Sign in to use this feature.

Years

Between: -

Subjects

remove_circle_outline
remove_circle_outline
remove_circle_outline
remove_circle_outline
remove_circle_outline
remove_circle_outline
remove_circle_outline
remove_circle_outline
remove_circle_outline

Journals

Article Types

Countries / Regions

remove_circle_outline
remove_circle_outline
remove_circle_outline
remove_circle_outline
remove_circle_outline

Search Results (213)

Search Parameters:
Keywords = vasospasm

Order results
Result details
Results per page
Select all
Export citation of selected articles as:
7 pages, 3156 KB  
Case Report
The Great Masquerader: Vasospastic Angina Mimicking Left Main Coronary Artery Disease
by Maja Wojtylak, Katarzyna Frączek, Aleksander Zeliaś and Tomasz Tokarek
J. Clin. Med. 2026, 15(5), 1952; https://doi.org/10.3390/jcm15051952 - 4 Mar 2026
Viewed by 806
Abstract
A significant proportion of patients undergoing invasive coronary angiography for angina have no obstructive coronary artery disease (CAD). In such patients, coronary microvascular dysfunction (CMD) and vasospastic angina (VSA) represent key pathophysiological mechanisms. We report a case of a 58-year-old male with exertional [...] Read more.
A significant proportion of patients undergoing invasive coronary angiography for angina have no obstructive coronary artery disease (CAD). In such patients, coronary microvascular dysfunction (CMD) and vasospastic angina (VSA) represent key pathophysiological mechanisms. We report a case of a 58-year-old male with exertional chest pain and exercise ECG changes typical of left main or multivessel CAD. Coronary computed tomography angiography (CCTA) showed borderline stenosis of the distal left main coronary artery. Coronary angiography revealed no critical stenosis. A comprehensive functional assessment demonstrated reduced coronary flow reserve (CFR = 2.0) and an elevated index of microcirculatory resistance (IMR = 25), consistent with CMD. An intracoronary acetylcholine provocation test induced severe focal vasospasm of the mid-left anterior descending artery (LAD) with ST-segment elevation and anginal pain, promptly relieved by nitroglycerin, confirming VSA. This case highlights the diagnostic and clinical importance of invasive functional testing in patients with angina and non-obstructive coronary arteries (ANOCA/INOCA). The coexistence of CMD and VSA (two distinct but overlapping pathophysiological endotypes) is increasingly recognized as a marker of adverse prognosis. Functional coronary assessment should be considered in all patients with angina and non-obstructive coronary arteries, as identifying mixed endotypes enables precise, mechanism-guided therapy. Full article
(This article belongs to the Special Issue Interventional Cardiology: Recent Developments and Future Challenges)
Show Figures

Figure 1

13 pages, 2142 KB  
Review
Unmet Need to Verify Coronary Artery Spasm in Patients with Chronic or Acute Coronary Syndrome and Non-Obstructive Coronary Arteries
by Ming-Jui Hung and Ming-Yow Hung
Life 2026, 16(3), 412; https://doi.org/10.3390/life16030412 - 3 Mar 2026
Viewed by 199
Abstract
Coronary artery spasm (CAS) is a common endotype in patients with angina with non-obstructive coronary arteries. Pathophysiologically, the presence of CAS among arteries is not normal, as evidenced by several interacting mechanisms involving CAS development, including the endothelium, vascular smooth muscle cells, adventitia, [...] Read more.
Coronary artery spasm (CAS) is a common endotype in patients with angina with non-obstructive coronary arteries. Pathophysiologically, the presence of CAS among arteries is not normal, as evidenced by several interacting mechanisms involving CAS development, including the endothelium, vascular smooth muscle cells, adventitia, autonomic nervous system, local inflammation, and systemic inflammation. Clinically, CAS is a dynamic process with a threshold effect on presentation; it can present as silent ischemia, atypical chest pain, resting angina, chronic coronary syndrome, acute coronary syndrome, variant angina, and even sudden cardiac arrest. Incomplete intracoronary provocation testing to exclude CAS as the etiology of chronic or acute coronary syndrome leads to an incorrect diagnosis and, subsequently, inappropriate treatment. Identification of the correct endotypes of chronic and acute coronary syndromes is critical for the selection of appropriate therapy, which thus affects disease outcome. Therefore, it is essential to complete intracoronary provocation testing for both the right and left coronary arteries to reach a correct diagnosis regarding CAS, including epicardial vasospasm and microvascular spasm. If CAS is found not to be the cause of myocardial ischemia, then a microvascular functional assessment is the next step to identify the etiology of the ischemic event. A comprehensive assessment of CAS is essential before appropriate treatments can be started. Full article
Show Figures

