Sign in to use this feature.

Years

Between: -

Subjects

remove_circle_outline
remove_circle_outline
remove_circle_outline
remove_circle_outline
remove_circle_outline
remove_circle_outline
remove_circle_outline
remove_circle_outline
remove_circle_outline

Journals

remove_circle_outline
remove_circle_outline
remove_circle_outline
remove_circle_outline
remove_circle_outline
remove_circle_outline
remove_circle_outline

Article Types

Countries / Regions

remove_circle_outline
remove_circle_outline
remove_circle_outline
remove_circle_outline

Search Results (677)

Search Parameters:
Keywords = uniform convergence

Order results
Result details
Results per page
Select all
Export citation of selected articles as:
26 pages, 5995 KB  
Article
CFD–FEM Coupled Thermal Response Analysis and MATLAB-Based Operating Condition Screening for Edible Kelp Infrared Drying
by Kai Song, Xu Ji, Hengyuan Zhang, Haolin Lu, Yiran Feng and Qiaosheng Han
Processes 2026, 14(9), 1382; https://doi.org/10.3390/pr14091382 (registering DOI) - 25 Apr 2026
Abstract
This study presents an application-oriented CFD–FEM integrated workflow for analyzing chamber-side field non-uniformity and kelp-side thermal response during infrared drying. A three-dimensional steady-state CFD model was first established to reconstruct the chamber temperature, airflow, and incident radiation fields under certain operating conditions. Numerical [...] Read more.
This study presents an application-oriented CFD–FEM integrated workflow for analyzing chamber-side field non-uniformity and kelp-side thermal response during infrared drying. A three-dimensional steady-state CFD model was first established to reconstruct the chamber temperature, airflow, and incident radiation fields under certain operating conditions. Numerical consistency was checked through residual convergence; monitored variables; and global mass balance, for which the net mass imbalance was 0.004077 kg s−1. The reconstructed mid-plane fields were then processed in MATLAB to extract the mean values, extrema, and coefficients of variation, and a composite objective function was used to screen the tested operating conditions in terms of field uniformity, temperature band compliance, and overheating risk. The thermal loads obtained via CFD were subsequently mapped onto a kelp finite element model to simulate the transient surface temperature evolution. Among the tested cases, case01 yielded the lowest composite objective value (J = 0.4535); its mapped kelp response showed a mean surface temperature of 62.23 °C and a maximum temperature of 63.57 °C at the exported time step. The proposed framework is therefore suitable for thermal response assessment and operating condition screening, although determining the full drying behavior still requires coupling of moisture transfer and improved experimental validation. Full article
(This article belongs to the Section Food Process Engineering)
Show Figures

