Next Article in Journal
Comparative Analysis of CNN and LSTM for Bearing Fault Mode Classification and Causality Through Representation Analysis
Previous Article in Journal
Study on Transient Thermal Characteristics of Aviation Wet Clutches with Conical Separate Discs for Helicopters in Successive Shifting
 
 
Font Type:
Arial Georgia Verdana
Font Size:
Aa Aa Aa
Line Spacing:
Column Width:
Background:
Article

Improving Coating Stability Using Slip Conditions: An Analytical Approach to Curtain Coating

1
Department of Mathematics & Statistics, International Islamic University, Islamabad 44000, Pakistan
2
Department of Mathematics, Pennsylvania State University, York Campus, 1031 Edgecomb Avenue, York, PA 17403, USA
3
Department of Mathematics, The Islamia University of Bahawalpur, Bahawalpur 63100, Pakistan
*
Author to whom correspondence should be addressed.
Lubricants 2026, 14(1), 11; https://doi.org/10.3390/lubricants14010011
Submission received: 26 November 2025 / Revised: 19 December 2025 / Accepted: 24 December 2025 / Published: 27 December 2025
(This article belongs to the Special Issue Wear-Resistant Coatings and Film Materials, 2nd Edition)

Abstract

Curtain deflector coating is a widely employed technique for producing thin, uniform films in numerous industrial applications. The flow dynamics in curtain coating become complex near the corner region due to the interaction of the moving substrate and the falling liquid curtain. In this study, an analytical investigation is conducted for the steady, in-compressible, and creeping flow of a Maxwell fluid, under the Navier slip condition at the substrate. The mathematical model is derived from the conservation of mass and momentum representing the nonlinear system which is solved using the Langlois recursive technique in combination with the inverse method. The inclusion of the Navier slip boundary condition in this research makes it novel and remove the singularity which produce the unstable stresses at a sharp corner due to no slip, but the Navier slip gives a stable solution for the stresses at a sharp corner. The analysis demonstrates that substrate slip significantly reduces tangential stresses and enhances the stability of the coating flow. Residual error analysis is also performed to verify the accuracy and convergence of the analytical solutions. The results provide a deeper understanding of how slip effects can be utilized to improve coating uniformity and optimize the operational performance of curtain deflector coating systems.

1. Introduction

Coating processes are widely employed in industry to deposit thin liquid or solid layers on moving substrates, with applications ranging from paper and packaging to electronics, optics, and biomedical devices. The primary goal is to achieve uniform films at high operating speeds while minimizing material waste and surface defects. A variety of techniques, such as blade coating [1], slot-die coating [2], and dip coating [3], have been developed, each with its own advantages and limitations. The curtain-deflector coating presents several distinct advantages that enhance its suitability for producing continuous, defect-free coatings:
Curtain coating can operate at very high web speeds (hundreds of m/min), making it suitable for mass production (e.g., photographic films, packaging, paper, and polymer coatings).
Several liquid layers can be coated at once without intermixing, which is valuable for multilayer products (e.g., batteries, OLEDs, barrier films).
The free-falling curtain naturally levels itself, producing a smooth, defect-free film with uniform thickness across large widths.
Almost all of the liquid in the curtain is deposited on the substrate, making the process highly material-efficient.
Since the curtain does not touch the substrate before deposition, it avoids streaks, scratches, or defects caused by doctor blades or rolls.
Coating thickness can be controlled precisely by adjusting the flow rate and web speed.
Among these, curtain coating has received significant interest because it was capable of forming very smooth layers at industrially relevant speeds. In this process, a free-falling liquid curtain strikes the substrate and, in this way, a smooth coverage over a wide range is possible [4,5]. To provide a further level of control over the flow, a deflector is introduced in the curtain coating process which directs and stabilizes the curtain prior to landing on the substrate. Experimental visualization of curtain coating flows was reported by Kashiwabara et al. [6] in 1992, who pointed out the formation and stability of curtain liquid at various operating conditions, which provided important qualitative information on the flow behavior and instabilities. Schweizer [7] has presented a detailed description of the peculiarities of curtain coating in 2022, discussing its distinctive benefits, working conditions, and comparing it to other pre-metered coating techniques. In more recent times, numerical simulations of curtain formation were performed by Zhan et al. [8], determining flow regimes with an advanced mechanistic understanding of curtain formation and stability.
The curtain deflector coating does not only ensure uniformity and minimizes instabilities but also forms a corner flow region between the curtain and the moving surface. The study of corner flows has attracted attention because of the inherent complexity of these flows and their application in the coating technology. One of the first systematic models of the flow that exists at a doctor blade in a coating apparatus was given by Strauss [9], which showed how the blade edge creates strong gradients in stress and velocity which control the quality of the applied film. This initial study was the basis on which subsequent studies on coating flows were performed and formed the incentive to learn about fluid motion in confined geometries. Building upon viscous flow theory, Cox [10] developed a rigorous analysis of liquid spreading on solid surfaces under creeping-flow conditions, establishing scaling laws and asymptotic behavior that remain central in the theoretical framework of wetting and coating. Bhatnagar et al. [11] studied Oldroyd-B fluid flow between intersecting planes and established that fluid elasticity does not only change the corner-flow structure, but also suppresses singularities and redistributes stress. Their findings indicated that viscoelastic contributions are important in coating flows when sharp edges or moving surfaces are used. In addition to this, Hills et al. [12] further generalized the paint-scraper problem of Taylor by introducing the notion of rotary honing, showing that rotating boundaries can generate closed streamline regions whose geometry directly influences coating efficiency.
Further progress was made by Siddiqui et al. [13], who analyzed the creeping motion of a second-grade fluid in a corner and concluded that non-Newtonian effects significantly modify the velocity field and stress distribution compared with Newtonian fluids, reinforcing the necessity of considering complex fluid behavior in real-world processes. In parallel, Taylor et al. [14] examined viscoplastic corner eddies, producing fundamentally different corner dynamics than those observed in purely viscous or viscoelastic fluids. These studies established that both elasticity and plasticity strongly influence the local flow topology in intersecting-plate geometries. Rehman et al. [15] analyzed the Jaffrey–Hamel flow of an Oldroyd-B fluid between intersecting plates, showing that elasticity affects flow stability and symmetry, thereby providing deeper insights into the role of viscoelastic stresses in corner geometries. Finally, Yim et al. [16] offered a detailed analysis of low-speed blade coating flows, showing that the flow can be decomposed into a flow offered by Taylor, thus linking the theoretical framework of corner flows with the operational parameters of industrial coating. These contributions demonstrated that early studies emphasized the singular structure of Newtonian corner flows, whereas modern investigations reveal that viscoelasticity [17], viscoplasticity, and moving boundary effects profoundly reshape the flow field and making corner-flow analysis indispensable for advancing coating science and related applications.
The Navier slip boundary condition has theoretical and practical importance in the corner flow problems. Singularities at the sharp edge have been removed by including a slip effect which leads to a more realistic model of the fluid behavior near sharp edges. Bolanos et al. [18] used the Navier slip condition for viscous flow over a rough surface, which allows fluid to flow on a solid surface with a finite slip proportional to the local shear stress, in contrast to the classical no-slip condition which assumes zero relative motion between the fluid and the wall. One of the first systematic studies of the moving contact line problem was carried out by Dussan [19], where it was demonstrated that the classical no-slip boundary condition causes a singularity in stress. This paper has shown that the mathematical inconsistency can be eliminated by introducing slip at the solid–liquid interface which provides a physically realistic description of contact-line motion. Subsequently, Thompson et al. [20] applied molecular dynamics simulations to study how the dynamics of moving contact lines depend on the molecular scale, confirming that slip naturally arises at molecular scales, and it directly influences the velocity of the contact line and dynamics at the contact angle. Their findings formed a solid microscopic foundation of the slip boundary condition, thus connecting continuum fluid mechanics to molecular-level dynamics. The combination of these works underlies the contemporary knowledge on effects of slips in moving contact line problems, inspiring further theoretical and numerical work. Along similar lines, Koplik et al. [21] studied the corner flows in the sliding plate problem with molecular dynamics simulations, and examined the singularity of the stresses at the corners. They showed that slip at the wall is a natural molecular-scale phenomenon and is essential in the regularization of the stress singularities. He et al. [22] numerically studied the classical driven cavity problem incorporating the Navier slip boundary condition, and they found out that the existence of the slip significantly alters the flow structure by eliminating corner singularities and smoothing velocity gradient at the walls. Vieru et al. [23] studied the Stokes flow of a Maxwell fluid generated by the motion of a translating wall, incorporating slip boundary conditions. He examined the fact that the slip at the boundary fundamentally alters the flow behavior of a Maxwell fluid. While no-slip conditions lead to a discontinuity in velocity across a vortex sheet, the presence of slip ensures that the velocity remains continuous at all positions. The analysis further shows that the slip coefficient has a significant influence on both the velocity field and stress at the wall. Dawar et al. [24] investigated the magneto hydrodynamic flow of a Maxwell fluid past on an exponentially stretching sheet, where the stretching surface is assumed to be slippery through the imposition of a velocity slip boundary condition. Their results highlighted the importance of slip length in controlling vortex strength and overall flow stability. Furthermore, Tauviqirrahman et al. [25] studied the combined effects of the slip boundary and textured surface in hydrodynamic bearing and observed that slip at the bearing fluid interface plays a crucial role, by altering the wall velocity gradient; slip can reduce shear resistance and promote favorable pressure when combined with an appropriately designed surface texture. These studies underline the fundamental role of slip effects in corner flow problems, showing how they alleviate stress concentrations and alter flow topology.
From the above table, the literature related to Maxwell fluid flow near a corner clearly presents that the authors have considered the Navier slip effects for Newtonian fluid flow and have not observed the tangential and normal stresses that become unstable at the corner, but the novelty of this research is to provide the result validation for Maxwell fluid flow, with stable normal and tangential stresses under the Navier slip condition.
This research provides an analytical solution of the nonlinear mathematical model by the Langlois recursive approach, which provides a systematic way of generating successive approximations of the velocity, pressure, and stress fields. This method is particularly valuable for handling the mathematical complexity of viscoelastic models by reducing higher-order constitutive relations into a recursive sequence of simpler problems. In his first work, Langlois [26] developed the recursive formulation, while, in the follow-up study [27], he demonstrated its applicability to three fundamental hydrodynamic problems, Couette, Poiseuille, and generalized Poiseuille flow.
Different fluid models like Newtonian, second grade, Jeffrey, Oldroyd-B, Maxwell, and Carreau fluid are used to investigate the flow between the two intersecting planes, but these model authors [28,29,30] have not found the normal and tangential stresses which become unstable at the sharp corner due to the slip boundary condition. The inconsistency of stresses can be controlled by Navier slip conditions that leave a research gap for scientists. To fill this gap, the present study investigates the creeping flow of a Maxwell fluid in the corner region formed by the interaction between a falling liquid curtain and a moving substrate in a curtain deflector coating configuration using the Navier slip boundary condition. This study suggests that the singularities typically arise near the corner under classical no-slip conditions which can be alleviated through the appearance of slip boundaries. Also, the systematic application of advanced analytical techniques, such as the Langlois recursive approach, combined with inverse methods, remains largely unexplored. Also, stresses for creeping flow of Maxwell fluid in corner-dominated domains are undiscovered. To address this gap, the present research develops a model for the steady, in-compressible flow of a Maxwell fluid incorporating a Navier slip boundary condition at the moving substrate. The resulting nonlinear model is solved by the Langlois recursive technique in conjunction with inverse methods to obtain closed-form expressions for velocity, pressure, and stress fields. Residual error analysis confirms the accuracy and convergence of the proposed solution. Table 1 illustrates that the addition of slip-induced regularization with viscoelastic effects constitutes a novel contribution, and producing finite and physically consistent stress distributions. The results offer valuable insights into the influence of slip on coating uniformity and provide a theoretical framework for optimizing curtain coating performance.

