Estimating Yield Components, Limiting Factors, and Yield Gaps of Enset in Ethiopia Using Easily Measurable Above-Ground Plant Traits
Abstract
:1. Introduction
2. Materials and Methods
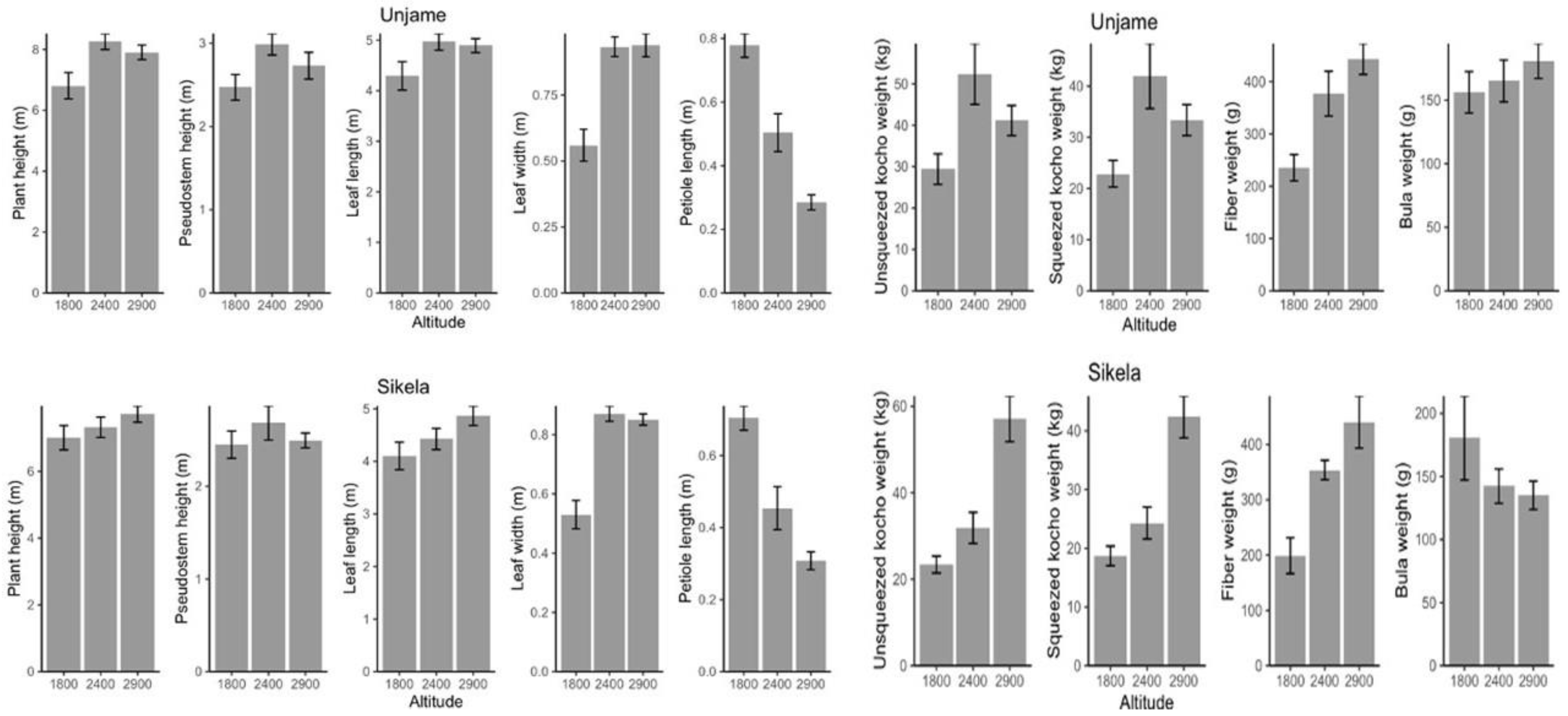
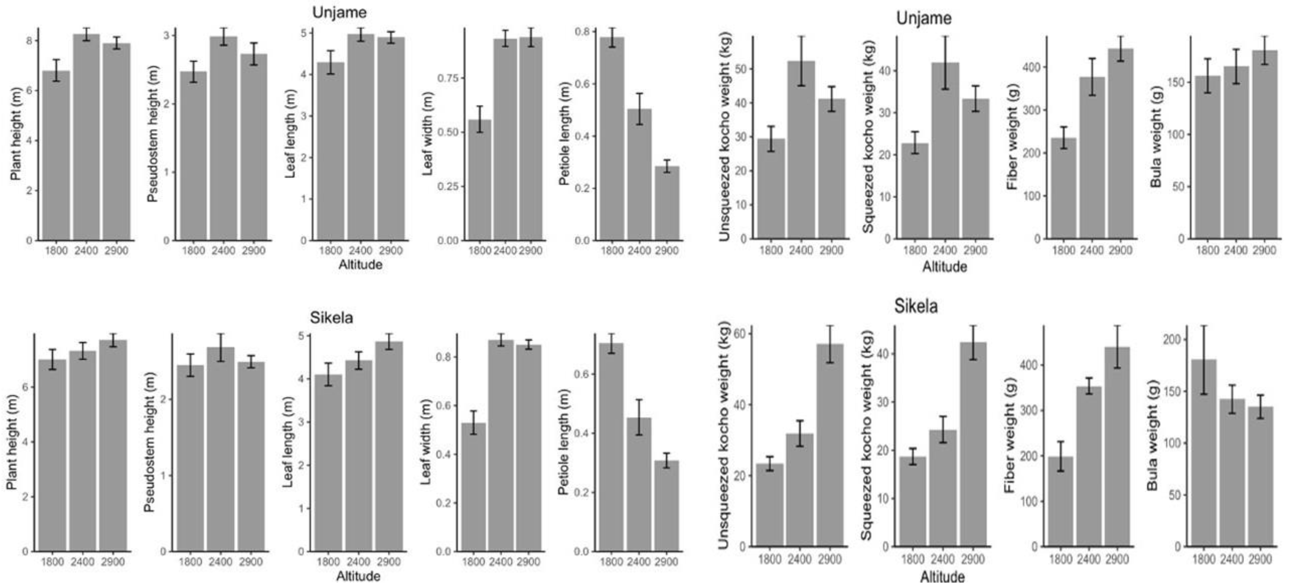
2.1. Enset Growth and Yield Traits across Altitudes
2.2. Allometric Models for Fiber, Kocho, and Bula Yield Estimation
2.3. Allometric Model Validation
2.4. Yield Limiting Factors and Yield Gaps
- The outliers were identified and dropped with the help of scatter and boxplots.
- The relationship between the enset yield parameters and the biophysical constraints were then identified through a Pearson correlation analysis. The major soil chemical factor effects on each of the 4 yield parameters were identified based on the correlation values which ranged from >−0.1 and <0.1.
- For each yield parameter, the maximum yield predicted by the boundary line due to each biophysical factor (Ybf) was then determined.
- Boundary lines graphs between enset yield parameters due to each biophysical factor and the corresponding factor were then fitted assuming a nonlinear relationship.
- The yield gap proportions were then computed as the difference between the attainable yield (Yatt) and Ybf (7), Yatt being the highest bunch weight observed on farmers’ fields.
3. Results and Discussion
3.1. Effect of Altitude on Yield Components
3.2. Allometric Equations to Estimate the Yield
3.2.1. Variable Selection
3.2.2. Allometric Models (for 4 Yield Traits): Fiber Weight, Un-Squeezed Fermented Kocho, Squeezed Fermented Kocho, and Bula Weight
3.2.3. The Yield Limiting Factors Computed Using the Boundary Line Analysis
4. Conclusions and Recommendations
Supplementary Materials
Author Contributions
Funding
Institutional Review Board Statement
Informed Consent Statement
Data Availability Statement
Acknowledgments
Conflicts of Interest
References