Figure 1

16 pages, 693 KB  
Article
The Naples Prognostic Score May Predict No Reflow in Patients Undergoing Percutaneous Coronary Intervention for Saphenous Vein Graft Stenosis
by Kadri Murat Gürses, Hüseyin Tezcan, Mustafa Bilal Özbay, Adnan Karaibrahimoglu, Çağrı Yayla, Halil Özalp, Muhammed Ulvi Yalçın, Abdullah Tunçez and Yasin Özen
Diagnostics 2026, 16(5), 714; https://doi.org/10.3390/diagnostics16050714 - 27 Feb 2026
Viewed by 186
Abstract
Background/Objectives: No-reflow phenomenon (NRP) is a frequent and clinically relevant complication during percutaneous coronary intervention (PCI) of saphenous vein grafts (SVGs). The Naples Prognostic Score (NPS), a composite index reflecting systemic inflammation and nutritional status, may help identify patients at increased risk before [...] Read more.
Background/Objectives: No-reflow phenomenon (NRP) is a frequent and clinically relevant complication during percutaneous coronary intervention (PCI) of saphenous vein grafts (SVGs). The Naples Prognostic Score (NPS), a composite index reflecting systemic inflammation and nutritional status, may help identify patients at increased risk before the procedure. We investigated whether NPS predicts NRP in patients undergoing PCI/percutaneous transluminal coronary angioplasty (PTCA) for SVG stenosis. Methods: In this retrospective multicenter observational study, consecutive post-coronary artery bypass grafting patients undergoing PCI/PTCA for SVG stenosis were analyzed. NRP was defined as post-procedural thrombolysis in myocardial infarction (TIMI) flow grade <3 in the absence of dissection, residual stenosis, or vasospasm. NPS (0–4) was calculated from serum albumin, total cholesterol, neutrophil-to-lymphocyte ratio, and lymphocyte-to-monocyte ratio. Independent predictors of NRP were assessed using logistic regression, and discrimination was evaluated by receiver operating characteristic (ROC) analysis. Results: Among 252 patients, 55 (21.8%) developed NRP. NPS was significantly higher in the NRP group than in the normal-reflow group (2.61 ± 0.95 vs. 1.73 ± 0.95; p < 0.001). In multivariable analysis, NPS independently predicted NRP (per 1-point increase: odds ratio 2.577, 95% CI 1.428–5.384; p < 0.001 for univariate and 6.077, 95% CI 3.194–11.563; p < 0.001 for multivariate analysis), together with high thrombus burden (TIMI thrombus grades 4–5). NPS showed good discrimination for NRP (AUC 0.742; p < 0.001), with 75% sensitivity and 66% specificity at the optimal cut-off. Conclusions: NPS is a simple, readily available score that independently predicts angiographic no-reflow during SVG PCI and may aid preprocedural risk stratification and tailoring of preventive strategies. Full article
(This article belongs to the Section Clinical Diagnosis and Prognosis)
Show Figures

Figure 1

10 pages, 1108 KB  
Case Report
Reversible Causes of Transitory Motor Evoked Potential Decrease During Posterior Spine Fusion in Rapidly Progressive Scoliosis Treatment: A Case Report
by Vladimir Djan, Vladimir Galić, Nemanja Galetić, Rastislava Krasnik, Stanislava Bodonji, Ivana Fratrić, Anna Uram Benka, Izabela Fabri Galamboš, Nikola Bošković and Jelena Mačar Novaković
Diseases 2026, 14(3), 86; https://doi.org/10.3390/diseases14030086 - 26 Feb 2026
Viewed by 191
Abstract
Introduction: Idiopathic adolescent scoliosis (IAS) is commonly managed non-surgically; however, patients with a Cobb angle >45° before skeletal maturity often require posterior spinal fusion. Because this procedure carries a risk of neurological complications, intraoperative neurophysiological monitoring (IONM) is essential for early detection of [...] Read more.
Introduction: Idiopathic adolescent scoliosis (IAS) is commonly managed non-surgically; however, patients with a Cobb angle >45° before skeletal maturity often require posterior spinal fusion. Because this procedure carries a risk of neurological complications, intraoperative neurophysiological monitoring (IONM) is essential for early detection of spinal cord compromise. Case report: We present a 13-year-old girl with rapidly progressing scoliosis (Cobb angle 78°) who developed intraoperative changes in motor evoked potentials (MEPs) during posterior fusion from L4 to Th2. Total intravenous anesthesia without muscle relaxants was used, and standard multimodal IONM with somatosensory evoked potentials (SSEPs), MEPs, and spontaneous/triggered electromyography was applied. After induction of general anesthesia and surgical exposure, pedicle preparation at Th8–Th9 was followed by increased bleeding from the vertebral bodies and an abrupt loss of MEPs in both lower limbs, most prominently in the tibialis anterior muscles, whilst SSEPs remained unchanged. Intraoperative radiography confirmed correct screw placement, and anesthetic variables were reassessed with no reversible cause identified. Because MEPs remained absent, a wake-up test was performed and demonstrated intact voluntary movement, allowing the surgery to continue. By the end of the procedure, MEPs recovered fully on the left side and partially on the right. The patient awoke without any postoperative motor deficit. Conclusion: It is well known that motor responses can show variability during surgery, including a gradual decrease due to prolonged anesthesia. After excluding anesthetic and mechanical factors, one of the hypothetical explanations for the transient MEP loss was temporary venous congestion and retrograde flow within the intravertebral and epidural/intraspinal venous networks, resulting in reversible spinal cord drainage impairment. Another hypothetical possibility was transient vasospasm from surgical manipulation without direct neural or vascular injury. This case highlights the critical role of continuous multimodal neuromonitoring in detecting reversible spinal cord dysfunction and guiding safe decision-making during complex scoliosis surgery. Full article
Show Figures

