Sign in to use this feature.

Years

Between: -

Subjects

remove_circle_outline
remove_circle_outline
remove_circle_outline
remove_circle_outline
remove_circle_outline
remove_circle_outline

Journals

Article Types

Countries / Regions

Search Results (41)

Search Parameters:
Keywords = two-leaf light use efficiency model

Order results
Result details
Results per page
Select all
Export citation of selected articles as:
19 pages, 3691 KB  
Article
Drip Irrigation Coupled with Wide-Row Precision Seeding Enhances Winter Wheat Yield and Water Use Efficiency by Optimizing Canopy Structure and Photosynthetic Performance
by Shengfeng Wang, Enlai Zhan, Zijun Long, Guowei Liang, Minjie Gao and Guangshuai Wang
Agronomy 2026, 16(2), 256; https://doi.org/10.3390/agronomy16020256 - 21 Jan 2026
Viewed by 209
Abstract
To address the bottlenecks of low water and fertilizer utilization efficiency and limited yield potential inherent in Henan Province’s traditional winter wheat cultivation model of “furrow irrigation + conventional row seeding”, this study delved into the synergistic regulatory mechanisms of drip irrigation combined [...] Read more.
To address the bottlenecks of low water and fertilizer utilization efficiency and limited yield potential inherent in Henan Province’s traditional winter wheat cultivation model of “furrow irrigation + conventional row seeding”, this study delved into the synergistic regulatory mechanisms of drip irrigation combined with wide-row precision seeding. It focused on their effects on the physiological ecology and yield-quality traits of winter wheat. A two-factor experiment, encompassing “sowing method × irrigation method” will be carried out during the 2024–2025 wheat growing season, featuring four treatments: furrow irrigation + conventional row seeding (QT), drip irrigation + conventional row seeding (DT), furrow irrigation + wide-row precision seeding (QK), and drip irrigation + wide-row precision seeding (DK). Results reveal that wide-row precision seeding optimized the canopy structure, raising the leaf area index (LAI) at the heading stage by 20.19% compared to QT, thereby enhancing ventilation and light penetration and reducing plant competition. Drip irrigation, with its precise water delivery, boosted the net photosynthetic rate of the flag leaf 35 days after flowering by 62.99% relative to QT, stabilizing root water uptake and significantly delaying leaf senescence. The combined effect of the two treatments (DK treatment) synergistically improved the canopy structure and photosynthetic performance of winter wheat, prolonging the functional period of green leaves by 29.41%. It established a highly efficient photosynthetic cycle, marked by “high stomatal conductance-low intercellular CO2 concentration-high net photosynthetic rate”. The peak net photosynthetic rate (Pn) 13 days post-flowering rose by 23.9% compared to QT. Moreover, while reducing total water consumption by 21.4%, it substantially increased water use efficiency (WUE) and irrigation water use efficiency (IWUE) by 43.2% and 14.2%, respectively, compared to the QT control. Ultimately, the DK treatment achieved a synergistic enhancement in both yield and quality: grain yield increased by 14.7% compared to QT, wet gluten content reached 35.5%, and total protein yield per unit area rose by 13.1%. This study demonstrates that coupling drip irrigation with wide-row precision seeding is an effective strategy for achieving water-saving, high-yield, and high-quality winter wheat cultivation in the Huang-Huai-Hai region. This is achieved through the synergistic optimization of canopy structure, enhanced photosynthetic efficiency, and improved WUE. These findings provide a mechanistic basis and a scalable agronomic solution for sustainable intensification of winter wheat production under water-limited conditions in major cereal-producing regions. Full article
(This article belongs to the Special Issue Water and Fertilizer Regulation Theory and Technology in Crops)
Show Figures

