprotonation was evaluated and analyzed. Vibronic states and transitions were computationally investigated. Optimizations and vertical electron transitions in the gas phase and with the continuum solvation model were computed using the time-dependent density functional theory. Static absorption and emission (photostatic optical) [...] Read more.
Vanillin photoinduced deprotonation was evaluated and analyzed. Vibronic states and transitions were computationally investigated. Optimizations and vertical electron transitions in the gas phase and with the continuum solvation model were computed using the time-dependent density functional theory. Static absorption and emission (photostatic optical) spectra were statistically averaged over the excited instantaneous molecular conformers fluctuating on quantum–classical molecular dynamic trajectories. Photostatic optical spectra were generated using the hybrid quantum–classical molecular dynamics for explicit solvent models. Conical intersection searching and nonadiabatic molecular dynamics simulations defined potential energy surface propagations, intersections, dissipations, and dissociations. The procedure included mixed-reference spin–flip excitations for both procedures and trajectory surface hopping for photodynamics. Insignificant structural deformations vs. hydroxyl bond cleavage followed by deprotonation were demonstrated starting from different initial structural conditions, which included optimized, transition state, and several other important fluctuating configurations in various environments. Vanillin electronic structure changes were illustrated and analyzed at the key points on conical intersection and nonadiabatic molecular dynamics trajectories by investigating molecular orbital symmetry and electron density difference. The hydroxyl group decomposed on transition to a σ-molecular orbital localized on the elongated O–H bond. Full article
Show Figures

Figure 1

17 pages, 3207 KB  
Article
Cyclohexane Vibronic States: A Combined VUV Spectroscopy and Theoretical Study
by Edvaldo Bandeira, Alessandra S. Barbosa, Nykola C. Jones, Søren V. Hoffmann, Márcio H. F. Bettega and Paulo Limão-Vieira
Molecules 2025, 30(7), 1493; https://doi.org/10.3390/molecules30071493 - 27 Mar 2025
Cited by 1 | Viewed by 782
Abstract
In this work, we provide results from a joint experimental and theoretical study of the vibronic features of cyclohexane (C6H12) in the photon energy range of 6.8–10.8 eV (182–115 nm). The high-resolution vacuum ultraviolet (VUV) photoabsorption measurements, together with [...] Read more.
In this work, we provide results from a joint experimental and theoretical study of the vibronic features of cyclohexane (C6H12) in the photon energy range of 6.8–10.8 eV (182–115 nm). The high-resolution vacuum ultraviolet (VUV) photoabsorption measurements, together with quantum chemical calculations at the time-dependent density functional theory (TDDFT) level, have helped to assign the major electronic excitations to mixed valence–Rydberg and Rydberg transitions. The C6H12 photoabsorption spectrum shows fine structure which has been assigned to CH2 scissoring, v3a1g, CH2 rocking, v4a1g, C–C stretching, v5a1g, and CCC bending/CC torsion, v24eg, modes. Molecular structure calculations at the DFT level for the neutral and cationic electronic ground-states have shown the relevant structural changes that are operative in the higher-lying electronic states. Photolysis lifetimes in the Earth’s atmosphere are shown to be irrelevant, while the main atmospheric sink mechanism is the reaction with the OH radical. Potential energy curves have been obtained at the TDDFT level of theory, showing the relevance of interchange character mainly involving the CH2 scissoring, v3a1g, and CH2 rocking, v4a1g, modes, while Jahn–Teller distortion yields weak vibronic coupling involving the non-totally symmetric CCC bending/CC torsion, v24eg, mode. Full article
(This article belongs to the Special Issue Exclusive Feature Papers in Physical Chemistry, 3rd Edition)
Show Figures

