Sign in to use this feature.

Years

Between: -

Subjects

remove_circle_outline
remove_circle_outline
remove_circle_outline
remove_circle_outline
remove_circle_outline
remove_circle_outline
remove_circle_outline
remove_circle_outline

Journals

Article Types

Countries / Regions

Search Results (9)

Search Parameters:
Keywords = unjamming

Order results
Result details
Results per page
Select all
Export citation of selected articles as:
51 pages, 1586 KB  
Review
ECM Mechanics Control Jamming-to-Unjamming Transition of Cancer Cells
by Claudia Tanja Mierke
Cells 2025, 14(13), 943; https://doi.org/10.3390/cells14130943 - 20 Jun 2025
Cited by 3 | Viewed by 4145
Abstract
Cancer metastasis constitutes a multifactorial phenomenon that continues to confound therapeutic strategies. The biochemical signals governing motile phenotypes have been extensively characterized, but mechanobiological interactions have only recently been integrated into cancer cell motility models and remain less well elucidated. The identification of [...] Read more.
Cancer metastasis constitutes a multifactorial phenomenon that continues to confound therapeutic strategies. The biochemical signals governing motile phenotypes have been extensively characterized, but mechanobiological interactions have only recently been integrated into cancer cell motility models and remain less well elucidated. The identification of the biochemically and mechanically controlled epithelial–mesenchymal transition (EMT) of cancer cells, which occurs either completely or partially, has led to a major breakthrough and a universal phenomenon in cancers. In addition, a relatively new theory based on mechanobiological aspects called “jamming-to-unjamming transition” is being proposed to explain the transition of cancer cells to an invasive phenotype. The latter transition may help to better understand the different types of 3D migration and invasion of cancer cells. Similarly to EMT, the transition from jamming to unjamming seems to be controlled by molecular and physical factors, including cell mechanics and mechanical cues from the extracellular matrix (ECM) of the tumor microenvironment (TME). It is challenging to grasp the distinctions between the transition from jamming to unjamming and EMT, as they appear to be the same at first glance. However, upon closer examination, the two transitions are quite separate. Moreover, it is still unclear whether both transitions may act synergistically. This review highlights the most important breakthroughs in the transition from jamming to unjamming, with a focus on mechanobiology and extracellular environmental aspects, and it compares them with those of EMT. In addition, the impact of the TME, such as ECM scaffold and cancer-associated fibroblasts (CAFs) on the jamming-to-unjamming transition is discussed. Finally, the research frontiers and future directions in the field of mechanobiological research in cancer metastasis are outlined. Full article
(This article belongs to the Special Issue Role of Extracellular Matrix in Cancer and Disease)
Show Figures

Figure 1

16 pages, 6658 KB  
Article
Soft Robotic Honeycomb-Velcro Jamming Gripper Design
by Yu Cheng Chung, Wai Tuck Chow and Van Pho Nguyen
Actuators 2024, 13(9), 359; https://doi.org/10.3390/act13090359 - 16 Sep 2024
Cited by 4 | Viewed by 2556
Abstract
In this paper, using a honeycomb-velcro structure to generate a novel jamming gripper is explored. Each finger of the gripper consists of multi-layers with a honeycomb sandwich structure acting as a core wrapped by a fabric sheet and sealed by a latex membrane. [...] Read more.
In this paper, using a honeycomb-velcro structure to generate a novel jamming gripper is explored. Each finger of the gripper consists of multi-layers with a honeycomb sandwich structure acting as a core wrapped by a fabric sheet and sealed by a latex membrane. This structure can transit between unjammed (flexible) and jammed (rigid) states thanks to the vacuum pressure. Various materials of honeycomb structure, fabric, and reinforcements are investigated to seek optimal combinations for making the jamming fingers. Then, such fingers are deployed in experiments to evaluate the stiffness and the surface friction with different loads in terms of with or without vacuum. Vacuum pressure boosts the stiffness and friction of all the jamming fingers compared with the without-vacuum case. Attached to a gripper, the jamming finger shows good performance in diverse manipulation with food, a metal component, a toy, a can, and a bottle. Furthermore, the variable-stiffness finger under vacuum pressure can be utilized to perform assembly and installation operations such as pushing a bolt into an aligned hole. Full article
(This article belongs to the Special Issue Advancement in the Design and Control of Robotic Grippers)
Show Figures