Figure 1

34 pages, 4750 KB  
Article
Adaptive Multiresolution Collocation-Based Sequential Convex Programming for Fuel-Optimal Low-Thrust Transfer Orbit Guidance
by Changzheng Qian, Ning Zhang, Hutao Cui, Shengxin Sun, Wenlai Ma and Jianqiao Zhang
Appl. Sci. 2026, 16(9), 4171; https://doi.org/10.3390/app16094171 - 24 Apr 2026
Abstract
The minimum fuel transfer problem in low-thrust trajectory optimization remains a major challenge and is typically addressed using bang-bang control. A novel methodology integrating Adaptive Multiresolution Collocation (AMRC) and Sequential Convex Programming (SCP) to solve the minimum-fuel low-thrust trajectory optimization problem is proposed. [...] Read more.
The minimum fuel transfer problem in low-thrust trajectory optimization remains a major challenge and is typically addressed using bang-bang control. A novel methodology integrating Adaptive Multiresolution Collocation (AMRC) and Sequential Convex Programming (SCP) to solve the minimum-fuel low-thrust trajectory optimization problem is proposed. First, the approach employs the cubic spline wavelet-like transform for mesh refinement, where wavelet coefficients serve as error indicators to dynamically concentrate nodes in regions of rapid state variation. Then, the nonlinear programming problem is convexified via control variable relaxation and small-perturbation linearization, reformulated as a second-order cone programming (SOCP) problem, and efficiently solved using convex optimization tools. Subsequently, progressive selection of the location points ensures rapid and accurate convergence to the optimal trajectory. Finally, numerical simulations of Earth–Mars and Earth–Venus transfer validate the effectiveness and accuracy of the AMRC-based method. Compared with conventional approaches, the proposed method achieves comparable optimality while markedly improving computational efficiency, precisely localizing switching times, and improving numerical precision, requiring only 29.7% of the nodes and 14.7% of the computation time of uniform-grid convex optimization, achieving fuel-optimal deviations within 0.07% of the indirect method and demonstrating accuracy improvements of 2–3 orders of magnitude over GPOPS. Full article
52 pages, 6858 KB  
Article
Communication-Based Social Network Search Algorithms Are Used for Numerical Optimization and Practical Applications
by Jichao Li, Luyao Chen and Chengpeng Li
Symmetry 2026, 18(5), 712; https://doi.org/10.3390/sym18050712 - 23 Apr 2026
Abstract
To enhance the performance of the Social Network Search (SNS) algorithm in solving complex numerical optimization problems, this paper proposes a Multi-strategy Enhanced Social Network Search (MESNS) algorithm. The original SNS simulates human social behaviors through four decision-making emotions—imitation, conversation, disputation, and innovation—to [...] Read more.
To enhance the performance of the Social Network Search (SNS) algorithm in solving complex numerical optimization problems, this paper proposes a Multi-strategy Enhanced Social Network Search (MESNS) algorithm. The original SNS simulates human social behaviors through four decision-making emotions—imitation, conversation, disputation, and innovation—to perform population-based search. However, its uniform emotion selection mechanism and purely random interaction strategy may reduce convergence efficiency and weaken exploitation capability, particularly in the later stages of optimization. To overcome these limitations, MESNS incorporates three improvement strategies. First, an adaptive decision-making emotion selection mechanism is developed to dynamically adjust the probabilities of exploration and exploitation behaviors according to the iteration progress, thereby promoting a more symmetric and coordinated search transition over time. Second, an elite-guided communication strategy is introduced to enhance information propagation by integrating high-quality individuals into the interaction process, which improves convergence while maintaining population diversity. Third, a dynamic interaction radius adjustment mechanism is designed to adaptively regulate the search step size, achieving a better balance and dynamic symmetry between global exploration and local refinement. Extensive experiments are conducted on the IEEE CEC2014, CEC2017, and CEC2022 benchmark suites under multiple dimensional settings. The results demonstrate that MESNS achieves superior optimization accuracy, faster convergence speed, and improved solution stability compared with several state-of-the-art metaheuristic algorithms. Furthermore, the proposed algorithm is successfully applied to the three-dimensional wireless sensor network deployment optimization problem, where it produces a more uniformly distributed and spatially balanced sensor layout, reduces coverage holes and redundant overlaps, and thus exhibits desirable symmetry in deployment structure and sensing coverage. These findings indicate that MESNS is an effective and competitive optimization framework for complex global optimization tasks with both theoretical significance and practical value from the perspective of symmetry. Full article
(This article belongs to the Special Issue Symmetry/Asymmetry in Optimization Algorithms and Systems Control)
34 pages, 22620 KB  
Article
Improved Secretary Bird Optimization Algorithm Based on Financial Investment Strategy for Global Optimization and Real Application Problems
by Yiming Liu, Bingchun Yuan and Shuqi Yuan
Symmetry 2026, 18(4), 688; https://doi.org/10.3390/sym18040688 - 21 Apr 2026
Viewed by 201
Abstract
This paper proposes a multi-strategy Secretary Bird Optimization Algorithm (MS-SBOA) for solving global optimization problems and 3D wireless sensor network deployment. While preserving the original two-phase search framework of SBOA, the proposed algorithm achieves a dynamic balance between global exploration and local exploitation [...] Read more.
This paper proposes a multi-strategy Secretary Bird Optimization Algorithm (MS-SBOA) for solving global optimization problems and 3D wireless sensor network deployment. While preserving the original two-phase search framework of SBOA, the proposed algorithm achieves a dynamic balance between global exploration and local exploitation through the synergistic integration of multiple enhancement strategies, including a hybrid initialization scheme combining Latin hypercube sampling and quasi-opposition-based learning, a success-history-based adaptive parameter learning mechanism, a finance-inspired market-state trading operator, and an elite-guided population regulation strategy. Experimental results on the IEEE CEC2020 and CEC2022 benchmark test suites demonstrate that MS-SBOA significantly outperforms nine comparative algorithms, including VPPSO, IAGWO, and QHSBOA, under both 10-dimensional and 20-dimensional settings. The proposed algorithm exhibits superior optimization accuracy, faster convergence speed, and stronger robustness. Statistical analyses using the Wilcoxon rank-sum test and the Friedman mean rank test further confirm that the observed performance improvements are statistically significant. Moreover, MS-SBOA is applied to three-dimensional wireless sensor network (3D WSN) deployment optimization problems, where the average coverage rates reach 76.22% and 82.32% for 30-node and 50-node deployment scenarios, respectively. The resulting node distributions are more uniform, and the computational efficiency is improved compared with competing algorithms. Full article
(This article belongs to the Special Issue Symmetry in Optimization Algorithms and Applications)
Show Figures