Graphical abstract

21 pages, 4691 KB  
Article
Chiroptical Spectroscopy, Theoretical Calculations, and Symmetry of a Chiral Transition Metal Complex with Low-Lying Electronic States
by Mutasem Alshalalfeh and Yunjie Xu
Molecules 2025, 30(4), 804; https://doi.org/10.3390/molecules30040804 - 10 Feb 2025
Cited by 3 | Viewed by 1962
Abstract
Vibrational circular dichroism (VCD) enhancement by low-lying electronic states (LLESs) is a fascinating phenomenon, but accounting for it theoretically remains a challenge despite significant research efforts over the past 20 years. In this article, we synthesized two transition metal complexes using the tetradentate [...] Read more.
Vibrational circular dichroism (VCD) enhancement by low-lying electronic states (LLESs) is a fascinating phenomenon, but accounting for it theoretically remains a challenge despite significant research efforts over the past 20 years. In this article, we synthesized two transition metal complexes using the tetradentate Schiff base ligands (R,R)- and (S,S)-N,N′-Bis(3,5-di-tert-butylsalicylidene)-1,2-cyclohexanediamine with Co(II) and Mn(III), referred to as Co(II)-salen-chxn and Mn(III)-Cl-salen-chxn, respectively. Their stereochemical properties were explored through a combined experimental chiroptical spectroscopic and theoretical approach, with a focus on Co(II)-salen-chxn. Extensive conformational searches in CDCl3 for both high- and low-spin states were carried out and the associated infrared (IR), VCD, ultraviolet-visible (UV-Vis) absorption, and electronic circular dichroism (ECD) spectra were simulated. A good agreement between experimental and simulated data was achieved for IR, VCD, UV-Vis, and ECD, except in the case of VCD of Co(II)-salen-chxn which exhibits significant intensity enhancement and monosignate VCD bands, attributed to the LLESs. Interestingly, detailed comparisons with Mn(III)-Cl-salen-chxn and previously reported Ni(II)-salen-chxn and Cu(II)-salen-chxn complexes suggest that the enhancement factor is predicted by the current density functional theory simulations. However, the monosignate signatures observed in the experimental Co(II) VCD spectrum were not captured theoretically. Based on the experiment and theoretical VCD and ECD comparison, it is tentatively suggested that Co(II)-salen-chxn exists in both low- and high-spin states, with the former being dominant, while Mn(III)-Cl-salen-chxn in the high-spin state. The study indicates that VCD enhancement by LLESs is at least partially captured by the existing theoretical simulation, while the symmetry consideration in vibronic coupling provides further insight into the mechanisms behind the VCD sign-flip. Full article
(This article belongs to the Special Issue Featured Papers in Organometallic Chemistry—2nd Edition)
Show Figures

Graphical abstract

10 pages, 2543 KB  
Article
Geometry Change of 1,3-Dicyanobenzene upon Electronic Excitation from a Franck–Condon Fit of Several Fluorescence Emission Spectra
by Jascha Martini, Simran Amar and Michael Schmitt
Spectrosc. J. 2025, 3(1), 4; https://doi.org/10.3390/spectroscj3010004 - 21 Jan 2025
Viewed by 1517
Abstract
The change in the geometry of 1,3-dicyanobenzene upon electronic excitation to the lowest excited singlet state has been elucidated by simultaneous Franck–Condon (FC) fits of the fluorescence emission spectra originating from the vibrationless origin and from four vibronic bands. The geometry changes obtained [...] Read more.
The change in the geometry of 1,3-dicyanobenzene upon electronic excitation to the lowest excited singlet state has been elucidated by simultaneous Franck–Condon (FC) fits of the fluorescence emission spectra originating from the vibrationless origin and from four vibronic bands. The geometry changes obtained from the FC fits were compared to the results of ab initio calculations at the SCS-CC2/cc-pVTZ level of theory. We found close agreement between the spectral determination and the theoretical prediction of the geometry changes upon excitation. The aromatic ring opens upon excitation, resulting in a symmetrically distorted structure in the excited state. Full article
Show Figures