Figure 1

20 pages, 2252 KB  
Article
Anti-Jamming Resource-Allocation Method in the EH-CIoT Network through LWDDPG Algorithm
by Fushuai Li, Jiawang Bao, Jun Wang, Da Liu, Wencheng Chen and Ruiquan Lin
Sensors 2024, 24(16), 5273; https://doi.org/10.3390/s24165273 - 14 Aug 2024
Cited by 1 | Viewed by 1775
Abstract
In the Energy-Harvesting (EH) Cognitive Internet of Things (EH-CIoT) network, due to the broadcast nature of wireless communication, the EH-CIoT network is susceptible to jamming attacks, which leads to a serious decrease in throughput. Therefore, this paper investigates an anti-jamming resource-allocation method, aiming [...] Read more.
In the Energy-Harvesting (EH) Cognitive Internet of Things (EH-CIoT) network, due to the broadcast nature of wireless communication, the EH-CIoT network is susceptible to jamming attacks, which leads to a serious decrease in throughput. Therefore, this paper investigates an anti-jamming resource-allocation method, aiming to maximize the Long-Term Throughput (LTT) of the EH-CIoT network. Specifically, the resource-allocation problem is modeled as a Markov Decision Process (MDP) without prior knowledge. On this basis, this paper carefully designs a two-dimensional reward function that includes throughput and energy rewards. On the one hand, the Agent Base Station (ABS) intuitively evaluates the effectiveness of its actions through throughput rewards to maximize the LTT. On the other hand, considering the EH characteristics and battery capacity limitations, this paper proposes energy rewards to guide the ABS to reasonably allocate channels for Secondary Users (SUs) with insufficient power to harvest more energy for transmission, which can indirectly improve the LTT. In the case where the activity states of Primary Users (PUs), channel information and the jamming strategies of the jammer are not available in advance, this paper proposes a Linearly Weighted Deep Deterministic Policy Gradient (LWDDPG) algorithm to maximize the LTT. The LWDDPG is extended from DDPG to adapt to the design of the two-dimensional reward function, which enables the ABS to reasonably allocate transmission channels, continuous power and work modes to the SUs, and to let the SUs not only transmit on unjammed channels, but also harvest more RF energy to supplement the battery power. Finally, the simulation results demonstrate the validity and superiority of the proposed method compared with traditional methods under multiple jamming attacks. Full article
(This article belongs to the Section Communications)
Show Figures

Figure 1

9 pages, 5116 KB  
Communication
Critical State and the Loosest Jammed State of Granular Materials
by Xuzhen He
Appl. Sci. 2023, 13(3), 1361; https://doi.org/10.3390/app13031361 - 19 Jan 2023
Viewed by 1904
Abstract
Solid-state (i.e., jammed) granular soils can be prepared into different densities characterised by the mean pressure p and the solid fraction ϕ (i.e., different p-ϕ combinations). The limits for jammed states (i.e., the range of possible p-ϕ) are [...] Read more.
Solid-state (i.e., jammed) granular soils can be prepared into different densities characterised by the mean pressure p and the solid fraction ϕ (i.e., different p-ϕ combinations). The limits for jammed states (i.e., the range of possible p-ϕ) are studied theoretically in the literature or through isotropic compression simulations with the discrete element method (DEM). Shearing also causes unjamming and the critical state is an important reference state for shear deformation. How the jamming limits from isotropic compression tests are related to the critical state is examined in this paper by DEM simulations. Two methods are used to generate isotropic samples. One is the isotropic compression method, which is mainly used for studying jamming in the literature. Possible jammed states from this method lie between two compression lines. The varying-friction methods can generate samples with a larger range of p-ϕ. Isochoric shear tests are conducted on isotropic specimens prepared with both methods. Some specimens reach liquefaction (p 0) and the others reach the critical state. The obtained critical state p-ϕ line is found to be the same as the loosest jammed state line from the isotropic compression method. Additionally, the critical state stress state is also well described by a Coulomb-type equation in the octahedral profile. Full article
Show Figures

Figure 1

23 pages, 5221 KB  
Article
Jamming Transitions in Astrocytes and Glioblastoma Are Induced by Cell Density and Tension
by Urszula Hohmann, Julian Cardinal von Widdern, Chalid Ghadban, Maria Cristina Lo Giudice, Grégoire Lemahieu, Elisabetta Ada Cavalcanti-Adam, Faramarz Dehghani and Tim Hohmann
Cells 2023, 12(1), 29; https://doi.org/10.3390/cells12010029 - 21 Dec 2022
Cited by 5 | Viewed by 3399
Abstract
Collective behavior of cells emerges from coordination of cell–cell-interactions and is important to wound healing, embryonic and tumor development. Depending on cell density and cell–cell interactions, a transition from a migratory, fluid-like unjammed state to a more static and solid-like jammed state or [...] Read more.
Collective behavior of cells emerges from coordination of cell–cell-interactions and is important to wound healing, embryonic and tumor development. Depending on cell density and cell–cell interactions, a transition from a migratory, fluid-like unjammed state to a more static and solid-like jammed state or vice versa can occur. Here, we analyze collective migration dynamics of astrocytes and glioblastoma cells using live cell imaging. Furthermore, atomic force microscopy, traction force microscopy and spheroid generation assays were used to study cell adhesion, traction and mechanics. Perturbations of traction and adhesion were induced via ROCK or myosin II inhibition. Whereas astrocytes resided within a non-migratory, jammed state, glioblastoma were migratory and unjammed. Furthermore, we demonstrated that a switch from an unjammed to a jammed state was induced upon alteration of the equilibrium between cell–cell-adhesion and tension from adhesion to tension dominated, via inhibition of ROCK or myosin II. Such behavior has implications for understanding the infiltration of the brain by glioblastoma cells and may help to identify new strategies to develop anti-migratory drugs and strategies for glioblastoma-treatment. Full article
Show Figures