Figure 1

15 pages, 2129 KB  
Review
Quantitative Imaging Biomarkers of PRP-Induced Tendon Remodelling in Chronic Tendinopathy: Review and Single-Centre Experience with Ultrasound Radiomics and MRI T2 Profiling
by Živa Miriam Geršak, Karlo Pintarić, Jernej Vidmar and Vladka Salapura
Diagnostics 2026, 16(8), 1233; https://doi.org/10.3390/diagnostics16081233 - 20 Apr 2026
Viewed by 147
Abstract
Platelet-rich plasma (PRP) is widely used as a second-line treatment for chronic tendinopathy that persists despite structured conservative care, yet outcomes and imaging correlates remain heterogeneous. This review outlines PRP biology and preparation, summarises quantitative imaging techniques for monitoring tendon response, and presents [...] Read more.
Platelet-rich plasma (PRP) is widely used as a second-line treatment for chronic tendinopathy that persists despite structured conservative care, yet outcomes and imaging correlates remain heterogeneous. This review outlines PRP biology and preparation, summarises quantitative imaging techniques for monitoring tendon response, and presents the experience of a single centre integrating these methods into routine supraspinatus and lateral elbow PRP workflows. PRP is described as an autologous platelet concentrate with variable leukocyte and fibrin content, with leukocyte-rich formulations commonly selected for chronic tendinopathy. Quantitative approaches—including ultrasound shear-wave elastography and radiomics, MRI T2/T2* mapping, CT-based bone metrics, PET/CT, and optical techniques—offer numerical biomarkers of tendon structure, mechanics, and inflammation but are rarely implemented in PRP trials. At the authors’ centre, leukocyte-rich PRP is injected under ultrasound guidance after failed physiotherapy, and follow-up combines validated questionnaires with grey-level run-length matrix texture analysis of ultrasound and 3.0 T MRI T2 distribution profiling. A pilot ultrasound study in supraspinatus and common extensor tendinosis showed uniform short-term clinical improvement and significant changes in most texture features, with selected parameters correlating with symptom relief. A prospective supraspinatus cohort demonstrated significant six-month clinical gains in both tendinosis and small partial-thickness tears, whereas only the tendinosis group exhibited T2 profile convergence toward asymptomatic patterns. These data indicate that quantitative ultrasound radiomics and whole-length T2 profiling are feasible imaging biomarkers that capture PRP-induced tendon remodelling beyond qualitative imaging and may help tailor PRP protocols to specific tendon phenotypes. Full article
(This article belongs to the Special Issue Advances in Musculoskeletal Radiology)
Show Figures