- Brandt, S.A.; Spring, A.; Hiebsch, C.; McCabe, J.T.; Tabogie, E.; Wolde-Michael, G.; Tesfaye, S. The “Tree Against Hunger”: Enset based agricultural system in Ethiopia. Am. Assoc. Adv. Sci. 1997, 56, 1–59. [Google Scholar]
- Borrell, J.S.; Biswas, M.K.; Goodwin, M.; Blomme, G.; Schwarzacher, T.; Heslop-Harrison, J.S.; Wendawek, A.M.; Berhanu, A.; Kallow, S.; Janssens, S.; et al. Enset in Ethiopia: A poorly characterized but resilient starch staple. Ann. Bot. 2019, 123, 747–766. [Google Scholar] [CrossRef] [PubMed] [Green Version]
- Borrell, J.S.; Goodwin, M.; Blomme, G.; Jacobsen, K.; Wendawek, A.M.; Gashu, D.; Lulekal, E.; Asfaw, Z.; Demissew, S.; Wilkin, P. Enset-based agricultural systems in Ethiopia: A systematic review of production trends, agronomy, processing and the wider food security applications of a neglected banana relative. Plants People Planet 2020, 2, 212–228. [Google Scholar] [CrossRef]
- Demeke, T. Is Ethiopia’s Ensete ventricosum crop her greatest potential food. Agric. Int. 1986, 38, 362–365. [Google Scholar]
- Reddy, V.R.; Pachepsky, Y.A.; Whisler, F.D. Allometric Relationships in Field-grown Soybean. Ann. Bot. 1998, 82, 125–131. [Google Scholar] [CrossRef] [Green Version]
- Nyombi, K.; van Asten, P.; Leffelaar, P.; Corbeels, M.; Kaizzi, C.; Giller, K. Allometric growth relationships of East Africa highland bananas (MusaAAA-EAHB) cv. Kisansa and Mbwazirume. Ann. Appl. Biol. 2009, 155, 403–418. [Google Scholar] [CrossRef]
- Wairegi, L.W.; van Asten, P.; Tenywa, M.M.; Bekunda, M.A. Abiotic constraints override biotic constraints in East African highland banana systems. Field Crop. Res. 2010, 117, 146–153. [Google Scholar] [CrossRef]
- Tittonell, P.; Vanlauwe, B.; Leffelaar, P.; Giller, K. Estimating yields of tropical maize genotypes from non-destructive, on-farm plant morphological measurements. Agric. Ecosyst. Environ. 2005, 105, 213–220. [Google Scholar] [CrossRef]