Figure 1

15 pages, 3074 KB  
Article
Angiopoietin-like 4-Induced 3D Capillary Morphogenesis Correlates to Stabilization of Endothelial Adherens Junctions and Restriction of VEGF-Induced Sprouting
by Athanasia Liabotis, Corinne Ardidie-Robouant, Philippe Mailly, Samaher Besbes, Charly Gutierrez, Yoann Atlas, Laurent Muller, Stéphane Germain and Catherine Monnot
Biomedicines 2022, 10(2), 206; https://doi.org/10.3390/biomedicines10020206 - 18 Jan 2022
Cited by 6 | Viewed by 3706
Abstract
Angiopoietin-like 4 (ANGPTL4) is a target of hypoxia that accumulates in the endothelial extracellular matrix. While ANGPTL4 is known to regulate angiogenesis and vascular permeability, its context-dependent role related to vascular endothelial growth factor (VEGF) has been suggested in capillary morphogenesis. We here [...] Read more.
Angiopoietin-like 4 (ANGPTL4) is a target of hypoxia that accumulates in the endothelial extracellular matrix. While ANGPTL4 is known to regulate angiogenesis and vascular permeability, its context-dependent role related to vascular endothelial growth factor (VEGF) has been suggested in capillary morphogenesis. We here thus develop in vitro 3D models coupled to imaging and morphometric analysis of capillaries to decipher ANGPTL4 functions either alone or in the presence of VEGF. ANGPTL4 induces the formation of barely branched and thin endothelial capillaries that display linear adherens junctions. However, ANGPTL4 counteracts VEGF-induced formation of abundant ramified capillaries presenting cell–cell junctions characterized by VE-cadherin containing reticular plaques and serrated structures. We further deciphered the early angiogenesis steps regulated by ANGPTL4. During the initial activation of endothelial cells, ANGPTL4 alone induces cell shape changes but limits the VEGF-induced cell elongation and unjamming. In the growing sprout, ANGPTL4 maintains cohesive VE-cadherin pattern and sustains moderate 3D cell migration but restricts VEGF-induced endothelium remodeling and cell migration. This effect is mediated by differential short- and long-term regulation of P-Y1175-VEGFR2 and ERK1-2 signaling by ANGPTL4. Our in vitro 3D models thus provide the first evidence that ANGPTL4 induces a specific capillary morphogenesis but also overcomes VEGF effect. Full article
(This article belongs to the Special Issue Angiogenesis and Inflammation in Biological Barriers 2.0)
Show Figures

Figure 1

16 pages, 1691 KB  
Article
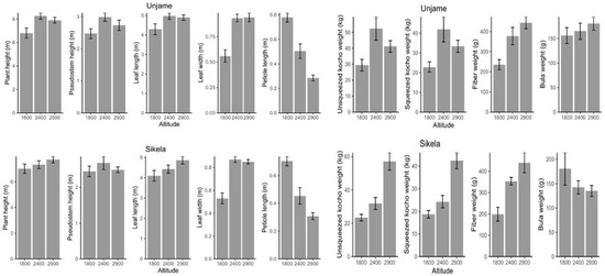
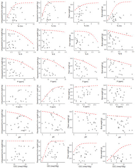
Estimating Yield Components, Limiting Factors, and Yield Gaps of Enset in Ethiopia Using Easily Measurable Above-Ground Plant Traits
by Zerihun Yemataw, Alemar Said, Tesfaye Dejene, Walter Ocimati, David Amwonya and Guy Blomme
Sustainability 2021, 13(23), 13255; https://doi.org/10.3390/su132313255 - 30 Nov 2021
Cited by 1 | Viewed by 2195
Abstract
The quantification of yield for different enset products has mainly been based on farmers’ estimates, which are often inaccurate. Several allometric models have been developed to overcome this challenge. Building on past work, the current study developed allometric models for enset fiber, kocho, [...] Read more.
The quantification of yield for different enset products has mainly been based on farmers’ estimates, which are often inaccurate. Several allometric models have been developed to overcome this challenge. Building on past work, the current study developed allometric models for enset fiber, kocho, and bula yield estimation. Enset yield limiting factors and associated yield gaps were also determined. In this study, above-ground growth and yield (kocho, bula, and fiber) traits of five-year-old plants of two widely grown enset landraces, ‘Unjame’ and ‘Siskela’, were assessed in farmers’ fields at three contrasting altitude sites. Except for bula, a minor yield component, correlation, and PCA analysis showed strong association between the above-ground and yield traits. Allometric equations based on the above-ground traits significantly (R2 = 25 to 68%) explained the variation in the yield traits. This study, for the first time, generated allometric models that can reliably estimate enset fiber yield. Leaf length, petiole length, and plant height are especially good for estimating fiber and kocho yields. The performance of models for bula were poor possibly due to the very low bula yields per plant. Soil chemical characteristics differently influenced enset yield attributes. For example, improving K supply can potentially enhance fiber yield. Higher yield gaps were observed for bula, with P accounting for the highest yield gaps across yield traits. Through careful targeting, the different yield attributes can thus be enhanced. This and previous studies clearly show that non-destructive enset plant assessments can provide solid information for quick and easy yield assessments for various traits during e.g., agronomic, germplasm evaluation, soil fertility enhancement, and intercropping trials. Full article
(This article belongs to the Section Sustainable Agriculture)
Show Figures