2. Mathematical Modeling

Consider a curtain deflector with the Maxwell fluid which is the best fluid for coating liquid, compare with other fluids as mentioned in Table 2. The moving substrate at θ = 0 translates with constant velocity U, and slip effects are incorporated along the surface to capture realistic inter-facial behavior as mentioned in Figure 1. Due to the presence of the deflector, the liquid forms a curtain that impinges on the moving substrate at an angle θ = θ 0 , which generates a corner flow configuration.
The following assumptions are also taken into account:
The flow in the curtain coating process is assumed to be steady, laminar, and two-dimensional.
The coating liquid is treated as a Maxwell fluid to capture the viscoelastic and relaxation characteristics typical for polymer-based coating materials.
A polar coordinate system ( r , θ ) is adopted to describe the flow field and facilitate analysis in the corner region.
The flow is creeping, implying that inertial effects are negligible compared with viscous and elastic forces.
The flow develops in the corner region formed by a moving substrate and a falling liquid curtain, where the curtain makes an inclination angle θ with the substrate.
The free surface of the falling curtain is assumed to be fixed and traction-free.
A slip boundary condition is imposed along the moving substrate to represent the lubricated interaction between the coating film and the solid surface.
Body forces due to gravity, are neglected in the present analysis.
The velocity field for the problem under consideration is as follows:
V = ( u ( r , θ ) , v ( r , θ ) ) ,
where u ( r , θ ) and v ( r , θ ) are radial and azimuthal velocity of the fluid, respectively.
The viscous flow around a corner can be studied by the following continuity and momentum equations:
. V = 0 ,
ρ D V D t = p + . S ,
where ρ stands for constant density, V shows the velocity vector, p is the dynamic pressure, and S is extra stress tensor of Maxwell fluid [28] which satisfies the following relation:
1 + λ D D t S = μ A 1 ,
D S D t = V . S V S S V T ,
A 1 = V + V T ,
where D D t is the material derivative, λ represents the relaxation time, μ shows the dynamic viscosity, and A 1 is the first Rivlin–Ericksen tensor [31].
After using Equation (1) in Equations (2) and (3), one can get the following expressions:
1 r r u r + 1 r v θ = 0 ,
r -component of momentum equation:
ρ u u r + v r u θ v 2 r = p r + 1 r r r S r r + 1 r S r θ θ S θ θ r ,
θ -component of momentum equation:
ρ u v r + v r v θ + u v r = 1 r p θ + 1 r 2 r 2 S r θ r + 1 r S θ θ θ ,
where S r r , S θ θ and S r θ are normal and tangential components of the stress tensor.
The lubricated moving substrate and liquid curtain satisfy the following boundary conditions, as suggested in ref. [29]:
u θ = r β u ε U , v = 0 a t   θ   = 0 ,
And
u θ = 0 , v = 0 a t   θ = θ 0 ,
where β denotes the slip coefficient, r is the radial distance corresponding to the substrate length, and ε U represents the velocity of the moving substrate.

3. Methodology

To solve above problem, the Langlois recursive approach is used, which is designed to handle nonlinear governing equations by generating a hierarchy of linear or simplified problems that can be solved recursively. It is a physically consistent method for analyzing non-Newtonian and viscoelastic fluid flow. In this method, the velocity profile, pressure, and shear stress are expressed in terms of a series and subsequently linearized with the aid of a small dimensionless parameter ε , which characterizes the order of non-linearity in the system. Unlike classical perturbation techniques, this method does not require the presence of a small or large parameter, allowing it to remain valid in regimes where perturbation-based methods fail. Compared to the Adomian decomposition method, this method avoids the cumbersome construction of Adomian polynomials and handles nonlinear constitutive relations in a more manageable way. In contrast to the Homotopy perturbation method, it eliminates the need of artificial convergence-control or auxiliary parameters, thereby reducing mathematical complexity and enhancing physical interpret-ability. The Langlois recursive approach is more effective and reliable than other analytical or numerical techniques for complex flow configurations, such as corner flows and intersecting plate geometries, where alternative methods often require restrictive assumptions or provide limited validity.
Assume a series solution of the following form:
V r , θ = L i m ε 1 k = 1 ε k V ( k ) r , θ ,
S r , θ = L i m ε 1 k = 1 ε k S ( k ) r , θ ,
p r , θ = c o n s t a n t + L i m ε 1 k = 1 ε k p ( k ) r , θ ,
The velocity field considered for this problem is of the following form:
V ( k ) = u ( k ) r , θ , v ( k ) r , θ ,
p ( k ) = p ( k ) r , θ ,
The boundary conditions are as follows:
u ( 1 ) θ = r β u ( 1 ) ε U , v ( 1 ) = 0 , a t   θ = 0 ,
u ( k ) θ = r β u ( k ) , v ( k ) = 0 , k > 1 a t   θ = 0 ,
u θ ( k ) = 0 , v ( k ) = 0 , k 1 a t   θ = θ 0 .
The following dimensionless quantities are considered for this problem:
u k = u k U , v k = v k U , r = r R , p k = p k μ U R , W i = λ U R , S k = S k μ U R , β = β R .
where W i is Weissenberg number and R is reference length.
For analytical tractability, the analysis is restricted up to third order in ε , while higher-order contributions are neglected due to the rapidly increasing complexity of the governing equations. Using Equations (12)–(19) for governing Equations (4)–(11), one can get the first-order, second-order, and third-order systems and their solutions.