Figure 1

14 pages, 4049 KB  
Article
Theoretical Study on Vibrationally Resolved Electronic Spectra of Chiral Nanographenes
by Yijian Ma, Xian Feng, Wenxiong Yu and Chengshuo Shen
Molecules 2024, 29(17), 3999; https://doi.org/10.3390/molecules29173999 - 23 Aug 2024
Cited by 1 | Viewed by 1348
Abstract
Nanographenes are of increasing importance owing to their potential applications in the photoelectronic field. Meanwhile, recent studies have primarily focused on the pure electronic spectra of nanographenes, which have been found to be inadequate for describing the experimental spectra that contain vibronic progressions. [...] Read more.
Nanographenes are of increasing importance owing to their potential applications in the photoelectronic field. Meanwhile, recent studies have primarily focused on the pure electronic spectra of nanographenes, which have been found to be inadequate for describing the experimental spectra that contain vibronic progressions. In this study, we focused on the vibronic effect on the electronic transition of a range of chiral nanographenes, especially in the low-energy regions with distinct vibronic progressions, using theoretical calculations. All the calculations were performed at the PBE0-D3(BJ)/def2-TZVP level of theory, adopting both time-dependent and time-independent approaches with Franck–Condon approximation. The resulting calculated curves exhibited good alignment with the experimental data. Notably, for the nanographenes incorporating helicene units, owing to the increasing π-extension, the major vibronic modes in the vibrationally resolved spectra differed significantly from those of the primitive helicenes. This investigation suggests that calculations that account for the vibronic effect could have better reproducibility compared with calculations based solely on pure electronic transitions. We anticipate that this study could pave the way for further investigations into optical and chiroptical properties, with a deeper understanding of the vibronic effect, thereby providing theoretical explanations with higher precision on more sophisticated nanographenes. Full article
Show Figures

Figure 1

15 pages, 3417 KB  
Article
Optical Lines in Europium and Terbium-Activated Yttrium Tantalate Phosphor: Combined Experimental and Group-Theoretical Analysis
by Michael Nazarov and Boris Tsukerblat
Optics 2023, 4(3), 510-524; https://doi.org/10.3390/opt4030037 - 7 Sep 2023
Cited by 1 | Viewed by 1955
Abstract
The rare-earth ions in crystals such as terbium (YTaO4:Tb3+) and europium (YTaO4:Eu3+)-activated yttrium tantalate phosphors have a number of attractive features that predetermine their crucial role in practical application in contemporary optoelectronic devices. In this [...] Read more.
The rare-earth ions in crystals such as terbium (YTaO4:Tb3+) and europium (YTaO4:Eu3+)-activated yttrium tantalate phosphors have a number of attractive features that predetermine their crucial role in practical application in contemporary optoelectronic devices. In this article, we employ the group-theoretical arguments aimed to reveal the group-theoretical classification of the crystal field levels and selection rules for the allowed optical transition between the crystal field components of Tb3+ and Eu3+ of the low symmetry crystal field in the activated yttrium tantalate phosphors. We also establish possible polarization rules for the lines corresponding to the allowed transitions. We deduce the symmetry-assisted results for the selection rules in the optical transitions accompanied by the absorption/emission of the vibrational quanta. The selection rules for the vibronic satellites of the zero-phonon lines are expected to be useful for the identification of the lines in the spectra of rare-earth ions with a weak vibronic coupling. The results of the low-temperature measurements of photoluminescence under the 325 nm excitation are in compliance with the group-theoretical analysis. The aim of the paper is to establish symmetry-assisted results that are the background of the quantitative crystal field theory based on the quantum-mechanical consideration. Full article
Show Figures