Figure 1

32 pages, 3626 KB  
Article
Aerodynamic Optimization of Relay Nozzle Using a Chebyshev KAN Surrogate Model Integration and an Improved Multi-Objective Red-Billed Blue Magpie Optimizer
by Min Shen, Ziqing Zhang, Guanxing Qin, Dahongnian Zhou, Lizhen Du and Lianqing Yu
Biomimetics 2026, 11(4), 282; https://doi.org/10.3390/biomimetics11040282 - 18 Apr 2026
Viewed by 190
Abstract
In air jet looms, relay nozzles are critical components in governing airflow velocity and air consumption during the weft insertion process. Although computational fluid dynamics (CFD) offers high-fidelity simulation for aerodynamic analysis, its computational burden hinders its practicality in iterative aerodynamic design of [...] Read more.
In air jet looms, relay nozzles are critical components in governing airflow velocity and air consumption during the weft insertion process. Although computational fluid dynamics (CFD) offers high-fidelity simulation for aerodynamic analysis, its computational burden hinders its practicality in iterative aerodynamic design of relay nozzles. To address the challenge, this study proposes a data-driven framework integrating a Chebyshev polynomial Kolmogorov–Arnold Network (Chebyshev KAN) surrogate model with an Improved Multi-objective Red-billed Blue Magpie Optimizer (IMORBMO). The accuracy of the Chebyshev KAN model was benchmarked against conventional multilayer perceptrons (MLP), convolutional neural networks (CNN), and the standard Kolmogorov–Arnold Network (KAN). Experimental results demonstrate that the Chebyshev KAN model achieves the lowest mean absolute error (MAE) of 0.103 for airflow velocity and 0.115 for air consumption. Building upon the non-dominated sorting and crowding distance strategies, IMORBMO was developed, incorporating an adaptive mutation mechanism by information entropy for improvement of convergence, diversity, and uniformity of the Pareto-optimal solutions. Comprehensive evaluations on the ZDT and WFG benchmark suites confirm that the IMORBMO consistently attains the best and highly competitive performance, yielding the lowest generation distance (GD), inverted generational distance (IGD) values and the highest hypervolume (HV). Applied to the aerodynamic optimization of a relay nozzle, the proposed framework delivers an optimal aerodynamic design that increases airflow velocity by 10.5% while reducing air consumption by 15.4%, as verified by CFD simulation. The steady-state flow field was simulated by solving the Reynolds-Average NavierStokes equations with the kω turbulent model, utilizing Fluent 2025.R2. No-slip wall, inlet pressure and outlet pressures are boundary conditions to the relay nozzle surfaces. This work establishes a computationally efficient and accurate optimization paradigm that holds significant promise for aerodynamic design and other complex real-world engineering applications. Full article
(This article belongs to the Section Biological Optimisation and Management)
17 pages, 3075 KB  
Article
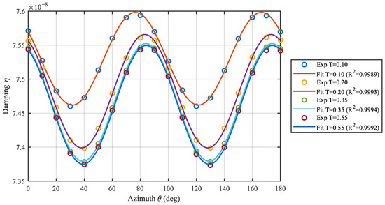
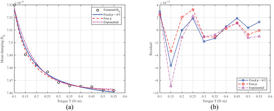
Torque-Dependent Anchor Loss and Fourth-Harmonic Damping Anisotropy in Coriolis Vibratory Gyroscopes
by Ning Wang, Zhennan Wei, Guoxing Yi, Yanyu Sun and Changhong Wang
Sensors 2026, 26(8), 2483; https://doi.org/10.3390/s26082483 - 17 Apr 2026
Viewed by 151
Abstract
The quality factor (Q) and its circumferential non-uniformity are essential for the resolution and long-term stability of Coriolis vibratory gyroscopes (CVGs). In practice, packaging and mounting anchors introduce torque-dependent and circumferentially non-uniform anchor dissipation, resulting in harmonic damping anisotropy. This paper [...] Read more.
The quality factor (Q) and its circumferential non-uniformity are essential for the resolution and long-term stability of Coriolis vibratory gyroscopes (CVGs). In practice, packaging and mounting anchors introduce torque-dependent and circumferentially non-uniform anchor dissipation, resulting in harmonic damping anisotropy. This paper presents an energy-consistent framework that quantitatively relates the tightening torque to both the mean damping factor η=1/Q and its circumferential harmonic components. A hemispherical resonator gyroscope (HRG) is used for validation, where the dominant component is the fourth harmonic. By decomposing the energy dissipated per cycle, anchor loss is separated into friction loss and radiation loss. The friction channel is modeled using a partial-slip contact energy loss formulation combined with an equivalent tangential impedance coupling description, leading to a torque power-law scaling suitable for parameter identification. The radiation channel is described by an impedance coupling model that captures torque-enhanced anchor stiffness and potential saturation leakage under strong coupling. Controlled torque experiments show that η(ϑ) exhibits an almost pure fourth-harmonic dependence on the standing wave orientation for all tested torques. Within the accessible torque range, the mean damping decreases slightly with torque, while the harmonic amplitude increases and the phase progressively converges, supporting a friction-dominated interpretation. The phase convergence further suggests progressive stabilization of the contact state. The proposed approach provides quantitative guidance for torque selection and anchor structure design in resonant gyroscopes. Full article
Show Figures