Figure 1

10 pages, 506 KB  
Case Report
An Unusual Presentation of Nicolau Syndrome in the Upper Limb: A Case Report from Northern Ecuadorian Amazonia
by Elías David Guamán-Charco, Cesar Espinoza, María Belén Vélez-Altamirano, José Govea, Willam Valdez, Guillermo Prieto-Marín, Jorge Vasconez-Gonzalez, Juan S. Izquierdo-Condoy and Esteban Ortiz-Prado
J. Clin. Med. 2026, 15(5), 1756; https://doi.org/10.3390/jcm15051756 - 26 Feb 2026
Viewed by 587
Abstract
Nicolau syndrome, also known as embolia cutis medicamentosa, is a rare iatrogenic reaction that may occur following parenteral drug administration, including inadvertent intra-arterial or periarterial injection. Its pathophysiology remains poorly understood; however, several mechanisms have been proposed, including vasospasm, embolization, cytotoxic inflammation, and [...] Read more.
Nicolau syndrome, also known as embolia cutis medicamentosa, is a rare iatrogenic reaction that may occur following parenteral drug administration, including inadvertent intra-arterial or periarterial injection. Its pathophysiology remains poorly understood; however, several mechanisms have been proposed, including vasospasm, embolization, cytotoxic inflammation, and secondary tissue necrosis. We report the case of a 22-year-old transgender woman who received intravenous benzathine penicillin in the left arm without a medical prescription following a reactive syphilis screening performed outside a formal healthcare setting. She subsequently developed severe pain, livedoid dermatitis, pallor, distal cyanosis, and blister formation. Radial and brachial pulses remained palpable, and Doppler ultrasonography revealed no evidence of arterial or venous thrombosis. Medical management included daily wound care, anticoagulation, corticosteroids, peripheral vasodilators, antibiotic therapy, and analgesia. The patient was hospitalized for nine days, with partial clinical improvement. However, persistent distal ischemic changes involving the second through fifth fingers raised concern for evolving necrosis and potential amputation. After counseling regarding these risks, the patient requested voluntary discharge. This case underscores the importance of safe medication administration and appropriate injection practices, particularly in low-resource settings. It also highlights the need for improved training of healthcare personnel to ensure early recognition and prompt management of Nicolau syndrome, as well as strengthened patient education to discourage self-medication and promote timely care by qualified healthcare professionals. Full article
(This article belongs to the Section Emergency Medicine)
Show Figures

Figure 1

14 pages, 3947 KB  
Review
Point-of-Care Transcranial Doppler Sonography at the Intensive Care Unit—A Practical Review of the Fundamentals
by Péter Siró, Zsófia Fülesdi, Csilla Molnár, Róbert Almási, László Csiba and Béla Fülesdi
J. Clin. Med. 2026, 15(4), 1630; https://doi.org/10.3390/jcm15041630 - 20 Feb 2026
Viewed by 415
Abstract
Point-of-care ultrasonography (POCUS) has become an integral part of intensive and emergency care. Despite the widespread use and availability of multipurpose ultrasound devices, the regular assessment of intracranial circulatory conditions has not become a part of daily routine in multidisciplinary intensive care units. [...] Read more.
Point-of-care ultrasonography (POCUS) has become an integral part of intensive and emergency care. Despite the widespread use and availability of multipurpose ultrasound devices, the regular assessment of intracranial circulatory conditions has not become a part of daily routine in multidisciplinary intensive care units. This brief narrative review aims to summarize the fundamental knowledge about the transcranial Doppler technique and the most significant clinical areas in which the method can provide valuable assistance in daily diagnostic and therapeutic decision-making. The authors searched the PubMed database for reviews, systematic reviews, and meta-analyses using the keywords “transcranial Doppler sonography; critical care; cerebral vasospasm; brain death diagnosis; non-invasive intracranial pressure monitoring”. We conclude that TCD is a simple, yet skilled, bedside method for assessing intracranial circulation. In everyday practice, it can be used to support clinical decision-making primarily in the areas of intracranial pressure monitoring, diagnosis and follow-up of cerebral vasospasm, and diagnosis of cerebral circulatory arrest. The study of cerebral hemodynamics should be an integral part of the increasingly widespread bedside ultrasound diagnostics in intensive care. Full article
Show Figures