- Shank, R.; Ertiro, C. A linear model for predicting Enset plant yield and assessment of kocho production in Ethiopia. World Food Programme, Ministry of Agriculture, Southern Nations, Nationalities, Peoples’ Regional State and UNDP Emergencies Unit for Ethiopia. Addis Ababa: UNDP and WFP. 1996. Available online: https://www.africa.upenn.edu/eue_web/enset96.htm (accessed on 15 January 2021).
- Negash, M.; Starr, M.; Kanninen, M. Allometric equations for biomass estimation of Enset (Ensete ventricosum) grown in indigenous agroforestry systems in the Rift Valley escarpment of southern-eastern Ethiopia. Agrofor. Syst. 2013, 87, 571–581. [Google Scholar] [CrossRef]
- Haile, Y.M. Regression analysis to estimate enset (Ensete ventricosum (Welw.) Cheesman) kocho yield from vegetative linear dimensions. J. Plant Sci. 2014, 2, 43–49. [Google Scholar]
- Mellisse, B.; Descheemaeker, K.; Mourik, M.; Ven, G. Allometric equations for yield predictions of enset (Ensete ventricosum) and khat (Catha edulis) grown in home gardens of southern Ethiopia. Ann. Appl. Biol. 2017, 171, 95–102. [Google Scholar] [CrossRef]
- R Core Team. R: A Language and Environment for Statistical Computing; R Foundation for Statistical Computing: Vienna, Austria, 2020; Available online: https://www.R-project.org/ (accessed on 26 May 2021).
- VSN International Ltd. GenStat, 12th ed. Available online: www.vsni.co.uk (accessed on 25 January 2021).
- Refaeilzadeh, P.; Tang, L.; Liu, H. Cross-Validation. In Encyclopedia of Database Systems; Springer Singapore: Singapore, 2009; pp. 532–538. [Google Scholar]
- Zhang, Y.; Ma, J.; Liang, S.; Li, X.; Li, M. An Evaluation of Eight Machine Learning Regression Algorithms for Forest Aboveground Biomass Estimation from Multiple Satellite Data Products. Remote. Sens. 2020, 12, 4015. [Google Scholar] [CrossRef]
- Raschka, S. Model Evaluation, Model Selection, and Algorithm Selection in Machine Learning. Available online: https://arxiv.org/abs/1811.12808 (accessed on 30 January 2021).