Figure 1

29 pages, 1552 KB  
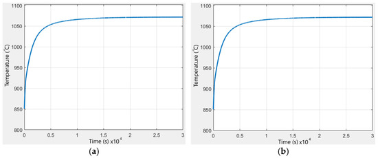
Article
Coupled Electro-Thermal Modeling of the Temperature Field in an Aluminum Reduction Cell Using the Finite Difference Method
by I. M. Novozhilov, A. N. Ilyushina and K. V. Martirosyan
Processes 2026, 14(8), 1284; https://doi.org/10.3390/pr14081284 - 17 Apr 2026
Viewed by 192
Abstract
The energy-intensive nature of primary aluminum production necessitates advanced computational tools for process optimization. This study presents a coupled electro-thermal model of an aluminum reduction cell, developed within the framework of smart manufacturing. Using the finite difference method (FDM) implemented in MATLAB R2025b, [...] Read more.
The energy-intensive nature of primary aluminum production necessitates advanced computational tools for process optimization. This study presents a coupled electro-thermal model of an aluminum reduction cell, developed within the framework of smart manufacturing. Using the finite difference method (FDM) implemented in MATLAB R2025b, the model resolves the three-dimensional configuration of a cell with eight prebaked anodes across four distinct physical domains (electrolyte, anodes, cathode, and gas phase). The computational grid comprises approximately 45,000 nodes with refined vertical resolution (Δz = 0.025 m) in the interelectrode gap. The electrostatic solution converges within 150–200 iterations using successive over-relaxation (SOR, ω = 1.5), with a total runtime under 15 min for 30,000 s of simulated physical time on a standard desktop workstation. Simulation results reveal characteristic temperature profiles with maxima reaching 1150 °C and a thermal uniformity index of approximately 130 °C across the central cross-section. The predicted specific energy consumption of 14.0 MWh/t Al aligns with industrial benchmarks. This computationally accessible virtual testbed enables rapid assessment of design modifications and process parameters, supporting the goals of energy efficiency and enhanced operational stability in primary aluminum production. Full article
(This article belongs to the Topic Digital Manufacturing Technology)
Show Figures

Figure 1

25 pages, 2471 KB  
Article
Boosting the Diversity of a Similarity-Aware Genetic Algorithm Using a Siamese Network for Optimized S-Box Generation
by Ishfaq Ahmad Khaja, Musheer Ahmad and Louai A. Maghrabi
Entropy 2026, 28(4), 460; https://doi.org/10.3390/e28040460 - 17 Apr 2026
Viewed by 219
Abstract
A difficult NP-hard optimization problem, designing cryptographically robust substitution-boxes (S-boxes) necessitates a careful balancing act between several conflicting properties, such as differential uniformity and nonlinearity. Genetic Algorithms (GAs) have been widely used for this task; however, their performance is often limited by premature [...] Read more.
A difficult NP-hard optimization problem, designing cryptographically robust substitution-boxes (S-boxes) necessitates a careful balancing act between several conflicting properties, such as differential uniformity and nonlinearity. Genetic Algorithms (GAs) have been widely used for this task; however, their performance is often limited by premature convergence and insufficient diversity during crossover operations. This primarily occurs because genetic algorithms commence with limited a priori knowledge. This sort of “blindness” and failure to utilize local knowledge results in diminished performance. In GA, the crossover operations facilitate the dissemination of robust candidates within the population. Conventionally, GA implements crossover for each pair of parents for diversity and a robust solution. However, this is not invariably the situation. To enhance children’s candidacy, parental diversity is quite crucial. This paper proposes a similarity-aware crossover strategy, integrated with a Siamese learning framework, to guide the genetic algorithm for improved S-box optimization with better diversity and faster convergence by utilizing parental local information. The proposed model is similarity-aware to guarantee that the GA improves parental diversity. When the parents exhibit excessive similarity, a “regressive” crossover is opted, which ensures the propagation of a parental couple with sufficient diversity to produce superior offspring. The proposed similarity-aware GA model is applied and evaluated to generate cryptographically robust and optimized S-boxes. To verify the robustness in terms of diversity, the model has been tested using three different loss functions: contrastive loss, KL divergence loss, and the suggested method of combining both loss functions to form a hybrid loss function. The effectiveness of the proposed approach is demonstrated through the generation of high-quality S-boxes with strong cryptographic properties. Full article
Show Figures