Figure 1

24 pages, 3693 KB  
Article
Non-Phenomenological Description of the Time-Resolved Emission in Solution with Quantum–Classical Vibronic Approaches—Application to Coumarin C153 in Methanol
by Javier Cerezo, Sheng Gao, Nicola Armaroli, Francesca Ingrosso, Giacomo Prampolini, Fabrizio Santoro, Barbara Ventura and Mariachiara Pastore
Molecules 2023, 28(9), 3910; https://doi.org/10.3390/molecules28093910 - 5 May 2023
Cited by 12 | Viewed by 4142
Abstract
We report a joint experimental and theoretical work on the steady-state spectroscopy and time-resolved emission of the coumarin C153 dye in methanol. The lowest energy excited state of this molecule is characterized by an intramolecular charge transfer thus leading to remarkable shifts of [...] Read more.
We report a joint experimental and theoretical work on the steady-state spectroscopy and time-resolved emission of the coumarin C153 dye in methanol. The lowest energy excited state of this molecule is characterized by an intramolecular charge transfer thus leading to remarkable shifts of the time-resolved emission spectra, dictated by the methanol reorganization dynamics. We selected this system as a prototypical test case for the first application of a novel computational protocol aimed at the prediction of transient emission spectral shapes, including both vibronic and solvent effects, without applying any phenomenological broadening. It combines a recently developed quantum–classical approach, the adiabatic molecular dynamics generalized vertical Hessian method (Ad-MD|gVH), with nonequilibrium molecular dynamics simulations. For the steady-state spectra we show that the Ad-MD|gVH approach is able to reproduce quite accurately the spectral shapes and the Stokes shift, while a ∼0.15 eV error is found on the prediction of the solvent shift going from gas phase to methanol. The spectral shape of the time-resolved emission signals is, overall, well reproduced, although the simulated spectra are slightly too broad and asymmetric at low energies with respect to experiments. As far as the spectral shift is concerned, the calculated spectra from 4 ps to 100 ps are in excellent agreement with experiments, correctly predicting the end of the solvent reorganization after about 20 ps. On the other hand, before 4 ps solvent dynamics is predicted to be too fast in the simulations and, in the sub-ps timescale, the uncertainty due to the experimental time resolution (300 fs) makes the comparison less straightforward. Finally, analysis of the reorganization of the first solvation shell surrounding the excited solute, based on atomic radial distribution functions and orientational correlations, indicates a fast solvent response (≈100 fs) characterized by the strengthening of the carbonyl–methanol hydrogen bond interactions, followed by the solvent reorientation, occurring on the ps timescale, to maximize local dipolar interactions. Full article
Show Figures

Figure 1

22 pages, 8398 KB  
Article
The Resonance Raman Spectrum of Cytosine in Water: Analysis of the Effect of Specific Solute–Solvent Interactions and Non-Adiabatic Couplings
by Qiushuang Xu, Yanli Liu, Meishan Wang, Javier Cerezo, Roberto Improta and Fabrizio Santoro
Molecules 2023, 28(5), 2286; https://doi.org/10.3390/molecules28052286 - 1 Mar 2023
Cited by 5 | Viewed by 3243
Abstract
In this contribution, we report a computational study of the vibrational Resonance Raman (vRR) spectra of cytosine in water, on the grounds of potential energy surfaces (PES) computed by time-dependent density functional theory (TD-DFT) and CAM-B3LYP and PBE0 functionals. Cytosine is interesting because [...] Read more.
In this contribution, we report a computational study of the vibrational Resonance Raman (vRR) spectra of cytosine in water, on the grounds of potential energy surfaces (PES) computed by time-dependent density functional theory (TD-DFT) and CAM-B3LYP and PBE0 functionals. Cytosine is interesting because it is characterized by several close-lying and coupled electronic states, challenging the approach commonly used to compute the vRR for systems where the excitation frequency is in quasi-resonance with a single state. We adopt two recently developed time-dependent approaches, based either on quantum dynamical numerical propagations of vibronic wavepackets on coupled PES or on analytical correlation functions for cases in which inter-state couplings were neglected. In this way, we compute the vRR spectra, considering the quasi-resonance with the eight lowest-energy excited states, disentangling the role of their inter-state couplings from the mere interference of their different contributions to the transition polarizability. We show that these effects are only moderate in the excitation energy range explored by experiments, where the spectral patterns can be rationalized from the simple analysis of displacements of the equilibrium positions along the different states. Conversely, at higher energies, interference and inter-state couplings play a major role, and the adoption of a fully non-adiabatic approach is strongly recommended. We also investigate the effect of specific solute–solvent interactions on the vRR spectra, by considering a cluster of cytosine, hydrogen-bonded by six water molecules, and embedded in a polarizable continuum. We show that their inclusion remarkably improves the agreement with the experiments, mainly altering the composition of the normal modes, in terms of internal valence coordinates. We also document cases, mostly for low-frequency modes, in which a cluster model is not sufficient, and more elaborate mixed quantum classical approaches, in explicit solvent models, need to be applied. Full article
Show Figures