- Gareth, J.; Witten, D.; Hastie, T.; Tibshirani, R. An Introduction to Statistical Learning: With Applications in R Springer Publishing Company, Incorporated 2014. Available online: https://www.ime.unicamp.br/~dias/Intoduction%20to%20Statistical%20Learning.pdf (accessed on 10 January 2021).
- Chai, T.; Draxler, R.R. Root mean square error (RMSE) or mean absolute error (MAE)?–Arguments against avoiding RMSE in the literature. Geosci. Model Dev. 2014, 7, 1247–1250. [Google Scholar] [CrossRef] [Green Version]
- Shatar, T.M.; Mcbratney, A.B. Boundary-line analysis of field-scale yield response to soil properties. J. Agric. Sci. 2004, 142, 553–560. [Google Scholar] [CrossRef]
- Bhattarai, S.; Alvarez, S.; Gary, C.; Rossing, W.; Tittonell, P.; Rapidel, B. Combining farm typology and yield gap analysis to identify major variables limiting yields in the highland coffee systems of Llano Bonito, Costa Rica. Agric. Ecosyst. Environ. 2017, 243, 132–142. [Google Scholar] [CrossRef]
- Wickham, H. ggplot2. Wiley Interdiscip. Rev. Comput. Stat. 2011, 3, 180–185. [Google Scholar]
- National Research Council Lost Crops of Africa; Volume II: Vegetables; National Academies Press: Washington, DC, USA, 2006; Available online: https://infonet-biovision.org/sites/default/files/lost_crops_of_africa_vol_2_vegetables.pdf (accessed on 15 February 2021).
- Taulya, G. East African highland bananas (Musa spp. AAA-EA) ‘worry’more about potassium deficiency than drought stress. Field Crops Res. 2013, 151, 45–55. [Google Scholar] [CrossRef]
- Shara, S.; Swennen, R.; Deckers, J.; Weldesenbet, F.; Vercammen, L.; Eshetu, F.; Woldeyes, F.; Blomme, G.; Merckx, R.; Vancampenhout, K. Altitude and management affect soil fertility, leaf nutrient status and Xanthomonas wilt prevalence in enset gardens. SOIL 2021, 7, 1–14. [Google Scholar] [CrossRef]



| PH # | PSH | PC0 | PCMid | PCPet | LN | Lleng | Lwid | |
|---|---|---|---|---|---|---|---|---|
| PSH | 0.74 *** | |||||||
| PC0 | 0.41 *** | 0.44 *** | ||||||
| PCMid | 0.17 | 0.11 | 0.49 *** | |||||
| PCPet | 0.15 | 0.13 | 0.38 *** | 0.73 *** | ||||
| LN | −0.18 | −0.02 | 0.21 | 0.43 *** | 0.32 ** | |||
| Lleng | 0.80 *** | 0.61 *** | 0.37 *** | 0.24 * | 0.16 | −0.14 | ||
| Lwid | 0.55 *** | 0.39 *** | 0.26 ** | 0.52 *** | 0.48 *** | 0.03 | 0.48 *** | |
| PetLeng | −0.21 | 0.01 | 0.16 | −0.31** | −0.52 *** | 0.09 | −0.17 | −0.61 *** |
| N° of LS | Un-Processed LS Weight | Processed LS Weight | Un-Processed Corm Fresh Weight | Corm Circumference | Corm Height | Processed Corm Fresh Weight | UFK | SFK | Fiber Length | Fiber Weight | |
|---|---|---|---|---|---|---|---|---|---|---|---|
| Un-processed LS weight | 0.56 *** | ||||||||||
| Processed LS weight | 0.71 *** | 0.76 *** | |||||||||