Figure 1

19 pages, 303 KB  
Article
Uniform Approximation by Rational Functions with Prescribed Poles: Operator-Theoretic Perspective and Symmetries
by Carlo Cattani
Symmetry 2026, 18(4), 665; https://doi.org/10.3390/sym18040665 - 16 Apr 2026
Viewed by 136
Abstract
In this paper, the uniform approximation of continuous functions on [0,1] by rational functions with prescribed poles and bounded multiplicities is studied. A classical theorem of Fichera characterizes density in C([0,1]) through [...] Read more.
In this paper, the uniform approximation of continuous functions on [0,1] by rational functions with prescribed poles and bounded multiplicities is studied. A classical theorem of Fichera characterizes density in C([0,1]) through the divergence of a conformally invariant series involving the pole distribution. A modern reformulation of this result is developed and it is given an operator-theoretic interpretation in which the approximation property is equivalent to cyclicity and to the absence of nontrivial invariant subspaces in an associated Hardy-space model. In this framework, the classical Blaschke condition emerges as the fundamental obstruction to density, linking rational approximation to the structure of model spaces and non-selfadjoint operator algebras. The density criterion is interpreted in terms of symmetry: divergence corresponds to a balanced distribution of poles compatible with the conformal geometry of the slit domain, while convergence induces symmetry breaking and the emergence of invariant structures. Numerical models illustrate the sharpness of the criterion and provide a concrete manifestation of the Blaschke obstruction and cyclicity mechanism. This new approach places Fichera’s theorem within a broader operator-theoretic and spectral framework, connecting classical approximation theory with Hardy spaces, invariant subspace theory, and modern rational approximation methods. Full article
(This article belongs to the Special Issue Symmetry in Complex Analysis Operators Theory)
11 pages, 43881 KB  
Article
DMD-Based Programmable Beam Shaping for Optical Potential Engineering
by Feifan Zhao, Fangde Liu, Yunda Li, Mingqing Yuan, Xinjiang Yao, Jiahao Wang, Zhuxiong Ye, Liangchao Chen, Lianghui Huang, Pengjun Wang, Wei Han and Zengming Meng
Photonics 2026, 13(4), 372; https://doi.org/10.3390/photonics13040372 - 14 Apr 2026
Viewed by 320
Abstract
Precise control of optical intensity distributions is important for beam shaping, optical trapping, and optical potential engineering. We implement a digital micromirror device (DMD)-based programmable beam-shaping platform for generating high-fidelity optical intensity distributions with user-defined geometries. The approach combines precise system calibration, Fourier-plane [...] Read more.
Precise control of optical intensity distributions is important for beam shaping, optical trapping, and optical potential engineering. We implement a digital micromirror device (DMD)-based programmable beam-shaping platform for generating high-fidelity optical intensity distributions with user-defined geometries. The approach combines precise system calibration, Fourier-plane spatial filtering via an optimized pinhole, and an iterative intensity feedback algorithm to transform imperfect Gaussian input beams into flat-top, lattice, and composite intensity distributions. The feedback loop typically converges within seven iterations, producing highly uniform flat-top profiles with 98.7% uniformity (corresponding to a root-mean-square error (RMSE) of 1.3%). Systematic studies identify the optimal Fourier-plane aperture that balances diffraction suppression with optical throughput. These results demonstrate a practical route to programmable beam shaping and optical intensity control. Full article
(This article belongs to the Special Issue Advanced Research in Quantum Optics)
Show Figures