Figure 1

7 pages, 6120 KB  
Case Report
A Rare Cause of Life-Threatening Chest Pain: Kounis Syndrome
by Liangliang Jia, Yabin Liu, Xi Chen and Yufei Wang
J. Cardiovasc. Dev. Dis. 2026, 13(2), 94; https://doi.org/10.3390/jcdd13020094 - 14 Feb 2026
Viewed by 271
Abstract
Kounis syndrome, defined as an acute coronary syndrome triggered by allergic or hypersensitivity reactions, is a rare yet potentially life-threatening condition. This report details the case of a 50-year-old female patient presenting with recurrent chest pain, hypereosinophilia, and allergic comorbidities, who was ultimately [...] Read more.
Kounis syndrome, defined as an acute coronary syndrome triggered by allergic or hypersensitivity reactions, is a rare yet potentially life-threatening condition. This report details the case of a 50-year-old female patient presenting with recurrent chest pain, hypereosinophilia, and allergic comorbidities, who was ultimately diagnosed with type I Kounis syndrome. Modifications to her treatment regimen, including the administration of diltiazem and prednisolone, led to a complete resolution of her symptoms. This case highlights the critical importance of early diagnosis and timely intervention in managing Kounis syndrome. Early recognition is essential to prevent potentially fatal outcomes, thereby emphasizing the need for increased awareness among healthcare professionals. Full article
Show Figures

Figure 1

12 pages, 8803 KB  
Article
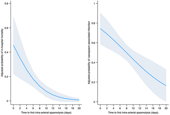
Early Onset of Cerebral Vasospasm and the Mediating Impact of Secondary Infarction on In-Hospital Mortality Following Aneurysmal Subarachnoid Hemorrhage
by Gregor Peter, Lukas Meyer, Bogdana Tokareva, Gabriel Broocks, Matthias Bechstein, Vincent Geest, Christian Heitkamp, Felix Schlicht, Luca Meucci, Lasse Dührsen, Hanno S. Meyer, Helge Kniep, Maxim Bester, Jens Fiehler and Christian Thaler
Diagnostics 2026, 16(4), 551; https://doi.org/10.3390/diagnostics16040551 - 13 Feb 2026
Viewed by 246
Abstract
Background: Cerebral vasospasm (CV) as a complication after aneurysmal subarachnoid hemorrhage (aSAH) is a major determinant of secondary vasospasm-associated ischemic infarction (SVS-I) and poor outcome. Data on the interplay among the onset of CV, SVS-I, and in-hospital mortality remain limited. Methods: We conducted [...] Read more.
Background: Cerebral vasospasm (CV) as a complication after aneurysmal subarachnoid hemorrhage (aSAH) is a major determinant of secondary vasospasm-associated ischemic infarction (SVS-I) and poor outcome. Data on the interplay among the onset of CV, SVS-I, and in-hospital mortality remain limited. Methods: We conducted a retrospective, single-center study including patients admitted with aSAH between January 2016 and May 2024 who developed treatment-relevant CV. The primary outcome was the rate of in-hospital mortality. The relationship between the onset of CV, demographics, imaging, and treatment data and the primary outcome was analyzed using logistic regression. A confounder-adjusted mediation analysis was performed to quantify the extent to which the effect of time to CV onset on in-hospital mortality was mediated by SVS-I. Results: A total of 165 patients with aSAH and treatment-relevant CV were included. The median age was 55 (IQR, 48–64), and 67.2% (111) were female. Of the included patients, 13.3% (22) died during hospitalization. In multivariable logistic regression analysis, earlier onset of treatment-relevant CV (adjusted odds ratio [aOR] 0.79; 95% CI, 0.66–0.95) and the occurrence of SVS-I (aOR 13.47; 95% CI, 2.78–65.3) were associated with the primary outcome. Mediation analysis indicated that SVS-I accounted for 28% of the effect of earlier onset of CV on in-hospital mortality. Conclusions: Twenty-eight percent of the effect of earlier onset of cerebral vasospasm on in-hospital mortality was mediated by secondary ischemic infarction. Targeting patients with early-onset vasospasm and the associated risk of infarction may reduce in-hospital mortality following aneurysmal subarachnoid hemorrhage. Full article
(This article belongs to the Special Issue Innovations in Neurovascular Disease Imaging and Treatment)
Show Figures