Figure 1

21 pages, 2743 KB  
Article
Optimizing Row Spacing to Enhance Tomato Yield, Radiation Interception and Use Efficiency in Greenhouses
by Shuangwei Li, Minjie Xu, Kaiyuan Han, Shiyi Tan, Yinglei Zhao, Chenghao Zhang and Shan Hua
Agronomy 2026, 16(1), 6; https://doi.org/10.3390/agronomy16010006 - 19 Dec 2025
Viewed by 781
Abstract
Canopy configuration affects crop yields by optimizing radiation interception and/or use efficiency in greenhouses. Although tomato metrics have been reported, the effects of row spacing on growth, yield and radiation for different cultivars are not well documented. Here, we examined tomato growth, yield, [...] Read more.
Canopy configuration affects crop yields by optimizing radiation interception and/or use efficiency in greenhouses. Although tomato metrics have been reported, the effects of row spacing on growth, yield and radiation for different cultivars are not well documented. Here, we examined tomato growth, yield, radiation interception and use efficiency in a greenhouse with four row spacing patterns (T1: 50 cm, T2: 60 cm, T3: 70 cm and T4: 80 cm) and two tomato cultivars (Aomeila1618 and Zhefen202) over a two-year period. A constructed intermediate model was used to simulate tomato radiation interception. Although there were great differences in the genotypes between the two selected cultivars, 50 cm (T1) was the optimal row spacing to produce a larger leaf area per unit of land area, intercept more radiation and ultimately achieve higher yield than the other three row spacing patterns (T2, T3 and T4). The mean total radiation interception across years and cultivars was 559.43 MJ m−2 in T1, 2.8–3.8% higher than in the other three row spacing patterns. Despite similar dry matter and RUE to Aomeila1618, Zhefen202 in the narrow strip used light more efficiently. These results will help to optimize canopy structures by taking cultivar-specific responses in RUE and growth traits into consideration for high-efficiency tomato production in greenhouses. Full article
(This article belongs to the Section Horticultural and Floricultural Crops)
Show Figures

Figure 1

20 pages, 2735 KB  
Article
Leaf Area Estimation in High-Wire Tomato Cultivation Using Plant Body Scanning
by Hiroki Naito, Tokihiro Fukatsu, Kota Shimomoto, Fumiki Hosoi and Tomohiko Ota
AgriEngineering 2025, 7(7), 206; https://doi.org/10.3390/agriengineering7070206 - 1 Jul 2025
Cited by 1 | Viewed by 2486
Abstract
Accurate estimation of the leaf area index (LAI), a key indicator of canopy development and light interception, is essential for improving productivity in greenhouse tomato cultivation. This study presents a non-destructive LAI estimation method using side-view images captured by a vertical scanning system. [...] Read more.
Accurate estimation of the leaf area index (LAI), a key indicator of canopy development and light interception, is essential for improving productivity in greenhouse tomato cultivation. This study presents a non-destructive LAI estimation method using side-view images captured by a vertical scanning system. The system recorded the full vertical profile of tomato plants grown under two deleafing strategies: modifying leaf height (LH) and altering leaf density (LD). Vegetative and leaf areas were extracted using color-based masking and semantic segmentation with the Segment Anything Model (SAM), a general-purpose deep learning tool. Regression models based on leaf or all vegetative pixel counts showed strong correlations with destructively measured LAI, particularly under LH conditions (R2 > 0.85; mean absolute percentage error ≈ 16%). Under LD conditions, accuracy was slightly lower due to occlusion and leaf orientation. Compared with prior 3D-based methods, the proposed 2D approach achieved comparable accuracy while maintaining low cost and a labor-efficient design. However, the system has not been tested in real production, and its generalizability across cultivars, environments, and growth stages remains unverified. This proof-of-concept study highlights the potential of side-view imaging for LAI monitoring and calls for further validation and integration of leaf count estimation. Full article
Show Figures

Figure 1

21 pages, 4394 KB  
Article
Deep Learning Models for Detection and Severity Assessment of Cercospora Leaf Spot (Cercospora capsici) in Chili Peppers Under Natural Conditions
by Douglas Vieira Leite, Alisson Vasconcelos de Brito, Gregorio Guirada Faccioli and Gustavo Haddad Souza Vieira
Plants 2025, 14(13), 2011; https://doi.org/10.3390/plants14132011 - 1 Jul 2025
Cited by 4 | Viewed by 2366
Abstract
The accurate assessment of plant disease severity is crucial for effective crop management. Deep learning, especially via CNNs, is widely used for image segmentation in plant lesion detection, but accurately assessing disease severity across varied environmental conditions remains challenging. This study evaluates eight [...] Read more.
The accurate assessment of plant disease severity is crucial for effective crop management. Deep learning, especially via CNNs, is widely used for image segmentation in plant lesion detection, but accurately assessing disease severity across varied environmental conditions remains challenging. This study evaluates eight deep learning models for detecting and quantifying Cercospora leaf spot (Cercospora capsici) severity in chili peppers under natural field conditions. A custom dataset of 1645 chili pepper leaf images, collected from a Brazilian plantation and annotated with 6282 lesions, was developed for real-world robustness, reflecting real-world variability in lighting and background. First, an algorithm was developed to process raw images, applying ROI selection and background removal. Then, four YOLOv8 and four Mask R-CNN models were fine-tuned for pixel-level segmentation and severity classification, comparing one-stage and two-stage models to offer practical insights for agricultural applications. In pixel-level segmentation on the test dataset, Mask R-CNN achieved superior precision with a Mean Intersection over Union (MIoU) of 0.860 and F1-score of 0.924 for the mask_rcnn_R101_FPN_3x model, compared to 0.808 and 0.893 for the YOLOv8s-Seg model. However, in severity classification, Mask R-CNN underestimated higher severity levels, with an accuracy of 72.3% for level III, while YOLOv8 attained 91.4%. Additionally, YOLOv8 demonstrated greater efficiency, with an inference time of 27 ms versus 89 ms for Mask R-CNN. While Mask R-CNN excels in segmentation accuracy, YOLOv8 offers a compelling balance of speed and reliable severity classification, making it suitable for real-time plant disease assessment in agricultural applications. Full article
(This article belongs to the Section Plant Protection and Biotic Interactions)
Show Figures