3.1. First-Order Problem and Its Solution

The continuity and momentum equations for first-order problem are as follows:
u 1 r + 1 r v 1 θ + u 1 r = 0 ,
0 = p 1 r + 1 r r r S r r 1 + 1 r S r θ 1 θ S θ θ 1 r ,
0 = 1 r p 1 θ + 1 r 2 r 2 S r θ 1 r + 1 r S θ θ 1 θ ,
The dimensionless form of normal and tangential stress tensor for the first order are expressed as follows:
S r r 1 = 2 u 1 r , S r θ 1 = S θ r 1 = v 1 r + 1 r u 1 θ v 1 r , S θ θ 1 = 2 r v 1 θ + u 1 ,
Substituting Equation (24) into Equations (21)–(23), the following non-dimensional form can be obtained:
u 1 r + 1 r v 1 θ + u 1 r = 0 ,
p 1 r = 2 u 1 + 2 r u 1 r + u 1 r 2 ,
p 1 θ = 2 v 1 + 2 r 2 u 1 θ v 1 r 2 ,
where
2 = 2 r 2 + 1 r 2 2 θ 2 + 1 r r ,
and the boundary conditions are as follows:
u ( 1 ) θ = r β u ( 1 ) 1 , v 1 = 0 ,   a t   θ = 0 ,
u θ ( 1 ) = 0 , v 1 = 0 ,   a t   θ = θ 0 .
Introducing the stream function Ψ 1 ( r , θ ) , which helps to reduce the number of dependent variables into a single variable.
u 1 = 1 r Ψ 1 θ , v 1 = Ψ 1 r .
Cross-differentiating Equations (26) and (27) to eliminate pressure, then substituting Equation (31) in the resulting equation, one can get the following expression:
4 Ψ 1 = 0 ,
with the following boundary conditions:
2 Ψ 1 θ 2 = β r 2 1 r Ψ 1 θ 1 , Ψ 1 = 0 ,   a t   θ = 0 ,
2 Ψ 1 θ 2 = 0 = Ψ 1 ,   a t   θ = θ 0 .
Assuming the solution of the first-order stream function in the following, as suggested in ref. [29]
Ψ 1 = r 2 f θ .
Using Equation (35) in Equations (32)–(34), then solving the resulting differential equation, one can get the same result as mentioned in ref. [29].
f = c 1 + c 2 θ + c 3 C o s 2 θ + c 4 S i n 2 θ .
where c 1 , c 2 , c 3 , and c 4 are constants and mentioned in the Appendix A.
Substituting the above result of the stream function into Equation (31), one can get u 1 and v 1 , that are expressed as follows:
u 1 = r f θ , v 1 = 2 r f θ .
And the following expression for the first-order pressure can be obtained after using above velocity in Equations (26) and (27):
p 1 = l n r f + 4 f + p 1 ,
where p 1 is constant.
Using Equation (37) in Equation (24), one can get the expression of first-order normal and tangential stress as mentioned below:
S r r 1 = 2 f θ , S r θ 1 = S θ r 1 = f θ , S θ θ 1 = 2 f θ ,

3.2. Second-Order Problem and Its Solution

The continuity and momentum equation for the second order takes the following form:
u 2 r + 1 r v 2 θ + u 2 r = 0 ,
p ( 2 ) r = 1 r r r S r r 2 + 1 r S r θ 2 θ S θ θ 2 r ,
1 r p 2 θ = 1 r 2 r 2 S r θ 2 r + 1 r S θ θ 2 θ ,
The stress tensor components of the second order are expressed as follows:
S r r 2 = 2 u 2 r + 2 W i f 2 , S r θ 2 = S θ r 2 = v 2 r + 1 r u 2 θ v 2 r 2 W i f f + f f ,
S θ θ 2 = 2 W i 4 f f + f 2 + 2 f 2 + 2 r v 2 θ + u 2 ,
After substituting Equations (43) and (44) into Equations (41) and (42), the second-order momentum equation is expressed as follows:
p 2 r = 2 u 2 + 2 r u 2 r + u 2 r 2 + W i r a 1 θ ,
p 2 θ = 2 v 2 + 2 r 2 u 2 θ v 2 r 2 + 2 W i a 2 θ ,
With the following boundary conditions:
u ( 2 ) θ = r β u ( 2 ) , v 2 = 0 ,   a t   θ = 0 ,
u ( 2 ) θ = 0 , v 2 = 0 ,   a t   θ = θ 0 .
where a 1 and a 2 are functions of θ and defined in the Appendix A.
To simplify the system by reducing the dependent variables into a single representation, the second-order stream function Ψ 2 ( r , θ ) is introduced as follows:
u 2 = 1 r Ψ 2 θ , v 2 = Ψ 2 r ,
After eliminating the pressure gradient by the cross-differentiation of Equations (45) and (46), then substituting Equation (49), the resulting equation takes the following form:
4 Ψ 2 = W i r 2 a 1 θ ,
With the following boundary conditions:
2 Ψ 2 θ 2 = β r Ψ 2 θ , Ψ 2 = 0 ,   a t   θ = 0 ,
2 Ψ 2 θ 2 = 0 = Ψ 2 ,   a t   θ = θ 0 .
Assuming the solution of the second-order stream function which satisfies the non-homogeneous differential equation in the following form:
Ψ 2 = W i r 2 f 1 θ ,
After substituting the above Equation (53) into Equations (50)–(52), the partial differential equation reduces into following ordinary differential equation:
f 1 ( i v ) + 4 f 1 = a 1 θ ,
With the following boundary conditions:
f 1 θ = 0 , f 1 θ = 0   w h e n   θ = 0 ,
f 1 θ = 0 , f 1 θ = 0   w h e n   θ = θ 0 .
The solution of the above non-homogeneous BVP given in Equation (54)–(56) is calculated using the software Mathematica 12.0.
The solution of the above BVP is used to find the second-order velocity components, u 2 and v 2 , which are given as follows:
u 2 = W i r f 1 θ , v 2 = 2 W i r f 1 θ .
The above solutions of u 2 and v 2 can be used for Equations (45) and (46), to get the following second-order pressure expression:
p 2 = W i l n r f 1 4 f 1 + a 1 + p 2 θ ,
where p 2 θ is mentioned in the Appendix A.
Using Equation (57) in Equations (43) and (44), the resulting expressions for the second-order normal and tangential stresses are represented as follows:
S r r 2 = 2 W i 2 f 2 f 1 , S r θ 2 = S θ r 2 = W i 2 f f + 2 f f f 1 ,
S θ θ 2 = 2 W i f 1 + 4 f f + f 2 + 2 f 2 .