Figure 1

22 pages, 4820 KB  
Article
Machine Learning-Identified Potential Interaction Between Clazosentan and Nicardipine in Patients with Subarachnoid Hemorrhage
by Yusuke Inoue, Masahito Katsuki, Toshikazu Hidaka, Junichiro Ochiai, Yuichiro Kawamoto, Daizo Ishii, Katsumi Takizawa, Hirofumi Nakatomi, Masaki Chin, Motohiro Morioka, Hiroki Kurita, Kaima Suzuki, Takatoshi Sorimachi, Koreaki Irie, Ichiro Nakahara, Nobutaka Horie and Fusao Ikawa
J. Clin. Med. 2026, 15(4), 1383; https://doi.org/10.3390/jcm15041383 - 10 Feb 2026
Viewed by 428
Abstract
Background/Objectives: Subarachnoid hemorrhage (SAH) is frequently complicated by cerebral vasospasm (VS). Clazosentan has reduced VS in Japanese studies but shown inconsistent efficacy in Western trials. We hypothesized that clinical and pharmacologic interactions may influence its effectiveness. Methods: We analyzed the multicenter [...] Read more.
Background/Objectives: Subarachnoid hemorrhage (SAH) is frequently complicated by cerebral vasospasm (VS). Clazosentan has reduced VS in Japanese studies but shown inconsistent efficacy in Western trials. We hypothesized that clinical and pharmacologic interactions may influence its effectiveness. Methods: We analyzed the multicenter “Database of Cohort Study for Outcome of SAH In Japan” (DCI Japan) registry, prospectively collected from 2020 to 2023, to assess associations between clazosentan use, VS prevention, functional outcomes, and potential interactions in adults with aneurysmal SAH (aSAH) treated by surgical clipping or endovascular coiling within 4 days of onset. Outcomes included angiographic VS (AVS), symptomatic VS (SVS), cerebral infarction, and modified Rankin Scale (mRS) scores at discharge and at 6 months. Predictors and interactions were first screened using univariable analysis and Light Gradient Boosting Machine, then evaluated via multivariable logistic regression. Results: Among 544 patients (mean age 65.2 ± 14.2 years; 71.5% female), 34.0% received clazosentan. AVS, SVS, and cerebral infarction occurred in 20.6%, 16.0%, and 22.4%, respectively. Poor outcomes (mRS 3–6) were observed in 48.8% at discharge and 33.7% (137/406) at 6 months. Clazosentan use was associated with reduced odds of AVS (OR 0.27, 95% CI [0.11–0.69]), SVS (OR 0.15 [0.04–0.64]), and poor 6-month outcome (OR 0.08 [0.01–0.68]). A potential interaction with nicardipine was linked to higher odds of AVS (OR 1.85 [1.43–2.65]). Conclusions: Clazosentan was associated with reduced VS and improved 6-month outcomes after aSAH, although concomitant nicardipine may attenuate its prophylactic effectiveness against AVS. Full article
Show Figures

Figure 1

23 pages, 38482 KB  
Article
Data-Driven Analysis of Systemic Indicators Linking Stroke-Associated Pneumonia, Delayed Cerebral Ischemia, and Outcome After Aneurysmal Subarachnoid Hemorrhage
by Vanessa Magdalena Swiatek, Conrad-Jakob Schiffner, Tom Tobias Kummer, Lea Ehrhardt, Klaus-Peter Stein, Ali Rashidi, Sylvia Saalfeld, Robert Werdehausen, I. Erol Sandalcioglu and Belal Neyazi
J. Clin. Med. 2026, 15(4), 1359; https://doi.org/10.3390/jcm15041359 - 9 Feb 2026
Viewed by 336
Abstract
Background/Objectives: Delayed cerebral ischemia (DCI) is a major cause of poor outcome after aneurysmal subarachnoid hemorrhage (aSAH). Beyond large-vessel vasospasm, DCI reflects a systemic, multifactorial process involving inflammation, hematologic dysregulation, and organ dysfunction. Stroke-associated pneumonia (SAP), a frequent aSAH complication linked to [...] Read more.
Background/Objectives: Delayed cerebral ischemia (DCI) is a major cause of poor outcome after aneurysmal subarachnoid hemorrhage (aSAH). Beyond large-vessel vasospasm, DCI reflects a systemic, multifactorial process involving inflammation, hematologic dysregulation, and organ dysfunction. Stroke-associated pneumonia (SAP), a frequent aSAH complication linked to stroke-induced immunodepression, may aggravate secondary ischemic injury. Unlike prior studies focusing on classical predictors alone, we included pneumonia and longitudinal respiratory parameters alongside inflammatory, hematologic, and renal markers. Using machine learning, this study aimed to identify predictors of DCI and functional outcome from routinely collected intensive care data. Methods: In this retrospective single-center study, 182 aSAH patients treated in a neurosurgical intensive care unit were included. Clinical data, SAP status, and longitudinal inflammatory, hematologic, renal, and respiratory parameters were extracted. DCI and functional outcome were assessed. Continuous variables were summarized as minimum, maximum, and mean values. Supervised machine learning models combining 12 feature selection methods and 12 classifiers were trained using five-fold cross-validation and evaluated by accuracy, F1-score, and AUC. Results: DCI occurred in 22% of patients, and SAP in 27%. The machine learning models achieved a mean accuracy of 59.7% (F1-score 58.8%, AUC 59.7%) for DCI prediction. No single dominant feature emerged; predictive patterns included leukocyte counts, CRP, erythrocyte indices, platelet variability, renal function, and oxygenation metrics. Functional outcome prediction performed moderately better (mean AUC 65.7%) and shared overlapping predictors. Conclusions: DCI reflects systemic instability in aSAH, with longitudinal inflammatory and respiratory variability outperforming static thresholds. Dynamic risk stratification may enable earlier detection of deterioration, supporting future time-series modeling and external validation. Full article
Show Figures