| Un-processed corm fresh weight | −0.05 | 0.16 | 0.14 | ||||||||
| Corm circumference | 0.26 ** | 0.40 *** | 0.44 *** | 0.07 | |||||||
| Corm height | 0.23 ** | 0.46 *** | 0.36 *** | 0.39 *** | 0.49 *** | ||||||
| Processed corm fresh weight | 0.34 *** | 0.63 *** | 0.57 *** | 0.46 *** | 0.66 *** | 0.75 *** | |||||
| UFK | 0.48 *** | 0.76 *** | 0.77 *** | 0.18 | 0.40 *** | 0.40** | 0.59 *** | ||||
| SFK | 0.45 *** | 0.78 *** | 0.75 *** | 0.21 | 0.45 *** | 0.47 *** | 0.63 *** | 0.97 *** | |||
| Fiber length | 0.44 *** | 0.56 *** | 0.60 *** | 0.17 | 0.33** | 0.23 ** | 0.49 *** | 0.63 *** | 0.61 *** | ||
| Fiber weight | 0.49 *** | 0.43 *** | 0.61 *** | −0.08 | 0.34 *** | 0.19 | 0.34 *** | 0.49 *** | 0.48 *** | 0.59 *** | |
| Bula weight | −0.10 | −0.08 | 0.02 | −0.07 | 0.03 | 0.07 | −0.03 | −0.11 | −0.07 | −0.24 | −0.03 |
| PH # | PC0 | PSH | PCMid | PCPet | LN | Lleng | Lwid | PetLeng | |
|---|---|---|---|---|---|---|---|---|---|
| UFK | 0.40 *** | 0.07 | 0.27 * | 0.09 | 0.11 | −0.12 | 0.38 ** | 0.46 *** | −0.37 ** |
| SFK | 0.40 *** | 0.10 | 0.29 ** | 0.10 | 0.10 | −0.12 | 0.35 *** | 0.44 *** | −0.36 ** |
| Fiber weight | 0.38 *** | −0.01 | 0.27 * | 0.19 | 0.25 * | −0.24 * | 0.39 ** | 0.44 *** | 0.50 *** |
| Bula weight | 0.03 | 0.06 | 0.01 | −0.18 | −0.21 | −0.17 | 0.08 | 0.07 | 0.11 |
| Variable | Unjame and Siskela Combined | Siskela | Unjame | |||||||||
|---|---|---|---|---|---|---|---|---|---|---|---|---|
| PC1 | PC2 | PC3 | PC4 | PC1 | PC2 | PC3 | PC4 | PC1 | PC2 | PC3 | PC4 | |
| PH # | −0.4 | 0.3 | −0.1 | 0.0 | −0.4 | 0.3 | −0.2 | 0.0 | −0.4 | 0.2 | −0.1 | 0.0 |
| PSH | −0.3 | 0.4 | 0.0 | −0.1 | −0.3 | 0.4 | −0.3 | −0.1 | −0.3 | 0.3 | 0.1 | −0.3 |
| PC0 | −0.2 | 0.5 | 0.2 | 0.1 | −0.2 | 0.4 | 0.2 | −0.1 | −0.1 | 0.6 | 0.2 | 0.1 |
| LN | 0.1 | 0.2 | 0.7 | 0.1 | 0.0 | 0.3 | 0.7 | −0.3 | 0.2 | 0.2 | 0.5 | 0.3 |
| Lleng | −0.4 | 0.3 | −0.2 | 0.0 | −0.4 | 0.2 | −0.1 | 0.1 | −0.3 | 0.3 | −0.3 | 0.0 |
| Lwid | −0.4 | 0.0 | 0.2 | 0.5 | −0.4 | −0.1 | −0.2 | −0.3 | −0.3 | 0.0 | 0.1 | 0.5 |
| PetLeng | 0.2 | 0.4 | 0.0 | −0.6 | 0.2 | 0.4 | 0.1 | 0.2 | 0.3 | 0.3 | 0.1 | −0.6 |
| UFK | −0.4 | −0.3 | 0.2 | −0.4 | −0.4 | −0.3 | 0.4 | 0.3 | −0.4 | −0.3 | 0.3 | −0.2 |
| SFK | −0.4 | −0.3 | 0.1 | −0.5 | −0.4 | −0.3 | 0.3 | 0.3 | −0.3 | −0.3 | 0.3 | −0.2 |
| Fiber weight | −0.3 | −0.3 | −0.1 | 0.1 | −0.3 | −0.2 | −0.1 | 0.1 | −0.3 | −0.3 | −0.1 | −0.1 |
| Bula weight | 0.0 | 0.2 | −0.6 | 0.0 | 0.1 | 0.2 | 0.0 | 0.8 | −0.2 | 0.0 | −0.6 | 0.1 |
| Eigen value | 3.73 | 1.06 | 1.26 | 0.86 | 3.85 | 2.20 | 0.99 | 0.88 | 3.90 | 1.81 | 1.37 | 1.07 |
| Variance (%) | 38.31 | 21.58 | 13.61 | 8.62 | 38.53 | 22.03 | 11.91 | 9.81 | 38.97 | 18.15 | 13.69 | 10.53 |