Graphical abstract

6 pages, 1013 KB  
Article
The Theory of Surface-Enhanced Raman Spectroscopy on Organic Semiconductors: Graphene
by John R. Lombardi
Nanomaterials 2022, 12(16), 2737; https://doi.org/10.3390/nano12162737 - 9 Aug 2022
Cited by 9 | Viewed by 2692
Abstract
Drawing on a theoretical expression previously derived for general semiconductor substrates, we examine the surface-enhancement of the Raman signal (SERS) when the substrate is chosen to be monolayer graphene. The underlying theory involves vibronic coupling, originally proposed by Herzberg and Teller. Vibronic coupling [...] Read more.
Drawing on a theoretical expression previously derived for general semiconductor substrates, we examine the surface-enhancement of the Raman signal (SERS) when the substrate is chosen to be monolayer graphene. The underlying theory involves vibronic coupling, originally proposed by Herzberg and Teller. Vibronic coupling of the allowed molecular transitions with the charge-transfer transitions between the molecule and the substrate has been shown to be responsible for the SERS enhancement in semiconductor substrates. We then examine such an expression for the Raman enhancement in monolayer graphene, which is dependent on the square of the derivative of the density of states of the graphene. On integration, we find that the discontinuity of the density-of-states function leads to a singularity in the SERS intensity. Knowledge of the location of this resonance allows us to maximize the Raman intensity by careful alignment of the doping level of the graphene substrate with the charge-transfer transition. Full article
Show Figures

Figure 1

9 pages, 691 KB  
Review
Origin of Perovskite Multiferroicity and Magnetoelectric-Multiferroic Effects—The Role of Electronic Spin in Spontaneous Polarization of Crystals
by Isaac B. Bersuker
Magnetochemistry 2022, 8(1), 9; https://doi.org/10.3390/magnetochemistry8010009 - 11 Jan 2022
Cited by 7 | Viewed by 3267
Abstract
In this semi-review paper, we show that the multiferroic properties of perovskite ABO3 crystals with B(dn), n > 0, centers are fully controlled by the influence of the electronic spin on the local dipolar instability that triggers the spontaneous [...] Read more.
In this semi-review paper, we show that the multiferroic properties of perovskite ABO3 crystals with B(dn), n > 0, centers are fully controlled by the influence of the electronic spin on the local dipolar instability that triggers the spontaneous polarization of the crystal. Contrary to the widespread statements, the multiferroicity of these crystals does not emerge due to the addition of unpaired electrons (carrying magnetic moments) to the spontaneously polarizing crystal; the spin states themselves are an important part of the local electronic structure that determines the very possibility of the spontaneous polarization. This conclusion emerges from vibronic theory, in which the ferroelectricity is due to the cooperative interaction of the local dipolar distortions induced by the pseudo-Jahn-Teller effect (PJTE). The latter requires sufficiently strong vibronic coupling between ground and excited electronic states with opposite parity but the same spin multiplicity. The detailed electronic structure of the octahedral [B(dn)O6] center in the molecular orbital presentation shows how this requirement plays into the dependence of the possible perovskite magnetic, ferroelectric, and multiferroic properties on the number of d electrons, provided the criterion of the PJTE is obeyed. Revealed in detail, the role of the electronic spin in all these properties and their combination opens novel possibilities for their manipulation by means of external perturbations and exploration. In particular, it is shown that by employing the well-known spin-crossover phenomenon, a series of novel effects become possible, including magnetic-ferroelectric (multiferroic) crossover with electric-multiferroic, magnetic-ferroelectric, and magneto-electric effects, some of which have already been observed experimentally. Full article
(This article belongs to the Special Issue Magnetic Multiferroics)
Show Figures