Figure 1

14 pages, 373 KB  
Article
The Impact of Near-Infrared Spectroscopy in Early Detection of Cerebral Deterioration After Aneurysmal Subarachnoid Haemorrhage
by Ieva Būce-Šatoba, Gaida Krūmiņa and Agnese Ozoliņa
J. Clin. Med. 2026, 15(4), 1349; https://doi.org/10.3390/jcm15041349 - 9 Feb 2026
Viewed by 533
Abstract
Background/Objectives: Delayed cerebral ischemia (DCI) represents a major cause of morbidity and mortality after aneurysmal subarachnoid haemorrhage (aSAH). Early identification of developing cerebral ischemia is essential for timely prevention of DCI. Near-infrared spectroscopy (NIRS) provides continuous, non-invasive bedside monitoring of regional cerebral [...] Read more.
Background/Objectives: Delayed cerebral ischemia (DCI) represents a major cause of morbidity and mortality after aneurysmal subarachnoid haemorrhage (aSAH). Early identification of developing cerebral ischemia is essential for timely prevention of DCI. Near-infrared spectroscopy (NIRS) provides continuous, non-invasive bedside monitoring of regional cerebral oxygen saturation (rSO2); however, its clinical value in patients with aSAH has not yet been fully established. The primary objective of this study was to investigate whether NIRS-detected rSO2 desaturation can serve as an early indicator of cerebral vasospasm (CV) and predict the occurrence of DCI. Secondary objectives were to examine the associations between rSO2 changes and other cerebral deterioration events, length of intensive care unit stay, functional outcome, and in-hospital mortality. Methods: This prospective, single-centre study included 30 patients with aSAH admitted to the intensive care unit (ICU) of Riga East University Hospital between January 2019 and January 2023. Bilateral frontal near-infrared spectroscopy (NIRS) monitoring (Covidien INVOS™ 5100C-PB) was initiated within 72 h after ictus and continued for up to 7 days. Cerebral desaturation was defined as a >20% reduction from baseline (BL) or an absolute regional cerebral oxygen saturation (rSO2) value < 50% lasting ≥30 min. CV and DCI were diagnosed according to established clinical and radiological criteria. Receiver operating characteristic (ROC) analysis was performed to evaluate the sensitivity and specificity of rSO2 thresholds for the detection of CV, DCI, and other cerebral deterioration events. Results: CV occurred in 10 patients (33%); however, only four cases were detected during the NIRS monitoring period. NIRS demonstrated very high sensitivity (97.5%) but extremely low specificity (6%) for the early detection of CV. In contrast, diagnostic accuracy for DCI was high. An absolute rSO2 cut-off value of 52% yielded a sensitivity of 97.5% and a specificity of 95%, whereas a decrease of ≥26% from baseline (BL) demonstrated a sensitivity of 98% and a specificity of 93%. Significant rSO2 reductions were also observed during aneurysm re-rupture, hydrocephalus, cerebral edema, and postoperative ischemia; however, the sensitivity of NIRS for detecting these events was negligible. Patients with ≥20% desaturation tended to have longer ICU stays, and lower mean rSO2 values as well as greater desaturation were associated with poorer functional outcomes as assessed by the modified Rankin Scale. Patients who died exhibited more pronounced rSO2 decreases and less recovery compared with survivors. Conclusions: In this cohort, NIRS demonstrated limited specificity for the early detection of CV but showed strong associations with DCI and neurological outcome. NIRS may be useful as a non-invasive adjunct to multimodal neuromonitoring rather than as a stand-alone diagnostic tool for cerebral vasospasm. Larger, prospective studies incorporating standardized imaging protocols and optimized rSO2 thresholds are required to more clearly define the role of NIRS in the management of aSAH. Full article
(This article belongs to the Section Clinical Neurology)
Show Figures

Figure 1

21 pages, 2078 KB  
Review
Coronary Physiology Across the Whole Spectrum of Ischemic Heart Disease
by Ciro Pollio Benvenuto, Luigi Cappannoli, Andrea Viceré, Vincenzo Viccaro, Simona Todisco, Chiara Giuliana, Faisal Sharif and Domenico Galante
J. Clin. Med. 2026, 15(3), 1313; https://doi.org/10.3390/jcm15031313 - 6 Feb 2026
Viewed by 381
Abstract
Acute and Chronic Coronary Syndromes represent two major medical challenges and are the leading cause of cardiovascular mortality and morbidity. While Chronic Coronary Syndrome (CCS) can be defined as the whole group of structural and/or functional abnormalities involving coronary arteries before and after [...] Read more.
Acute and Chronic Coronary Syndromes represent two major medical challenges and are the leading cause of cardiovascular mortality and morbidity. While Chronic Coronary Syndrome (CCS) can be defined as the whole group of structural and/or functional abnormalities involving coronary arteries before and after an acute event, Acute Coronary Syndrome (ACS) encompasses the condition of acute myocardial ischemia (with or without consequent myocardial injury and troponin release) due to dynamic mechanisms such as athero-thrombosis or vasospasm. Because of this complex interplay between structural and functional mechanisms arising from both the epicardial and microvascular compartments, a comprehensive approach to fully investigate the whole spectrum of coronary disease is therefore essential. To address this issue, the invasive functional assessment has evolved through the years, from a way to guide revascularization to a meticulous protocol for characterizing ischemia-leading mechanisms and stratifying prognosis both in ACS and CCS. However, coronary physiology remains underused in clinical practice, and multiple gaps in knowledge still exist; on top of this, there is increasing heterogeneity regarding how to perform functional assessment, with different protocols proposed by various centers. The aim of this review is to summarize the evidence in the field of coronary physiology, and to discuss how and when to use it at its best. Full article
(This article belongs to the Special Issue Contemporary Trends in Cardiovascular Prevention)
Show Figures