| Cumulative variance (%) | 38.31 | 59.90 | 73.51 | 82.12 | 38.53 | 60.56 | 72.47 | 82.28 | 38.97 | 57.12 | 70.81 | 81.34 |
| Enset Landrace | Intercept (s.e) | Lleng (s.e) | Petleng (s.e) | PC0 (s.e) | LN (s.e) | PCMid (s.e) | PCPet (s.e) | PH (s.e) | PSH (s.e) | Lwid (s.e) | Altitude | Adj R2 | Model Sign. | Model Bias | RMSE (Validation) |
|---|---|---|---|---|---|---|---|---|---|---|---|---|---|---|---|
| Fiber weight | |||||||||||||||
| Unjame and Siskela combined | −39 (158) | 40 (18) ** | −163 (106) | - | - | - | - | - | - | - | 0.1 (0.1) ** | 0.55 | 1.48 × 10−9 | 0.0001 | 106.09 |
| 241 (87) ** | 59 (16) *** | −353 (58) *** | - | - | - | - | - | - | - | - | 0.52 | 1.86 × 10−9 | 0.0001 | 108.84 | |
| 337 (317) ** | - | −342 (61) *** | - | −8 (7) | - | - | 30 (12) ** | - | - | - | 0.48 | 5.48 × 10−8 | 0.0001 | 108.33 | |
| 271 (100) ** | - | −350 (61) *** | - | - | - | - | 32 (12) ** | - | - | - | 0.48 | 1.67 × 10−8 | 0.0008 | 109.87 | |
| 493 (97) *** | - | −390 (63) *** | 80 (57) | −12 (7) | - | - | - | - | - | - | 0.43 | 4.70 × 10−7 | 0.0001 | 111.08 | |
| 379 (79) *** | - | −383 (61) *** | - | - | - | - | - | 57 (26) ** | - | - | 0.45 | 6.50 × 10−8 | 0.0001 | 112.04 | |
| 241 (90) ** | 59 (21) ** | −353 (58) *** | - | - | - | - | - | 1 (32) | - | - | 0.51 | 1.18 × 10−8 | 0.0001 | 109.97 | |
| −21 (156) | 52 (19) ** | −200 (107) * | - | - | - | - | - | - | −132 (81) | 0.1 (0.1) ** | 0.57 | 2.18 × 10−6 | 0.0002 | 108.08 | |
| Unjame | 310 (134) ** | 46 (25) * | −362 (79) *** | - | - | - | - | - | - | - | - | 0.52 | 3.52 × 10−5 | 0.0002 | 109.80 |
| 529 (134) *** | - | −551 (131) *** | - | −13 (9) | - | - | 14 (6) ** | - | - | - | 0.55 | 0.0001 | 0.0003 | 108.79 | |
| 292 (140) ** | - | −341 (82) *** | - | - | - | - | 29 (15) * | - | - | - | 0.53 | 3.22 × 10−5 | 0.0002 | 106.54 | |
| 464 (128) ** | - | −402 (78) *** | 117 (75) | −15 (9) * | - | - | - | - | - | - | 0.53 | 8.93 × 10−5 | 0.0004 | 117.06 | |
| 385 (112) ** | - | −377 (79) *** | - | - | - | - | - | 55 (35) | - | - | 0.51 | 5.46 × 10−5 | 0.0006 | 110.09 | |
| 290 (140) ** | 35 (31) | −360 (80) *** | - | - | - | - | - | 27 (43) | - | - | 0.51 | 0.0001 | 0.0011 | 111.14 | |
| −75 (155) | - | - | −16 (7) | - | - | - | 58 (39) | - | 0.2 (0.04) ** | 0.45 | 0.0004 | 0.0011 | 96.16 | ||
| Siskela | 195 (123) | 69 (24) ** | −352 (90) *** | - | - | - | - | - | - | - | - | 0.48 | 0.0001 | 0.0011 | 110.86 |
| 291 (173) | - | −360 (100) ** | - | −7 (12) | - | - | 37 (20) * | - | - | - | 0.37 | 0.0034 | 0.0014 | 122.69 | |
| 150 (206) | 87 (30) ** | - | −20 (13) | 766 (333) ** | -505 (265) ** | - | - | - | - | 0.52 | 0.0013 | 0.0001 | 108.61 | ||
| 254 (156) | - | −368 (97) *** | - | - | - | - | 35 (20) * | - | - | - | 0.39 | 0.0011 | 0.0063 | 116.58 | |