Figure 1

23 pages, 3239 KB  
Article
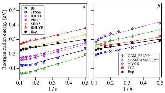
Optical Spectra of Oligofurans: A Theoretical Approach to the Transition Energies, Reorganization Energies, and the Vibronic Activity
by Karolina Filipowska, Marek T. Pawlikowski and Marcin Andrzejak
Molecules 2021, 26(23), 7163; https://doi.org/10.3390/molecules26237163 - 26 Nov 2021
Cited by 2 | Viewed by 2804
Abstract
There is experimental evidence of high vibronic activity that accompanies the allowed transition between the ground state and the lowest electronic singlet excited state of oligofurans that contain two, three, and four furan rings. The absorption and emission spectra of the three lowest [...] Read more.
There is experimental evidence of high vibronic activity that accompanies the allowed transition between the ground state and the lowest electronic singlet excited state of oligofurans that contain two, three, and four furan rings. The absorption and emission spectra of the three lowest oligofurans measured at liquid nitrogen temperature show distinct fine structures that are reproduced using the projection-based model of vibronic coupling (with Dushinsky rotation included) parameterized utilizing either Density Functional Theory (DFT, with several different exchange-correlation functionals) or ab initio (CC2) quantum chemistry calculations. Using as a reference the experimental data concerning the electronic absorption and fluorescence for the eight lowest oligofurans, we first analyzed the performance of the exchange-correlation functionals for the electronic transition energies and the reorganization energies. Subsequently, we used the best functionals alongside with the CC2 method to explore how the reorganization energies are distributed among the totally symmetric vibrations, identify the normal modes that dominate in the fine structures present in the absorption and emission bands, and trace their evolution with the increasing number of rings in the oligofuran series. Confrontation of the simulated spectra with the experiment allows for the verification of the performance of the selected DFT functionals and the CC2 method. Full article
(This article belongs to the Section Computational and Theoretical Chemistry)
Show Figures

Figure 1

23 pages, 1463 KB  
Article
Nonadiabatic Absorption Spectra and Ultrafast Dynamics of DNA and RNA Photoexcited Nucleobases
by James A. Green, Martha Yaghoubi Jouybari, Daniel Aranda, Roberto Improta and Fabrizio Santoro
Molecules 2021, 26(6), 1743; https://doi.org/10.3390/molecules26061743 - 20 Mar 2021
Cited by 34 | Viewed by 4687
Abstract
We have recently proposed a protocol for Quantum Dynamics (QD) calculations, which is based on a parameterisation of Linear Vibronic Coupling (LVC) Hamiltonians with Time Dependent (TD) Density Functional Theory (TD-DFT), and exploits the latest developments in multiconfigurational TD-Hartree methods for an effective [...] Read more.
We have recently proposed a protocol for Quantum Dynamics (QD) calculations, which is based on a parameterisation of Linear Vibronic Coupling (LVC) Hamiltonians with Time Dependent (TD) Density Functional Theory (TD-DFT), and exploits the latest developments in multiconfigurational TD-Hartree methods for an effective wave packet propagation. In this contribution we explore the potentialities of this approach to compute nonadiabatic vibronic spectra and ultrafast dynamics, by applying it to the five nucleobases present in DNA and RNA. For all of them we computed the absorption spectra and the dynamics of ultrafast internal conversion (100 fs timescale), fully coupling the first 2–3 bright states and all the close by dark states, for a total of 6–9 states, and including all the normal coordinates. We adopted two different functionals, CAM-B3LYP and PBE0, and tested the effect of the basis set. Computed spectra are in good agreement with the available experimental data, remarkably improving over pure electronic computations, but also with respect to vibronic spectra obtained neglecting inter-state couplings. Our QD simulations indicate an effective population transfer from the lowest energy bright excited states to the close-lying dark excited states for uracil, thymine and adenine. Dynamics from higher-energy states show an ultrafast depopulation toward the more stable ones. The proposed protocol is sufficiently general and automatic to promise to become useful for widespread applications. Full article
Show Figures

Figure 1

Back to TopTop