Figure 1

17 pages, 962 KB  
Review
Targeting the Middle Meningeal Artery: A Narrative Review of Intra-Arterial Pharmacologic Strategies for Migraine Management
by Jacob Alejandro Strouse, Carlota Gimenez Lynch, Danyas Sarathy and Brandon Lucke-Wold
J. Vasc. Dis. 2026, 5(1), 9; https://doi.org/10.3390/jvd5010009 - 5 Feb 2026
Viewed by 501
Abstract
The Middle Meningeal Artery (MMA) occupies a pivotal role in the pathophysiology of migraine, functioning as a vascular and neuroimmune interface that precipitates the characteristic pulsatile pain. The inhibition of this pathophysiological cascade has been investigated as a therapeutic strategy. However, fewer than [...] Read more.
The Middle Meningeal Artery (MMA) occupies a pivotal role in the pathophysiology of migraine, functioning as a vascular and neuroimmune interface that precipitates the characteristic pulsatile pain. The inhibition of this pathophysiological cascade has been investigated as a therapeutic strategy. However, fewer than a dozen centers globally have disseminated procedural or mechanistic data. Given the nascency of this field and the imperative for standardization, the present review synthesizes mechanistic and clinical evidence underpinning intra-arterial pharmacological modulation of the MMA for migraine management. Methods: A focused narrative review was undertaken, drawing upon select but influential studies from pioneering research groups investigating intra-arterial interventions targeting the MMA. The extant literature was thematically categorized and organized according to the loci of cascade interruption and their corresponding clinical outcomes. Results: Since 2009, intra-arterial therapies for severe headache syndromes have evolved, initially utilizing nimodipine for vasospasm-related headaches, progressing to verapamil for reversible cerebral vasoconstriction, and more recently, lidocaine for refractory or status migrainosus, occasionally in conjunction with MMA embolization. Contemporary research uses language that conceptualizes migraine as an immunologically mediated neurovascular disorder, as opposed to a purely vascular or neuronal entity. Recent investigations have identified interleukins such as Interleukin-1β, Tumor Necrosis Factor-α, and Interleukin-6 as critical amplifiers of trigeminovascular activation. Purinergic signaling through the P2X3 receptor and the P2Y13 receptor, in conjunction with pituitary adenylate cyclase-activating polypeptide and vasoactive intestinal peptide pathways, has been implicated in the modulation of MMA excitability and neuropeptide release. The development of novel calcitonin gene-related peptide receptor antagonists, such as zavegepant, further substantiates the artery’s significance as a pharmacological target. Conclusions: These findings support a shift toward immune-modulating intra-arterial therapeutic strategies, with migraine interventions targeting cytokine and neuroimmune signaling within the MMA, rather than relying exclusively on vasodilatory mechanisms. Full article
(This article belongs to the Section Neurovascular Diseases)
Show Figures