| 383 (121) ** | - | −392 (101) *** | - | - | - | - | - | 55 (45) | - | - | 0.35 | 0.0023 | 0.0089 | 114.37 | |
| 214 (128) | 81 (32) ** | −339 (93) ** | - | - | - | - | - | -31 (53) | - | - | 0.47 | 0.0005 | 0.0045 | 116.27 | |
| −359 (168) ** | - | - | - | −28 (15) * | 601 (229) ** | - | - | - | - | 0.1 (0.10) * | 0.52 | 0.0002 | 0.0011 | 99.36 | |
| Un-squeezed kocho weight | |||||||||||||||
| Unjame and Siskela combined | 16 (16) | 8 (3) ** | −30 (10) ** | - | - | - | - | - | - | - | - | 0.24 | 0.0004 | 0.0200 | 16.12 |
| 14 (16) | 7 (4) * | −31 (11) ** | - | - | - | - | - | 3 (6) | - | - | 0.23 | 0.0012 | 0.0011 | 16.32 | |
| 13 (17) | - | −28 (11) ** | - | - | - | - | 5 (2) ** | - | - | - | 0.23 | 0.0005 | 0.0200 | 15.96 | |
| 8 (13) | - | - | - | - | - | -45 (18) ** | - | - | - | 0.03 (0.01) *** | 0.36 | 2.01 × 10−5 | 0.0076 | 15.51 | |
| −32 (17) * | - | - | - | - | - | - | 4 (2) | - | 4 (16) | 0.02 (0.01) ** | 0.27 | 0.0002 | 0.0052 | 15.50 | |
| Unjame | 8 (22) | - | −28 (15) * | - | - | - | - | - | 18 (7) ** | - | - | 0.25 | 0.0116 | 0.4024 | 16.50 |
| 17 (26) | −4 (6) | −27 (15) * | - | - | - | - | - | 22 (10) ** | - | - | 0.24 | 0.0274 | 0.0041 | 16.61 | |
| −29 (21) | - | - | - | - | - | - | - | 16 (8) ** | 31 (15) * | - | 0.29 | 0.0063 | 0.0043 | 16.50 | |
| Siskela | 16 (19) | 15 (5) ** | −32 (13) ** | - | - | - | - | - | −12 (8) | - | - | 0.38 | 0.0028 | 0.0270 | 14.13 |
| 8 (19) | 10 (4) ** | −36 (14) ** | - | - | - | - | - | - | - | - | 0.34 | 0.0029 | 0.0045 | 13.68 | |
| 16 (24) | - | −37 (15) ** | - | - | - | - | 5 (3) | - | - | - | 0.23 | 0.0177 | 0.0572 | 14.96 | |
| −68 (17) *** | 10 (4) ** | - | - | - | - | - | - | - | −33 (19) * | 0.04 (0.01) *** | 0.63 | 8.70 × 10−6 | 0.0001 | 11.84 | |
| −29 (17) * | - | - | - | - | - | 7 (20) | - | - | - | 0.03 (0.01) *** | 0.50 | 6.64 × 10−5 | 0.0001 | 12.93 | |
| −67 (21) ** | - | - | - | - | - | - | 6 (3) * | - | −40 (21) * | 0.04 (0.01) ** | 0.57 | 3.58 × 10−5 | 0.0002 | 12.23 | |
| Squeezed kocho weight | |||||||||||||||
| Unjame and Siskela combined | 9 (14) | - | −22 (8) ** | - | - | - | - | 4 (2) ** | - | - | - | 0.23 | 0.0005 | 0.0200 | 12.73 |
| 15 (12) | 6 (2) ** | −24 (8) ** | - | - | - | - | - | - | - | - | 0.22 | 0.0008 | 0.0310 | 12.68 | |
| 12 (13) | 4 (3) | −24 (8) ** | - | - | - | - | - | 5 (5.1) | - | - | 0.21 | 0.0019 | 0.0084 | 12.87 | |
| 11 (10) | - | - | - | - | - | −44 (13) ** | - | - | - | 0.02 (0.1) ** | 0.40 | 4.41 × 10−6 | 0.0001 | 11.87 | |
| −26 (14) * | - | - | - | - | - | - | 3 (2) * | - | 0.5 (13) | 0.01 (0.01) ** | 0.26 | 0.0003 | 0.0021 | 12.16 | |
| Unjame | 8 (18) | - | −24 (12) * | - | - | - | - | - | 14 (6) ** | - | - | 0.25 | 0.0120 | 0.2201 | 13.94 |
| 19 (22) | -5 (5) | −27 (13) ** | - | - | - | - | - | 19 (81) ** | - | - | 0.25 | 0.0237 | 0.0046 | 13.52 | |