3.3. Third-Order Problem and Its Solution

For the third-order problem, the continuity and momentum equations take the following form:
u 3 r + 1 r v 3 θ + u 3 r = 0 ,
p ( 3 ) r = 1 r r r S r r 3 + 1 r S r θ 3 θ S θ θ 3 r ,
1 r p 3 θ = 1 r 2 r 2 S r θ 3 r + 1 r S θ θ 3 θ ,
The non-dimensional form of the third-order stress tensor components is expressed as follows:
S r r 3 = 2 u 3 r 4 W i 2 b θ , S θ θ 3 = 2 r v 3 θ + u 3 2 W i 2 b 2 θ ,
S r θ 3 = S θ r 3 = v 3 r + 1 r u 3 θ v 3 r 2 W i 2 b 1 θ ,
where b , b 1   a n d   b 2 are functions of θ and are defined in the Appendix A.
After substituting Equations (64) and (65) into Equations (62) and (63), the non-dimensional form of the momentum equations for the third-order problem is given as follows:
p 3 r = 2 u 3 + 2 r u 3 r + u 3 r 2 + 2 W i 2 r 2 b θ b 1 θ + b 2 θ ,
p 3 θ = 2 v 3 + 2 r 2 u 3 θ v 3 r 2 2 W i 2 2 b 1 θ + b 2 θ ,
With the following boundary conditions:
u ( 3 ) θ = r β u ( 3 ) , v 3 = 0 ,   a t   θ = 0 ,
u ( 3 ) θ = 0 , v 3 = 0 ,   a t   θ = θ 0 .
To simplify the problem, the third order stream function Ψ 3 ( r , θ ) is introduced as below:
u 3 = 1 r Ψ 3 θ , v 3 = Ψ 3 r ,
After employing Equation (70) and cross-differentiating Equations (66) and (67), one can get the following:
4 Ψ 3 = 2 W i 2 r 2 2 b θ + b 1 θ b 2 θ ,
With the following boundary conditions:
2 Ψ 3 θ 2 = β r Ψ 3 θ , Ψ 3 = 0 ,   a t   θ = 0 ,
2 Ψ 3 θ 2 = 0 = Ψ 3 ,     a t     θ = θ 0 .
The solution of the third-order stream function is assumed in the following form:
Ψ 3 = W i 2 r 2 g θ ,
Substituting Equation (74) into Equations (71)–(73) yields the following ordinary differential equation:
g i v + 4 g = 2 2 b θ + b 1 θ b 2 θ ,
Subject to the following boundary conditions:
g θ = 0 , g θ = 0   w h e n   θ = 0 ,
g θ = 0 , g θ = 0   w h e n   θ = θ 0 .
The above BVPs given in Equations (75)–(77) are solved using software Mathematica 12.0.
After substituting the third-order stream function into Equation (70), the expressions for the velocity components u 3 and v 3 take the following form:
u 3 = W i 2 r g θ , v 3 = 2 W i 2 r g θ .
Applying the same procedure as in the second-order case, the pressure and stresses for the third order are given as follows:
p 3 = W i 2 l n r g + 4 g + 2 2 b θ b 1 θ + b 2 θ + p 3 θ ,
where p 3 θ is mentioned in the Appendix A.
S r r 3 = 2 W i 2 g 2 b θ , S θ θ 3 = 2 W i 2 g 2 b 2 θ ,
S r θ 3 = S θ r 3 = W i 2 g 2 b 1 θ .
It is important to note that the singularity arises at the sharp corner r = 0 only in the pressure field. The classical singularity that typically appears in the velocity profile near the corner is effectively eliminated through the incorporation of slip effects, which provide a more realistic description of the flow behavior in such geometries.
Summarizing results up to the third order:
u r , θ = u 1 r , θ + u 2 r , θ + u 3 r , θ ,
v r , θ = v 1 r , θ + v 2 r , θ + v 3 r , θ ,
p r , θ = p 1 r , θ + p 2 r , θ + p 3 r , θ ,
S r r = S r r 1 + S r r 2 + S r r 3 ,
S r θ = S r θ 1 + S r θ 2 + S r θ 3 ,
S θ θ = S θ θ 1 + S θ θ 2 + S θ θ 3 .
The normal stress at the liquid curtain is expressed as follows:
T n = p + S θ θ | θ = θ 0 ,
The tangential stress T t vanishes at the liquid curtain under slip conditions because the slip boundary allows relative motion between the fluid and the surface. As a result, the shear resistance at the curtain vanishes, leading to zero tangential stress. This condition physically represents a surface where the fluid experiences no frictional drag.
The component L of the total stress perpendicular to the curtain and the component D parallel to the curtain are defined as follows:
L = T n c o s θ 0 , D = T n s i n θ 0 .

3.4. Validation of Results

To validate the present analytical results, it is observed that, as W i 0 , the obtained solutions in Equations (82)–(87) reduce to the solution of creeping flow of a Newtonian fluid, which is consistent with the findings of Sprittles et al. [29]. Furthermore, to examine the accuracy of the present results, a residual error analysis is performed by substituting the derived expressions of velocity, pressure, and stress given in Equations (82)–(87) into the governing Equations (8) and (9). This procedure yields the error functions E 1 r , θ and E 2 r , θ , which are presented in Table 3 and Table 4 for a range of positions within the flow domain. The reported values remain consistently small across the domain, indicating that the analytical results have order 1 0 15 , which is very small error
E 1 r , θ = p 1 + p 2 + p 3 r + 1 r r r S r r 1 + S r r 2 + S r r 3 + 1 r S r θ 1 + S r θ 2 + S r θ 3 θ
S θ θ 1 + S θ θ 2 + S θ θ 3 r ,
E 2 r , θ = 1 r p 1 + p 2 + p 3 θ + 1 r 2 r 2 S r θ 1 + S r θ 2 + S r θ 3 r
+ 1 r S θ θ 1 + S θ θ 2 + S θ θ 3 θ .
Table 5 shows that the magnitude of normal stress on the coating fluid decelerates when the liquid curtain moves from the horizontal plane to the angle π 3 and from 5 π 9 to 8 π 9 , but stress becomes unstable when the liquid curtain is parallel to the substrate or deflector. The normal and tangential stresses on the liquid curtain rises when curtain is inclined at an angle between 7 π 18 to 4 π 9 and both stresses decay on the other positions and become unstable when the curtain is at a horizontal position or at a right angle. Therefore, for the reduced stresses, the position of the curtain must be from 0 to π 3 and from 5 π 9 to 8 π 9 .