Figure 1

28 pages, 4043 KB  
Article
Comparative Benchmarking of Multi-Objective Algorithms for Renewable Energy System Design Using Pareto Front Quality Metrics
by Raphael I. Areola, Abayomi A. Adebiyi and Dwayne J. Reddy
Appl. Sci. 2026, 16(8), 3775; https://doi.org/10.3390/app16083775 - 12 Apr 2026
Viewed by 444
Abstract
Selecting the best multi-objective algorithms for photovoltaic energy storage system (PV-ESS) design remains challenging due to limited benchmarking across renewable energy studies. This study addresses this gap through a systematic evaluation of four widely used multi-objective optimization algorithms: NSGA-II, Multi-Objective Particle Swarm Optimization [...] Read more.
Selecting the best multi-objective algorithms for photovoltaic energy storage system (PV-ESS) design remains challenging due to limited benchmarking across renewable energy studies. This study addresses this gap through a systematic evaluation of four widely used multi-objective optimization algorithms: NSGA-II, Multi-Objective Particle Swarm Optimization (MOPSO), weighted-sum scalarization, and ε-constraint methods. Performance assessment utilized three Pareto front quality metrics: Inverted Generational Distance (IGD) for convergence quality, hypervolume (HV) for objective-space coverage, and spacing for solution distribution uniformity. The algorithms were tested on PV-ESS design problems in three developing economies (Nigeria, South Africa, India) under identical problem formulations and computational resources. NSGA-II achieved superior performance across all metrics in all three case studies. For convergence quality, NSGA-II attained a mean IGD of 0.0083, outperforming MOPSO by 29%, ε-constraint by 64%, and weighted-sum by 131%. For objective-space coverage, NSGA-II achieved a mean HV of 0. 700, representing 10–16% better coverage than other methods. For solution distribution, NSGA-II showed a mean spacing of 0.076, indicating 30–117% more uniform Pareto fronts. Computational efficiency analysis revealed that NSGA-II’s runtime is between 5.5 and 7.8 h per case, providing better quality–time ratios compared to ε-constraint methods (which are 18 times slower), while avoiding MOPSO’s premature convergence. Statistical validation confirmed NSGA-II’s superiority, with p < 0.01 across all quality metrics. These results establish NSGA-II as the best algorithm for lifecycle-aware PV-ESS optimization, offering quantitative, evidence-based guidance for practitioners selecting optimization tools for renewable energy system design. The demonstrated performance leads to $ 45,000–$ 60,000 lifecycle cost savings per MW/MWh of system capacity through improved Pareto front identification. Full article
(This article belongs to the Special Issue New Trends in Neural Networks and Artificial Intelligence)
Show Figures

Figure 1

37 pages, 1800 KB  
Article
TOD-Oriented Multi-Objective Optimization of Land Use Around Metro Stations in China: An Empirical Study of Xi’an Based on an Adaptively Improved NSGA-III Algorithm
by Wei Li and Hong Chen
Land 2026, 15(4), 629; https://doi.org/10.3390/land15040629 - 11 Apr 2026
Viewed by 434
Abstract
Against the backdrop of high-quality urbanization in cities, the rapid expansion of metro networks has led to severe spatial mismatches in land use around station areas, which seriously restricts the full exertion of the comprehensive benefits of the transit-oriented development (TOD) model. Taking [...] Read more.
Against the backdrop of high-quality urbanization in cities, the rapid expansion of metro networks has led to severe spatial mismatches in land use around station areas, which seriously restricts the full exertion of the comprehensive benefits of the transit-oriented development (TOD) model. Taking 139 operational metro stations in Xi’an in 2024 as the research sample, this study constructs a multi-objective land use optimization model with the richness of public services, transportation accessibility and population distribution balance as the three core maximization objectives. A hierarchically adaptive improved NSGA-III algorithm is proposed, with the following four key technical optimizations implemented: multi-dimensional adaptive reference point adjustment, design of real-integer hybrid coding genetic operators, construction of an enhanced multi-criteria environmental selection mechanism, and dynamic regulation of algorithm iteration. Experimental results show that the performance of the improved algorithm is significantly superior to that of the traditional NSGA-III algorithm: the values of the three core objectives are increased by 59.58%, 12.94% and 7.35% respectively compared with the original data; the algorithm achieves stable convergence after 25 iterations, with the convergence efficiency improved by 30%. The obtained Pareto optimal front features good uniformity (U = 0.92) and coverage (C = 0.95), and all the 80 non-dominated solutions meet all constraint conditions, with the solution set highly coupled with the urban functional zoning and spatial planning of Xi’an. This study proposes a zoned, prioritized and phased hierarchical land use optimization strategy for the areas around metro stations in Xi’an. The research findings provide a replicable research framework and methodological reference for the TOD practice and land use optimization of metro station areas in other rapidly urbanizing central cities in China and developing countries worldwide with the characteristic of rapid rail transit expansion. Full article
Show Figures