Figure 1

16 pages, 3820 KB  
Article
Bayesian Compress Sensing Based Countermeasure Scheme Against the Interrupted Sampling Repeater Jamming
by Sha Huan, Gane Dai, Gaoyong Luo and Shan Ai
Sensors 2019, 19(15), 3279; https://doi.org/10.3390/s19153279 - 25 Jul 2019
Cited by 25 | Viewed by 3599
Abstract
The interrupted sampling repeater jamming (ISRJ) is considered an efficient deception method of jamming for coherent radar detection. However, current countermeasure methods against ISRJ interference may fail in detecting weak echoes, particularly when the transmitting power of the jammer is relatively high. In [...] Read more.
The interrupted sampling repeater jamming (ISRJ) is considered an efficient deception method of jamming for coherent radar detection. However, current countermeasure methods against ISRJ interference may fail in detecting weak echoes, particularly when the transmitting power of the jammer is relatively high. In this paper, we propose a novel countermeasure scheme against ISRJ based on Bayesian compress sensing (BCS), where stable target signal can be reconstructed over a relatively large range of signal-to-noise ratio (SNR) for both single target and multi-target scenarios. By deriving the ISRJ jamming strategy, only the unjammed discontinuous time segments are extracted to build a sparse target model for the reconstruction algorithm. An efficient alternate iteration is applied to optimize and solve the maximum a posteriori estimate (MAP) of the sparse targets model. Simulation results demonstrate the robustness of the proposed scheme with low SNR or large jammer ratio. Moreover, when compared with traditional FFT or greedy sparsity adaptive matching pursuit algorithm (SAMP), the proposed algorithm significantly improves on the aspects of both the grating lobe level and target detection/false detection probability. Full article
(This article belongs to the Section Remote Sensors)
Show Figures

Figure 1

11 pages, 4813 KB  
Article
Tracking a Jammer in Wireless Sensor Networks and Selecting Boundary Nodes by Estimating Signal-to-Noise Ratios and Using an Extended Kalman Filter
by Waleed Aldosari and Mohamed Zohdy
J. Sens. Actuator Netw. 2018, 7(4), 48; https://doi.org/10.3390/jsan7040048 - 15 Nov 2018
Cited by 8 | Viewed by 8064
Abstract
This work investigates boundary node selection when tracking a jammer. A technique to choose nodes to track jammers by estimating signal-to-noise Ratio (SNR), jammer-to-noise ratio (JNR), and jammer received signal strength (JRSS) are introduced in this paper. We proposed a boundary node selection [...] Read more.
This work investigates boundary node selection when tracking a jammer. A technique to choose nodes to track jammers by estimating signal-to-noise Ratio (SNR), jammer-to-noise ratio (JNR), and jammer received signal strength (JRSS) are introduced in this paper. We proposed a boundary node selection threshold (BNST) algorithm. Every node can become a boundary node by comparing the SNR threshold, the average SNR estimated at the boundary node, and the received BNST value. The maximum sensing range, transmission range, and JRSS are the main parts of this algorithm. The algorithm is divided into three steps. In the first step, the maximum distance between two jammed nodes is found. Next, the maximum distance between the jammed node and its unjammed neighbors is computed. Finally, maximum BNST value is estimated. The extended Kalman filter (EKF) is utilized in this work to track the jammer and estimate its position in a different time step using selected boundary nodes. The experiment validates the benefits of selecting a boundary when tracking a jammer. Full article
Show Figures

Figure 1

Back to TopTop