Figure 1

17 pages, 3407 KB  
Case Report
An Anatomy-Guided, Stepwise Microsurgical Reconstruction of a Posteriorly Projecting ICA–PCoA Aneurysm Beneath the Optic Apparatus: A Detailed Operative Sequence
by Matei Șerban, Corneliu Toader and Răzvan-Adrian Covache-Busuioc
Diagnostics 2026, 16(1), 124; https://doi.org/10.3390/diagnostics16010124 - 1 Jan 2026
Viewed by 451
Abstract
Background: Posteriorly directed aneurysms at the internal carotid–posterior communicating artery (ICA–PCoA) junction concentrate technical risk at the posteromedial neck where the PCoA origin and perforators exist beneath the optic apparatus. Our aim was to describe, in a reproducible fashion, an anatomy-driven sequence [...] Read more.
Background: Posteriorly directed aneurysms at the internal carotid–posterior communicating artery (ICA–PCoA) junction concentrate technical risk at the posteromedial neck where the PCoA origin and perforators exist beneath the optic apparatus. Our aim was to describe, in a reproducible fashion, an anatomy-driven sequence in the management of a ruptured ICA–PCoA aneurysm that visualized the posterior wall and a closing line parallel to the PCoA axis and which is placed within contemporary practice. Case Presentation: This is a single case study employing predetermined surgical techniques demonstrating a reproducible method of anatomical microsurgery applied to a posterior projecting ICA-PCoA aneurysm. The authors describe a 62-year-old female who was stabilized by nimodipine and aggressive blood pressure control in the systolic range 140–160 mmHg after an aneurysmal subarachnoid hemorrhage. Diagnostic contrast catheter angiography showed a left ICA-PCoA aneurysm of 13.1 × 10.0 mm at the base with a neck of 4.3 mm projecting posteriorly into the carotid–optic cistern. Complete adherence to a protocol of staged techniques was employed for the operation, as detailed below. Step 1: Early cisternal decompression requiring total and immediate relaxation of the temporal lobe, rapidly opening up the carotid–optic anatomical window. Step 2: Circumferential dissection about the neck of the aneurysm permitting definition of the true posteromedial wall and definition of the perforator territories and anterior choroidal territories. Step 3: Brief but effective ICA proximal quiescence (58 s) permitting clipping under direct vision. Step 4: Staged closure of two clips with the closing line of the clips orientated parallel to the axis of the PCoA with maintenance of the diameter of all parent vessels, the origin of the PCoA and the integrity of the perforators. Urgent postoperative digital subtraction angiography (DSA) study showed complete exclusion of the aneurysm with no alteration in flow characteristics, and 3 months later DSA studies again showed permanent obliteration and patency of those branches. The immediate DSA demonstrated complete exclusion of the aneurysm with patent supraclinoid ICA caliber and PCoA ostium, the anterior choroidal artery was preserved; no angiographic vasospasm was identified. The postoperative course was uncomplicated; there was no hydrocephalus, seizure disorder or delayed ischemia. At discharge and three months postprocedure the patient was neurologically intact (Modified Rankin Scale 0). Non-contrast cranial CT (three months) demonstrated stable clip position and no hemorrhagic or ischemic sequelae. Conclusions: In posteriorly projecting ICA–PCoA aneurysms that are disturbed beneath the optic apparatus, an anatomy-guided strategy—early cisternal decompression, true posteromedial neck exposure, brief purposeful quieting of the proximal ICA and two-clip closure parallel to the PCoA in selected cases—may provide the opportunity for durable occlusion whilst the physiology of branching is preserved. We intend for this transparent description to be adopted, refined or discarded based on local anatomy and practice. Full article
(This article belongs to the Special Issue Cerebrovascular Lesions: Diagnosis and Management, 2nd Edition)
Show Figures

Figure 1

17 pages, 316 KB  
Review
Alcohol Consumption and Acute Coronary Syndrome: Epidemiology, Pathophysiology, and Clinical Perspectives
by Panagiotis Iliakis, Eleftheria Stamou, Angeliki Vakka, Konstantina Ntalekou, Maria Kouremeti, Nikolaos Ktenopoulos, Paschalis Karakasis, Panagiotis Theofilis, Anna Pitsillidi, Athanasios Sakalidis, Kyriakos Dimitriadis, Christina Chrysochoou and Konstantinos Tsioufis
J. Clin. Med. 2026, 15(1), 299; https://doi.org/10.3390/jcm15010299 - 30 Dec 2025
Viewed by 1087
Abstract
Alcohol consumption is a globally prevalent lifestyle factor with complex and sometimes paradoxical effects on cardiovascular health, particularly regarding acute coronary syndrome (ACS). Earlier epidemiological studies described a J-shaped relationship between alcohol consumption and ACS risk; however, emerging evidence has increasingly challenged the [...] Read more.
Alcohol consumption is a globally prevalent lifestyle factor with complex and sometimes paradoxical effects on cardiovascular health, particularly regarding acute coronary syndrome (ACS). Earlier epidemiological studies described a J-shaped relationship between alcohol consumption and ACS risk; however, emerging evidence has increasingly challenged the validity of this concept. Mendelian randomization studies, genetic data, and recent pooled analyses suggest that the apparent cardioprotective effects of light-to-moderate drinking are largely attributable to residual confounding, including abstainer bias and socioeconomic factors, rather than true causal mechanisms. In contrast, excessive alcohol intake is linked to increased oxidative stress, inflammation, hypertension, and prothrombotic states, all of which contribute to plaque instability and the precipitation of ACS. Additionally, acute heavy drinking episodes may induce coronary vasospasm and arrhythmias, further elevating ACS risk. Genetic factors, drinking patterns, and beverage types may also modulate the relationship between alcohol and ACS, indicating the need for personalized risk assessment. Understanding these complex interactions is essential for clinicians when counseling patients on alcohol consumption within the context of cardiovascular prevention. This review aims to delve into current evidence on the epidemiology and pathophysiology linking alcohol consumption with ACS, providing a nuanced perspective that balances potential protective effects with the significant risks associated with excessive alcohol use, as well as summarizing all medical societies’ recommendations regarding alcohol consumption and cardiovascular health. Full article
(This article belongs to the Special Issue Acute Coronary Syndromes: From Diagnosis to Treatment)
Show Figures

Graphical abstract

Back to TopTop