Figure 1

26 pages, 2531 KB  
Article
Underwater Acoustic Source DOA Estimation for Non-Uniform Circular Arrays Based on EMD and PWLS Correction
by Chuang Han, Boyuan Zheng and Tao Shen
Symmetry 2026, 18(4), 627; https://doi.org/10.3390/sym18040627 - 9 Apr 2026
Viewed by 330
Abstract
Uniform circular arrays (UCAs) are widely used in underwater source localization due to their omnidirectional coverage. However, random sensor position errors caused by installation inaccuracies and environmental disturbances convert UCAs into non-uniform circular arrays (NCAs), severely degrading the performance of high-resolution direction of [...] Read more.
Uniform circular arrays (UCAs) are widely used in underwater source localization due to their omnidirectional coverage. However, random sensor position errors caused by installation inaccuracies and environmental disturbances convert UCAs into non-uniform circular arrays (NCAs), severely degrading the performance of high-resolution direction of arrival (DOA) estimation algorithms. To address this issue, this paper proposes a robust DOA estimation method that integrates empirical mode decomposition (EMD) denoising with prior-weighted iterative least squares (PWLS) correction. The method first applies EMD to adaptively denoise received signals by selecting intrinsic mode functions based on a combined energy-correlation criterion. An initial DOA estimate is then obtained using the MUSIC algorithm. Finally, a PWLS correction algorithm leverages prior knowledge of deviated sensors to iteratively fit the circle center and gradually pull sensor positions toward the ideal circumference, using a differentiated relaxation mechanism to suppress outliers while preserving geometric features. Systematic Monte Carlo simulations compare five correction algorithms under multi-frequency and wideband signals. The results show that both multi-frequency and wideband signals reduce estimation errors to below 0.1°, with the proposed PWLS achieving the best accuracy under multi-frequency signals, while all algorithms approach zero error under wideband signals. The PWLS algorithm converges in about 10 iterations with high computational efficiency, providing a reliable solution for practical underwater NCA applications. Full article
(This article belongs to the Section Engineering and Materials)
Show Figures

Figure 1

22 pages, 1625 KB  
Article
Cardiovascular Risks of COVID-19 Therapeutics: Integrated Analysis of FAERS, Electronic Health Records, and Transcriptomics
by Xinran Zhu, Suguna Aishwarya Kuppa, Gibret Umeukeje, Robert Morris, Lan Bui, Kun Bu, Jie Zhang, Jin Wei and Feng Cheng
Pharmaceuticals 2026, 19(4), 574; https://doi.org/10.3390/ph19040574 - 2 Apr 2026
Viewed by 507
Abstract
Background/Objectives: The purpose of this study was to investigate the association between cardiovascular adverse drug events (ADEs) and the use of COVID-19 medicines. Methods: The analyses were conducted by leveraging pharmacovigilance data from the Food and Drug Authority (FDA) Adverse Event [...] Read more.
Background/Objectives: The purpose of this study was to investigate the association between cardiovascular adverse drug events (ADEs) and the use of COVID-19 medicines. Methods: The analyses were conducted by leveraging pharmacovigilance data from the Food and Drug Authority (FDA) Adverse Event Reporting System (FAERS) and TriNetX electronic health records (EHRs). Transcriptomic data from human embryonic stem cell-derived cardiomyocytes (hESC-CMs) exposed to remdesivir were analyzed to provide supportive biological context for the observed cardiovascular safety signals. Results: Comparative analysis of three approved COVID-19 therapies revealed that COVID-19 patients treated with remdesivir had a higher risk of cardiovascular events than those treated with Paxlovid or REGEN-COV. FAERS analysis further indicated that bradycardia, hypotension, and cardiac arrest were the most frequently reported cardiovascular events associated with remdesivir, which was validated by propensity score-matched EHR data. These findings suggest an association between remdesivir exposure and increased cardiovascular ADEs relative to other COVID-19 therapies. Sex-stratified analysis using FAERS and EHR did not show strong sex-dependent patterns for remdesivir-associated cardiovascular ADEs. Age-stratified analyses of EHR data showed age-associated variation across the three cardiovascular ADEs. Bradycardia displayed a non-uniform pattern with higher prevalence in the youngest and oldest age groups, hypotension showed an overall age-associated increase, and cardiac arrest showed only a weak age-associated effect. Pathway enrichment analysis on transcriptomic data revealed that the “cGMP-PKG signaling pathway”, “dilated cardiomyopathy”, and “calcium signaling pathway” were enriched among genes up-regulated by remdesivir exposure. Conclusions: In summary, our integrated analysis of pharmacovigilance, EHR, and transcriptomic data provides convergent evidence for associations between remdesivir and cardiovascular ADEs and offers biological context into these associations. Full article
Show Figures

Graphical abstract

Back to TopTop