4. Graphs and Discussion

Figure 2 and Figure 3 display that the speed of the coating fluid can be controlled by the substrate length ( r ) , slip length parameter ( β ) on the surface of the substrate, and fluid relaxation time W i against different positions of the rotation angle. It is observed from Figure 2 that the curtain coating-based viscoelastic fluid moves quickly when the substrate length ( r ) becomes large because the distance of the curtain coating fluid from the pole loses the frictional forces due to the slip present on the surface of the substrate. The lubricated surface of the substrate, which can be observed by the Navier slip parameter, addresses the friction loss on the substrate and helps to perform the uniform and streak-free coating on a moving substrate through the curtain coating process. The effect of elastic forces in curtain coating is observed by the dimensionless number W i , which measures the relaxation time with the help of the ratio between the elastic and the viscous forces in Maxwell fluid (curtain coating fluid). When the viscous forces become dominant over elastic forces in curtain coating, the dominance becomes weak and the free-falling curtain stores more elastic forces that prevents the curtain from breaking, which is very useful in the coating process and accelerating the coating along the substrate. It is also noticed that, when the liquid curtain inclined between 0 < θ < 2 π 9 , the substrate is coated with a forward free-falling flow, but, when it is between 2 π 9 < θ < 15 π 36 , the coating fluid flows in a backward direction along the substrate. Figure 3 displays that coating in the rotational direction of the substrate following the parabolic path during the curtain coating process. The azimuthal velocity is accelerated by the substrate length, slip length parameter, and relaxation time in the reverse direction due to the movement of the substrate in a positive direction. Figure 4 shows the 3D view of radial and azimuthal velocity, which displays that radial flow increases when the liquid curtain is at θ = 15 π 36 as compared with when it is parallel to the substrate but the rotational flow increases in the reverse direction when 0 < θ < 2 π 9 , but after that it decays and comes to rest at θ = 15 π 36 . Figure 5 shows the comparison of the radial and azimuthal velocity of the viscoelastic coating fluid and Newtonian coating fluid. The velocity of the coating fluid increases when the viscoelastic fluid is considered as a coating liquid as compared to a Newtonian fluid. This happens due to the presence of elastic forces in the viscoelastic coating fluid, which prevents curtain break and accelerates the fluid along the substrate. Figure 6 shows the comparison of the present result with Strauss’s [9] results. This study shows that, due to the incorporation of the slip effect, the coating fluid velocity accelerates because of fewer friction forces on the substrate.
In the coating process, normal stress plays a vital role during fluid dynamics, which is influenced by the application of coating on the lubricated substrate. Especially in viscoelastic fluid flow (Maxwell fluid flow), rheological properties ensure a uniform thickness of fluid used in curtain coating. Figure 7 displays the fact that normal stress becomes undefined at the corner, but, away from the corner along the radial direction, it is stable. To avoid the coating failure, normal stress should be moderate, as high normal stress causes blistering and buckling. Controlled normal stress is also useful for the durability of the coating fluid; therefore, slip parameter length and the relaxation time of the fluid will decide how the dominance of viscous over elastic forces can be considered and what should the range of the slip length parameter be, to provide the lubrication on the surface so that normal stress will remain moderate. The value of slip length must be within the range 0 < β < 1.2 as the β > 1.2 normal stress grows and causes blistering that is not suitable for the coating process; similarly, the dominance of viscous over elastic forces must be within the range 0 < W i < 0.6 . As W i > 0.6 , the normal stress becomes high and causes failure in coating.
Figure 8 displays that internal pressure building in the fluid during the coating process varies due to the substrate length ( r ) , slip length parameter ( β ) , and relaxation time ( W i ) of the viscoelastic fluid along the angle. The compression in fluid is outward when the liquid curtain is fixed at the angle 0 < θ < π 4 , but pressure will be inward when π 4 < θ < 15 π 36 . An increase in the Navier slip parameter ( β ) reduces viscous resistance at the fluid–substrate interface. The coating liquid experiences less drag as it moves along the moving substrate. As a result, the liquid film accelerates more easily in the coating direction, which can promote smoother flow. However, to conserve mass and sustain the curtain flow, a moderate normal pressure is required to drive the fluid consistently along the coated surface. In practice, this corresponds to local pressure buildup in the coating bead, ensuring the curtain remains attached to the substrate and does not break away. Figure 8 shows how the substrate length ( r ) affects the pressure distribution. A longer substrate allows the fluid to develop and redistribute velocity and stress more gradually. Figure 8c also illustrates the effect of the Weissenberg number W i , which quantifies the ratio of elastic to viscous forces in the flow. As W i increases, the viscoelastic Maxwell fluid exhibits stronger elastic behavior due to a longer relaxation time. The elastic memory increases the compression within the fluid and resists flow deformation. To maintain a stable curtain and consistent flow rate, a moderate pressure is necessary. Also, from Figure 8c, it is depicted that high values of W i cause elastic stresses, which leads to surface irregularities or curtain flutter, emphasizing the need to control the viscoelastic properties of the coating fluid for smooth and defect-free film formation.
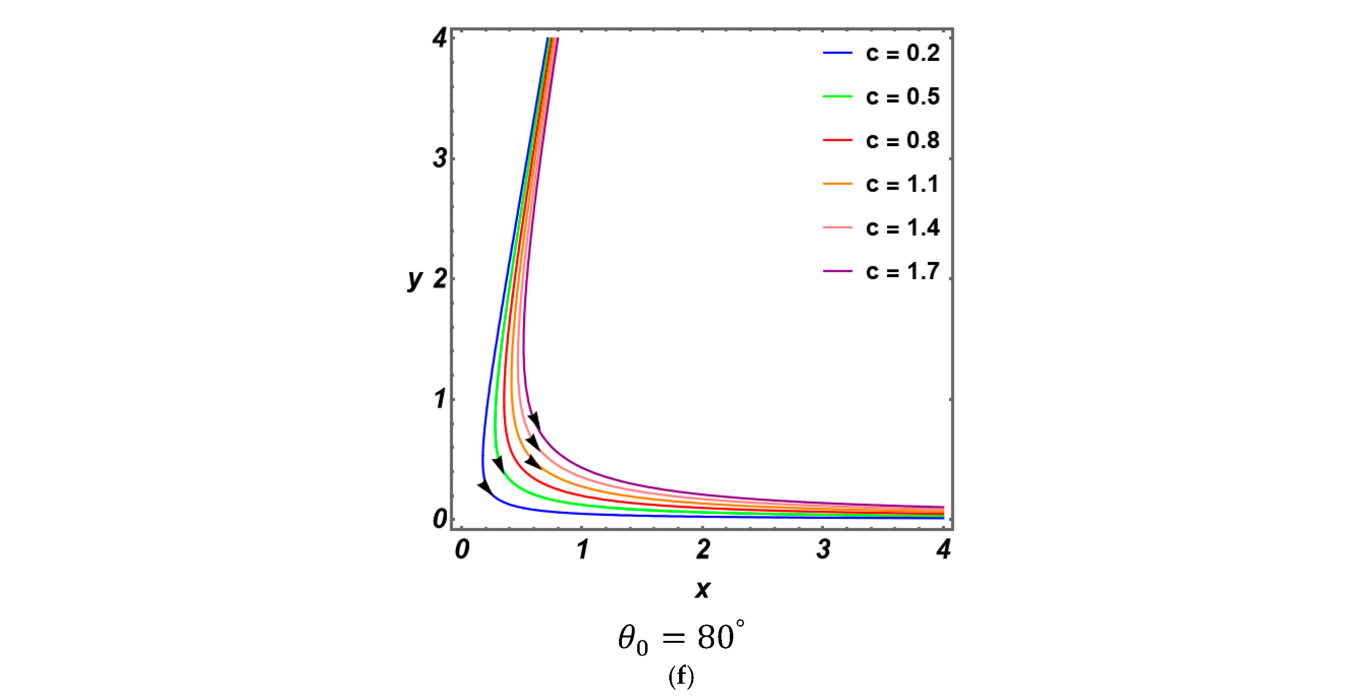
Figure 9 depicts the streamline patterns against the corresponding parameters related to the flow characteristics of a coating fluid. The introduction of a slip condition at the substrate allows limited tangential motion between the fluid and the substrate. The abrupt velocity discontinuity associated with the classical no-slip condition is eliminated. This relaxation of the boundary constraint prevents the buildup of excessive shear and effectively removes the singularity at the corner. As a result, the flow field becomes more physically realistic, exhibiting well-defined and regular streamline patterns that enhance coating uniformity and stability. Furthermore, as the curtain angle increases, this reduces local velocity gradients and stress buildup, promoting smoother streamline alignment and a more stable coating bead. This interaction defines the critical role of the slip condition and curtain angle in regularizing the flow dynamics at the corner.

5. Conclusions

In this study, a curtain coating with a deflector has been analyzed by considering Maxwell fluid as the coating liquid. The flow characteristics were examined under steady and creeping flow conditions near the corner formed between the liquid curtain and the moving substrate. To solve the model, a combination of the Langlois recursive approach and the inverse method was employed, and the accuracy of the solution was verified through residual error analysis. The results demonstrate that the singularity at the corner can be effectively alleviated by incorporating a slip boundary condition, which provides a significant improvement in describing the flow behavior.
This research provides the following observation from the curtain coating:
The Navier slip effect helps to perform the uniform and streak-free coating on a moving substrate through the liquid curtain.
The fluid relaxation time controls the speed of the liquid coating and prevents the free-falling coating break by choosing the moderate viscoelastic fluid material.
The normal and tangential stresses on the curtain become unstable when the substrate and liquid curtain are parallel or perpendicular to each other.
The position of the liquid curtain also decides the least and maximum amount of normal stress in the curtain coating.
This study has ignored the inertial and gravitational effects that will alter the liquid coating and will be discussed in a future work. Experimental validation can be presented to validate the analytical results, but due to lack of lab facilities it is not included in this research, and in the future, with the collaboration of some researchers, we will present it in our work. Also, the spinning of the substrate produces the flow in a third direction that will be considered in the future.

Author Contributions

Conceptualization, K.M.; Software, L.M.; Validation, K.M.; Writing—original draft, L.M.; Writing—review & editing, Z.A.; Project administration, A.M.S. All authors have read and agreed to the published version of the manuscript.

Funding

This research received no external funding.

Data Availability Statement

The original contributions presented in this study are included in the article. Further inquiries can be directed to the corresponding author.

Conflicts of Interest

The authors declare no conflicts of interest.

Nomenclature

SymbolDescriptionUnit
r Length of the substrate m
θ 0 Angle between substrate and curtain-
V Velocity field m / s
u Radial velocity component m / s
v Azimuthal velocity component m / s
p Dynamic pressure P a
S Extra stress tensor of Maxwell fluid P a
ρ Density k g / m 3
λ Relaxation time s
μ Dynamic viscosity P a . s
A 1 Rivlin–Ericksen tensor P a
β Slip coefficient-
ε Small perturbation parameter-
R e Reynolds number-
W i Weissenberg number-
Ψ Stream function m 2 / s
T n Stress perpendicular to the curtain P a
T t Stress parallel to the curtain P a
L Total stress perpendicular to the curtain P a
D Total stress parallel to the curtain P a