| 94 (30) ** | - | −46 (14) ** | - | - | - | −47 (23) * | −12 (6) * | 33 (14) ** | - | - | 0.31 | 0.0331 | 0.0011 | 14.78 | |
| Siskela | 14 (14) | 10 (4) ** | −22 (10) ** | - | - | - | - | - | -8 (6) | - | - | 0.33 | 0.0063 | 0.0142 | 10.15 |
| 9 (13) | 7 (3) ** | −25 (10) ** | - | - | - | - | - | - | - | - | 0.31 | 0.0048 | 0.0046 | 9.64 | |
| 11 (17) | - | −25 (10) ** | - | - | - | - | 4 (2) * | - | - | - | 0.23 | 0.0166 | 0.0815 | 10.33 | |
| −18 (12) | - | - | - | - | - | −5 (14) | - | - | - | 0.02 (0.01) *** | 0.48 | 0.0001 | 0.0002 | 9.49 | |
| −59 (15) *** | - | - | - | - | - | - | 6 (2) ** | - | -31 (14) ** | 0.03 (0.01) *** | 0.64 | 6.99 × 10−6 | 0.0001 | 8.49 | |
| 6 (23) | - | −24 (13) * | - | - | - | 1 (19) | 9 (4) ** | -12 (7) | - | - | 0.27 | 0.018 | 0.0161 | 11.25 | |
| Bula weight | |||||||||||||||
| Unjame | 124 (75) | 20 (12) | - | -7 (4) | - | - | - | - | - | - | - | 0.17 | 0.042 | 0.3010 | 43.43 |
| 79 (59) | 41 (15) ** | - | - | - | - | - | - | −39 (21) * | - | - | 0.17 | 0.023 | 0.1010 | 43.49 | |
| Siskela | 328 (117) ** | - | - | 118 (68) * | - | −351 (134) ** | - | - | - | - | - | 0.17 | 0.048 | 0.3012 | 62.56 |
Publisher’s Note: MDPI stays neutral with regard to jurisdictional claims in published maps and institutional affiliations. |
© 2021 by the authors. Licensee MDPI, Basel, Switzerland. This article is an open access article distributed under the terms and conditions of the Creative Commons Attribution (CC BY) license (https://creativecommons.org/licenses/by/4.0/).
Share and Cite
Yemataw, Z.; Said, A.; Dejene, T.; Ocimati, W.; Amwonya, D.; Blomme, G. Estimating Yield Components, Limiting Factors, and Yield Gaps of Enset in Ethiopia Using Easily Measurable Above-Ground Plant Traits. Sustainability 2021, 13, 13255. https://doi.org/10.3390/su132313255
Yemataw Z, Said A, Dejene T, Ocimati W, Amwonya D, Blomme G. Estimating Yield Components, Limiting Factors, and Yield Gaps of Enset in Ethiopia Using Easily Measurable Above-Ground Plant Traits. Sustainability. 2021; 13(23):13255. https://doi.org/10.3390/su132313255
Chicago/Turabian StyleYemataw, Zerihun, Alemar Said, Tesfaye Dejene, Walter Ocimati, David Amwonya, and Guy Blomme. 2021. "Estimating Yield Components, Limiting Factors, and Yield Gaps of Enset in Ethiopia Using Easily Measurable Above-Ground Plant Traits" Sustainability 13, no. 23: 13255. https://doi.org/10.3390/su132313255
APA StyleYemataw, Z., Said, A., Dejene, T., Ocimati, W., Amwonya, D., & Blomme, G. (2021). Estimating Yield Components, Limiting Factors, and Yield Gaps of Enset in Ethiopia Using Easily Measurable Above-Ground Plant Traits. Sustainability, 13(23), 13255. https://doi.org/10.3390/su132313255