Appendix A

Stress components of Maxwell fluid satisfy the following expressions:
1 + W i u r + v r θ 2 u r τ r r 2 W i 1 r u θ v r τ r θ = 2 u r
1 + W i u r + v r θ 1 r v θ + u r u r τ r θ + W i v r + β 2 v r + 1 r u θ v r τ r r W i 1 r u θ v r τ θ θ = v r + 1 r u θ v r
1 + W i u r + v r θ 2 1 r v θ + u r τ θ θ 2 W i v r τ θ r = 2 1 r v θ + u r
Series form of stress tensor up to third order:
1 + λ D D t ε S ( 1 ) + ε 2 S ( 2 ) + ε 3 S ( 3 ) = μ ε A 1 1 + ε 2 A 1 2 + ε 3 A 1 3 ,
D D t ε S ( 1 ) + ε 2 S ( 2 ) + ε 3 S ( 3 ) = ε V ( 1 ) + ε 2 V ( 2 ) + ε 3 V ( 3 ) . ε S ( 1 ) + ε 2 S ( 2 ) + ε 3 S ( 3 ) ε V ( 1 ) + ε 2 V ( 2 ) + ε 3 V ( 3 ) ε S ( 1 ) + ε 2 S ( 2 ) + ε 3 S ( 3 ) ε S ( 1 ) + ε 2 S ( 2 ) + ε 3 S ( 3 ) ε V ( 1 ) + ε 2 V ( 2 ) + ε 3 V ( 3 ) T ,
Series form of continuity equation up to third order:
ε 1 r r u 1 r + 1 r v 1 θ + ε 2 1 r r u 2 r + 1 r v 2 θ + ε 3 1 r r u 3 r + 1 r v 3 θ = 0 ,
Series form of boundary condition up to third order:
ε u ( 1 ) θ + ε 2 u ( 2 ) θ + ε 3 u ( 3 ) θ , ε v ( 1 ) + ε 2 v ( 2 ) + ε 3 v ( 3 ) = r β ε u ( 1 ) 1 + ε 2 r β u ( 2 ) + ε 3 r β u ( 3 ) , 0 a t   θ = 0 , ε u ( 1 ) θ + ε 2 u ( 2 ) θ + ε 3 u ( 3 ) θ , ε v ( 1 ) + ε 2 v ( 2 ) + ε 3 v ( 3 ) = 0 , 0 a t   θ = θ 0 ,
First-order form of stress tensor:
1 + λ D D t S ( 1 ) = μ A 1 1 , D S ( 1 ) D t = 0 , A 1 1 = V ( 1 ) T + V ( 1 ) ,
Second-order form of stress tensor:
1 + λ D D t S ( 2 ) = μ A 1 2 , A 1 2 = V ( 2 ) T + V ( 2 ) , D S ( 2 ) D t = V ( 1 ) . S ( 1 ) V ( 1 ) S ( 1 ) S ( 1 ) V ( 1 ) T ,
Third-order form of stress tensor:
1 + λ D D t S ( 3 ) = μ A 1 3 , A 1 3 = V ( 3 ) T + V ( 3 ) , D S ( 3 ) D t = V ( 1 ) . S ( 2 ) + V ( 2 ) . S ( 1 ) V ( 1 ) S ( 2 ) V ( 2 ) S ( 1 ) S ( 1 ) V ( 2 ) T S ( 2 ) V ( 1 ) T ,
Constants involved in the first-order solution of the stream function
c 1 = c 3 = β 4 , c 2 = β 4 θ 0 , c 4 = c 1 C o t 2 θ 0 .
Solution of f 1 which is involved in the second-order solution of the stream function
f 1 = C s c 2 θ 0 128 k 2 1 + θ 0 C o t θ 0 ( 40 θ 0 256 θ 0 3 + 20 θ + 408 θ 0 2 θ 64 θ 0 4 θ 2 35 θ 0 136 θ 0 3 + 32 θ 0 5 + 5 θ + 192 θ 0 2 θ 32 θ 0 4 θ C o s 2 θ 0 4 10 θ 0 + 4 θ 0 3 + 5 θ + 6 θ 0 4 θ C o s 4 θ 0 + 10 θ 0 + 10 θ C o s 6 θ 0 + 40 θ 0 + 16 θ 0 3 + 80 θ + 48 θ 0 2 θ + 16 θ 0 θ 2 C o s 4 θ 0 2 θ + 10 θ 0 20 θ + 8 θ 0 θ 2 C o s 6 θ 0 2 θ + ( 60 θ 0 152 θ 0 3 + 32 θ 0 5 C o s 120 θ + 96 θ 0 2 θ + 64 θ 0 4 θ 96 θ 0 θ 2 32 θ 0 3 θ 2 ) C o s 2 θ 0 θ + 40 θ 0 + 256 θ 0 3 + 80 θ 336 θ 0 2 θ + 112 θ 0 θ 2 C o s 2 θ + ( 10 θ 0 120 θ 0 3 + 32 θ 0 5 20 θ + 192 θ 0 2 θ 64 θ 0 4 θ 40 θ 0 θ 2 C o s 2 θ 0 + θ + 32 θ 0 3 θ 2 ) C o s 2 θ 0 + θ + 25 + 24 θ 0 2 + 192 θ 0 4 240 θ 0 θ 160 θ 0 3 θ S i n 2 θ 0 + 20 12 θ 0 2 + 120 θ 0 θ S i n 4 θ 0 + 5 S i n 6 θ 0 + 25 + 12 θ 0 2 40 θ 0 θ 32 θ 0 3 θ + 32 θ 2 + 32 θ 0 2 θ 2 S i n 4 θ 0 2 θ + 5 20 θ 0 θ 8 θ 2 S i n 6 θ 0 2 θ + 50 36 θ 0 2 80 θ 0 4 + 240 θ 0 θ + 48 θ 0 3 θ 48 θ 2 S i n 2 θ 0 θ + 50 36 θ 0 2 + 32 θ 0 4 + 280 θ 0 θ 160 θ 0 3 θ 32 θ 2 + 96 θ 0 2 θ 2 S i n 2 θ + 25 + 12 θ 0 2 112 θ 0 4 100 θ 0 θ + 176 θ 0 3 θ + 8 θ 2 64 θ 0 2 θ 2 S i n [ 2 ( θ 0 + θ ) ] 5 S i n [ 2 ( 2 θ 0 + θ ) ] )
Functions involved in the second-order momentum equation:
a 1 θ = 8 f f + 4 f f + 2 f f i v , a 2 θ = 6 f f + 10 f f + 2 f f ,
Function involved in the second-order pressure:
p 2 θ = 2 W i a 2 θ d θ .
Functions involved in third-order normal and tangential stresses:
b θ = 3 f f 2 f f 2 + 2 f f 1 + 2 f 2 f + f 2 f + 8 f 3 b 1 θ = f f 1 4 f f f 2 f 2 f i v + f f 1 + 4 f f 1 + f f 1 + 2 f f 1 + 8 f 2 f + 2 f f 2 + 4 f f 2 2 f f f 1 + 2 f 2 f 1 4 f f f 1 + 4 f f f 1 , b 2 θ = 16 f f f 12 f 2 f 6 f f f f 1 2 + f f 1 f f 2 + 2 f 3 + 2 f f 1 ,
Function involved in the third-order pressure:
p 3 θ = 2 W i 2 2 b 1 θ + b 2 θ d θ ,

References

  1. Chang, Y.H.; Tseng, S.R.; Chen, C.Y.; Meng, H.F.; Chen, E.C.; Horng, S.F.; Hsu, C.S. Polymer solar cell by blade coating. Org. Electron. 2009, 10, 741–746. [Google Scholar] [CrossRef]
  2. Patidar, R.; Burkitt, D.; Hooper, K.; Richards, D.; Watson, T. Slot-die coating of perovskite solar cells: An overview. Mater. Today Commun. 2020, 22, 100808. [Google Scholar] [CrossRef]
  3. Brinker, C.J. Dip coating. In Chemical Solution Deposition of Functional Oxide Thin Films; Springer: Vienna, Austria, 2013; pp. 233–261. [Google Scholar] [CrossRef]
  4. Miyamoto, K.; Katagiri, Y. Curtain coating. In Liquid Film Coating: Scientific Principles and Their Technological Implications; Springer: Dordrecht, The Netherlands, 1997; pp. 463–494. [Google Scholar] [CrossRef]
  5. Gugler, G.; Beer, R.; Mauron, M. Operative Limits Of Curtain Coating Due To Edges. Chem. Eng. Process. Process Intensif. 2011, 50, 462–465. [Google Scholar] [CrossRef]
  6. Kashiwabara, Y.; Ogawa, S.; Ozaki, K. Visualization of Curtain Coating Flows. In Flow Visualization VI: Proceedings of the Sixth International Symposium on Flow Visualization; Springer: Berlin/Heidelberg, Germany, 1992; pp. 211–214. [Google Scholar] [CrossRef]
  7. Schweizer, P.M. Specific Properties of Curtain Coating. In Premetered Coating Methods: Attractiveness and Limitations; Springer: Cham, Switzerland, 2022; pp. 625–667. [Google Scholar] [CrossRef]
  8. Zhan, J.M.; Lin, K.; Li, Y.H.; Hu, W.Q. Numerical simulation investigation of the mechanism of lacquer curtain formation in curtain coating. Eng. Appl. Comput. Fluid Mech. 2024, 18, 2323127. [Google Scholar] [CrossRef]
  9. Strauss, K. Modell der stromung, die sich am Rakelmesser einer Beschichtungsanlage Einstellt. Rheol. Acta 1975, 14, 1058–1065. [Google Scholar] [CrossRef]
  10. Cox, R.G. The dynamics of the spreading of liquids on a solid surface. Part 1. Viscous flow. J. Fluid Mech. 1986, 168, 169–194. [Google Scholar] [CrossRef]
  11. Bhatnagar, R.K.; Rajagopal, K.R.; Gupta, G. Flow of an Oldroyd-B fluid between intersecting planes. J. Non-Newtonian Fluid Mech. 1993, 46, 49–67. [Google Scholar] [CrossRef]
  12. Hills, C.P.; Moffatt, H.K. Rotary honing: A variant of the Taylor paint-scraper problem. J. Fluid Mech. 2000, 418, 119–135. [Google Scholar] [CrossRef][Green Version]
  13. Siddiqui, A.M.; Ahmad, A.; Ahmed, N. Creeping flow of a second grade fluid in a corner. Appl. Math. Model. 2011, 35, 621–636. [Google Scholar] [CrossRef]
  14. Taylor-West, J.J.; Hogg, A.J. Viscoplastic corner eddies. J. Fluid Mech. 2022, 941, A64. [Google Scholar] [CrossRef]
  15. Rehman, S.; Bouzgarrou, S.; Akermi, M. Jaffrey-Hamel flow features of Oldroyd-B model through intersecting plates. J. King Saud Univ. Sci. 2024, 36, 102997. [Google Scholar] [CrossRef]
  16. Yim, H.; Nam, J. Analysis of low-speed blade coating flows. J. Fluid Mech. 2024, 978, A11. [Google Scholar] [CrossRef]
  17. Karthikeyan, S.; Ali, F.; Loganathan, K.; Thamaraikannan, N. An implication of entropy generation in Maxwell fluid containing engine oil based ternary hybrid nanofluid over a riga plate. J. Taibah Univ. Sci. 2024, 18, 2387925. [Google Scholar] [CrossRef]
  18. Bolanos, S.J.; Vernescu, B. Derivation of the Navier slip and slip length for viscous flows over a rough boundary. Phys. Fluids. 2017, 29, 057103. [Google Scholar] [CrossRef]
  19. Dussan, V.E.B. The moving contact line: The slip boundary condition. J. Fluid Mech. 1976, 77, 665–684. [Google Scholar] [CrossRef]
  20. Thompson, P.A.; Robbins, M.O. Simulations of contact-line motion: Slip and the dynamic contact angle. Phys. Rev. Lett. 1989, 63, 766. [Google Scholar] [CrossRef]
  21. Koplik, J.; Banavar, J.R. Corner flow in the sliding plate problem. Phys. Fluids. 1995, 7, 3118–3125. [Google Scholar] [CrossRef]
  22. He, Q.; Wang, X.P. Numerical study of the effect of Navier slip on the driven cavity flow. ZAMM J. Appl. Math. Mech. 2009, 89, 857–868. [Google Scholar] [CrossRef]
  23. Vieru, D.; Rauf, A. Stokes flows of a Maxwell fluid with wall slip condition. Can. J. Phys. 2011, 89, 1061–1071. [Google Scholar] [CrossRef]
  24. Dawar, A.; Saeed, A.; Shah, Z.; Kumam, W.; Islam, S.; Kumam, P. Analytical simulation for magnetohydrodynamic Maxwell fluid flow past an exponentially stretching surface with first-order velocity slip condition. Coatings 2021, 11, 1009. [Google Scholar] [CrossRef]
  25. Tauviqirrahman, M.; Jamari, J.; Wibowo, B.S.; Fauzan, H.M.; Muchammad, M. Multiphase computational fluid dynamics analysis of hydrodynamic journal bearing under the combined influence of texture and slip. Lubricants 2019, 7, 97. [Google Scholar] [CrossRef]
  26. Langlois, W.E. A recursive approach to the theory of slow, steady-state viscoelastic flow. Trans. Soc. Rheol. 1963, 7, 75–99. [Google Scholar] [CrossRef]
  27. Langlois, W.E. The recursive theory of slow viscoelastic flow applied to three basic problems of Hydrodynamics. Trans. Soc. Rheol. 1964, 8, 33–60. [Google Scholar] [CrossRef]
  28. Renardy, M. Stress integration for the constitutive law of the upper convected Maxwell fluid near the corners in a driven cavity. J. Non-Newtonian Fluid Mech. 2003, 112, 77–84. [Google Scholar] [CrossRef]
  29. Sprittles, J.E.; Shikhmurzaev, Y.D. Viscous flow in domains with corners: Numerical artifacts, their origin and removal. Comput. Methods Appl. Mech. Eng. 2011, 200, 1087–1099. [Google Scholar] [CrossRef]
  30. Chaffin, S.T.; Rees, J.M. Carreau fluid in a wall driven corner flow. J. Non-Newtonian Fluid Mech. 2018, 253, 16–26. [Google Scholar] [CrossRef]
  31. Marris, A.W. A property of the set of Rivlin-Ericksen tensors. Arch. Ration. Mech. Anal. 1990, 111, 197–209. [Google Scholar] [CrossRef]
Figure 1. Geometry of the problem.
Figure 1. Geometry of the problem.
Lubricants 14 00011 g001
Figure 2. Variation in radial velocity u ( r , θ ) for (a) substrate length r, (b) slip parameter β , (c) relaxation time of fluid Wi.
Figure 2. Variation in radial velocity u ( r , θ ) for (a) substrate length r, (b) slip parameter β , (c) relaxation time of fluid Wi.
Lubricants 14 00011 g002aLubricants 14 00011 g002b
Figure 3. Variation in azimuthal velocity v ( r , θ ) for (a) substrate length r, (b) slip parameter β , (c) relaxation time of fluid Wi.
Figure 3. Variation in azimuthal velocity v ( r , θ ) for (a) substrate length r, (b) slip parameter β , (c) relaxation time of fluid Wi.
Lubricants 14 00011 g003
Figure 4. 3D view of curtain coating fluid flow of (a) radial velocity u ( r , θ ) and (b) azimuthal velocity v ( r , θ ) .
Figure 4. 3D view of curtain coating fluid flow of (a) radial velocity u ( r , θ ) and (b) azimuthal velocity v ( r , θ ) .
Lubricants 14 00011 g004
Figure 5. Comparison of (a) radial velocity u ( r , θ ) and (b) azimuthal velocity v ( r , θ ) for Maxwell fluid with Newtonian fluid.
Figure 5. Comparison of (a) radial velocity u ( r , θ ) and (b) azimuthal velocity v ( r , θ ) for Maxwell fluid with Newtonian fluid.
Lubricants 14 00011 g005
Figure 6. Comparison of (a) radial velocity u ( r , θ ) and (b) azimuthal velocity v ( r , θ ) of present study with Strauss [9].
Figure 6. Comparison of (a) radial velocity u ( r , θ ) and (b) azimuthal velocity v ( r , θ ) of present study with Strauss [9].
Lubricants 14 00011 g006
Figure 7. Variation in normal stress T n for (a) slip parameter β and (b) relaxation time Wi.
Figure 7. Variation in normal stress T n for (a) slip parameter β and (b) relaxation time Wi.
Lubricants 14 00011 g007
Figure 8. Variation in pressure distribution for (a) slip parameter β , (b) substrate length r, and (c) relaxation time Wi.
Figure 8. Variation in pressure distribution for (a) slip parameter β , (b) substrate length r, and (c) relaxation time Wi.
Lubricants 14 00011 g008
Figure 9. Streamlines for different variations in liquid curtain angle. (a) Stream lines for liquid curtain angle θ0 = 60°; (b) Stream lines for liquid curtain angle θ0 = 70°; (c) Stream lines for liquid curtain angle θ0 = 80°; (d) Level curves for θ0 = 60° and c = 0.2, 0.5, 0.8, 1.1, 1.4, 1.7; (e) Level curves for θ0 = 70° and c = 0.2, 0.5, 0.8, 1.1, 1.4, 1.7; (f) Level curves for θ0 = 80° and c = 0.2, 0.5, 0.8, 1.1, 1.4, 1.7.
Figure 9. Streamlines for different variations in liquid curtain angle. (a) Stream lines for liquid curtain angle θ0 = 60°; (b) Stream lines for liquid curtain angle θ0 = 70°; (c) Stream lines for liquid curtain angle θ0 = 80°; (d) Level curves for θ0 = 60° and c = 0.2, 0.5, 0.8, 1.1, 1.4, 1.7; (e) Level curves for θ0 = 70° and c = 0.2, 0.5, 0.8, 1.1, 1.4, 1.7; (f) Level curves for θ0 = 80° and c = 0.2, 0.5, 0.8, 1.1, 1.4, 1.7.
Lubricants 14 00011 g009aLubricants 14 00011 g009b
Table 1. Novelty of the present work compared to previous study.
Table 1. Novelty of the present work compared to previous study.
Previous Study1975
Strauss
[9]
2003
Renardy
[28]
2011
Sprittles
[29]
Present Study
Fluid mode Maxwell fluidMaxwell fluidNewtonian fluidMaxwell fluid
Slip effects
Creeping flow
Normal and tangential stress analysis
Pressure distribution
Validation of the results
Table 2. Comparison of Maxwell fluid with other fluid models.
Table 2. Comparison of Maxwell fluid with other fluid models.
ModelRheologySuitability for Curtain CoatingComment/Relevance
NewtonianConstant viscosityPoorFails to capture elastic and relaxation behavior and is prone to air diversion and curtain breakup under high deformation rates.
Power-lawShear-thinning and thickeningLimitedDescribes viscosity variation but neglects elastic recovery. Also, it is inaccurate in predicting flow behavior, stability, and thickness uniformity in the extensional and free-surface regions of the curtain.
Bingham/Herschel–BuckleyYield stress with shear-thinningLimitedCaptures yield-stress behavior, but less relevant for curtain coating, which involves continuous viscoelastic flow rather than solid-like behavior.
JeffreyElasticity with Newtonian viscosityModerateDescribing both viscous and elastic effects, but involves more parameters and complicates analysis.
Oldroyd-B/PTT (Phan–Thien–Tanner)Full viscoelastic model with relaxation and retardation timesAccurate but complexCaptures full elastic memory and stress evolution but introduces strong nonlinearity; challenging for analytical or semi-analytical treatment.
MaxwellSingle relaxation time linear viscoelasticityBest compromiseCaptures essential elastic effects and stress relaxation in extensional regions and predicts curtain stability. It is simple for analytical solution and stable under slip, making it ideal for curtain coating of viscoelastic fluids.
Table 3. Error in r -component of momentum equation.
Table 3. Error in r -component of momentum equation.
Residual Error  E 1 r , θ
  r 1.0 1.5 2.0 2.5 3.0
θ  
0 1.332 × 1 0 15 1.110 × 1 0 15 7.771 × 1 0 16 1.665 × 1 0 16 5.551 × 1 0 16
π 6 4.440 × 1 0 16 7.771 × 1 0 16 2.775 × 1 0 16 3.885 × 1 0 16 3.885 × 1 0 16
2 π 9 8.881 × 1 0 16 4.440 × 1 0 16 4.440 × 1 0 16 2.220 × 1 0 16 2.220 × 1 0 16
5 π 18 3.330 × 1 0 15 2.553 × 1 0 15 1.776 × 1 0 15 1.387 × 1 0 15 1.332 × 1 0 15
π 3 2.220 × 1 0 16 1.110 × 1 0 16 0 1.665 × 1 0 16 5.551 × 1 0 17
7 π 18 3.330 × 1 0 16 1.665 × 1 0 16 4.440 × 1 0 16 2.775 × 1 0 17 8.326 × 1 0 17
4 π 9 0 2.220 × 1 0 16 1.110 × 1 0 16 1.110 × 1 0 16 1.110 × 1 0 16
π 2 4.440 × 1 0 16 1.110 × 1 0 16 2.220 × 1 0 16 1.665 × 1 0 16 5.551 × 1 0 17
5 π 9 1.110 × 1 0 16 1.110 × 1 0 16 5.551 × 1 0 17 0 2.775 × 1 0 17
11 π 18 7.771 × 1 0 16 3.330 × 1 0 16 0 0 1.665 × 1 0 16
2 π 3 1.554 × 1 0 15 2.220 × 1 0 16 7.771 × 1 0 16 3.885 × 1 0 16 1.110 × 1 0 16
5 π 6 1.776 × 1 0 15 2.442 × 1 0 15 8.881 × 1 0 16 6.106 × 1 0 16 1.221 × 1 0 15
8 π 9 9.769 × 1 0 15 7.105 × 1 0 15 5.329 × 1 0 15 4.496 × 1 0 15 3.552 × 1 0 15
17 π 18 2.220 × 1 0 15 1.998 × 1 0 15 1.776 × 1 0 15 1.276 × 1 0 15 9.992 × 1 0 16
π 1.776 × 1 0 15 3.552 × 1 0 15 0 2.609 × 1 0 15 1.776 × 1 0 15
Table 4. Error in θ -component of momentum equation.
Table 4. Error in θ -component of momentum equation.
Residual Error  E 2 r , θ
  r 1.01.52.02.53.0
θ  
0 2.220 × 1 0 15 1.332 × 1 0 15 8.881 × 1 0 16 4.440 × 1 0 16 2.220 × 1 0 16
π 6 8.881 × 1 0 16 5.551 × 1 0 15 7.105 × 1 0 15 7.549 × 1 0 15 7.327 × 1 0 15
2 π 9 3.552 × 1 0 15 3.413 × 1 0 15 3.181 × 1 0 15 2.456 × 1 0 15 2.609 × 1 0 15
5 π 18 2.664 × 1 0 15 2.997 × 1 0 15 2.747 × 1 0 15 2.720 × 1 0 15 2.386 × 1 0 15
π 3 1.293 × 1 0 16 2.266 × 1 0 15 2.951 × 1 0 15 3.138 × 1 0 15 3.144 × 1 0 15
7 π 18 2.664 × 1 0 15 0 3.608 × 1 0 16 1.165 × 1 0 15 7.771 × 1 0 16
4 π 9 1.776 × 1 0 15 9.436 × 1 0 15 1.215 × 1 0 14 1.310 × 1 0 14 1.332 × 1 0 14
π 2 1.776 × 1 0 15 8.881 × 1 0 15 1.099 × 1 0 14 1.154 × 1 0 14 1.132 × 1 0 14
5 π 9 3.552 × 1 0 15 6.217 × 1 0 15 1.065 × 1 0 14 1.065 × 1 0 14 1.171 × 1 0 14
11 π 18 3.552 × 1 0 15 7.105 × 1 0 15 1.021 × 1 0 14 1.065 × 1 0 14 1.165 × 1 0 14
2 π 3 4.440 × 1 0 16 5.773 × 1 0 15 7.105 × 1 0 15 6.661 × 1 0 15 7.327 × 1 0 15
5 π 6 0 1.687 × 1 0 14 2.042 × 1 0 14 2.131 × 1 0 14 2.231 × 1 0 14
8 π 9 5.329 × 1 0 15 1.421 × 1 0 14 1.776 × 1 0 14 1.776 × 1 0 14 1.717 × 1 0 14
17 π 18 3.552 × 1 0 15 1.776 × 1 0 15 1.776 × 1 0 15 1.776 × 1 0 15 1.554 × 1 0 15
π 7.105 × 1 0 15 2.664 × 1 0 14 3.197 × 1 0 14 3.197 × 1 0 14 3.019 × 1 0 14
Table 5. The numerical values of normal and tangential stress to the liquid curtain and substrate for different variations of θ 0 .
Table 5. The numerical values of normal and tangential stress to the liquid curtain and substrate for different variations of θ 0 .
θ 0 T n = S θ θ | θ = θ 0 L = T n c o s θ 0 D = T n S i n θ 0
0
π 6 2.231 1.933 1.116
2 π 9 1.737 1.331 1.116
5 π 18 1.352 0.894 1.014
π 3 0.140 0.070 0.121
7 π 18 8.887 3.042 8.350
4 π 9 225.4 42.25 221.4
π 2
5 π 9 69.51 12.06 68.45
11 π 18 24.19 8.273 22.73
2 π 3 9.001 4.499 7.796
5 π 6 3.878 3.357 1.942
8 π 9 0.627 0.589 0.214
17 π 18 345.4 340.1 60.03
π
Disclaimer/Publisher’s Note: The statements, opinions and data contained in all publications are solely those of the individual author(s) and contributor(s) and not of MDPI and/or the editor(s). MDPI and/or the editor(s) disclaim responsibility for any injury to people or property resulting from any ideas, methods, instructions or products referred to in the content.

Share and Cite

MDPI and ACS Style

Mehboob, L.; Maqbool, K.; Siddiqui, A.M.; Abbas, Z. Improving Coating Stability Using Slip Conditions: An Analytical Approach to Curtain Coating. Lubricants 2026, 14, 11. https://doi.org/10.3390/lubricants14010011

AMA Style

Mehboob L, Maqbool K, Siddiqui AM, Abbas Z. Improving Coating Stability Using Slip Conditions: An Analytical Approach to Curtain Coating. Lubricants. 2026; 14(1):11. https://doi.org/10.3390/lubricants14010011

Chicago/Turabian Style

Mehboob, Laraib, Khadija Maqbool, Abdul Majeed Siddiqui, and Zaheer Abbas. 2026. "Improving Coating Stability Using Slip Conditions: An Analytical Approach to Curtain Coating" Lubricants 14, no. 1: 11. https://doi.org/10.3390/lubricants14010011

APA Style

Mehboob, L., Maqbool, K., Siddiqui, A. M., & Abbas, Z. (2026). Improving Coating Stability Using Slip Conditions: An Analytical Approach to Curtain Coating. Lubricants, 14(1), 11. https://doi.org/10.3390/lubricants14010011

Note that from the first issue of 2016, this journal uses article numbers instead of page numbers. See further details here.

Article Metrics

Back to TopTop