Figure 1

18 pages, 8119 KB  
Article
Study on the Photosynthetic Physiological Responses of Greenhouse Young Chinese Cabbage (Brassica rapa L. Chinensis Group) Affected by Particulate Matter Based on Hyperspectral Analysis
by Lijuan Kong, Siyao Gao, Jianlei Qiao, Lina Zhou, Shuang Liu, Yue Yu and Haiye Yu
Plants 2025, 14(10), 1479; https://doi.org/10.3390/plants14101479 - 15 May 2025
Cited by 1 | Viewed by 1389
Abstract
Particulate matter affects both the light environment and air quality in greenhouses, obstructing normal gas exchange and hindering efficient physiological activities such as photosynthesis. This study focused on young Chinese cabbage (Brassica rapa L. Chinensis Group) in a greenhouse at harvest [...] Read more.
Particulate matter affects both the light environment and air quality in greenhouses, obstructing normal gas exchange and hindering efficient physiological activities such as photosynthesis. This study focused on young Chinese cabbage (Brassica rapa L. Chinensis Group) in a greenhouse at harvest time, monitoring and comparing hyperspectral information, net photosynthetic rate, and microscopic leaf structure under two conditions: a quantitative artificial particulate matter environment and a healthy environment. Based on microscopic results combined with spectral responses and changes in photosynthetic physiological information, it is believed that particulate matter enters plant cells through stomata. Through retention and transport pathways, it disrupts the membrane structure, organelles, and other components of plant cells, resulting in adverse effects on the plant’s physiological functions. The study analyzed the mechanisms by which particulate matter influences the photosynthesis, spectral characteristics, and physiological responses of young Chinese cabbage. Physiological Reflectance Index (PRI), Modified Chlorophyll Absorption Ratio Index (MCARI), spectral red-edge position (λr), and spectral sensitive bands were used as spectral feature variables. Through cubic polynomial and 24 combinations of spectral preprocessing and modeling methods, an inversion model of spectral features and net photosynthetic rate was established. The optimal combination of spectral preprocessing and modeling methods was finally selected as SG + SD + PLS + MSC, which consists of Savitzky-Golay smooth (SG), second derivative (SD), partial least squares (PLS), and multiplicative scatter correction (MSC). The coefficient of determination (R2) of the model is 0.9513. The results indicate that particulate matter affects plant photosynthesis. The SG + SD + PLS + MSC combination method is relatively advantageous for processing the photosynthetic spectral physiological information of plants under the influence of particulate matter. The results of this study will deepen the understanding of the mechanisms by which particulate matter affects plants and provide a reference for the physiological information inversion of greenhouse vegetables under particulate matter pollution. Full article
(This article belongs to the Section Plant Modeling)
Show Figures

Figure 1

15 pages, 1812 KB  
Article
Enhancing the Photon Yield of Hydroponic Lettuce Through Stage-Wise Optimization of the Daily Light Integral in an LED Plant Factory
by Ruimei Yang, Hao Yang, Fang Ji and Dongxian He
Agronomy 2024, 14(12), 2949; https://doi.org/10.3390/agronomy14122949 - 11 Dec 2024
Cited by 10 | Viewed by 4217
Abstract
The widespread application of LED plant factories has been hindered by the high energy consumption and low light use efficiency. Adjustment of the daily light integral (DLI) offers a promising approach to enhance the light use efficiency in hydroponic cultivation within LED plant [...] Read more.
The widespread application of LED plant factories has been hindered by the high energy consumption and low light use efficiency. Adjustment of the daily light integral (DLI) offers a promising approach to enhance the light use efficiency in hydroponic cultivation within LED plant factories. However, most LED plant factories use a constant DLI during the cultivation process, which often leads to excessive light intensity in the early growth stage and insufficient light intensity in the later stage. To address this issue, this study aimed to improve the photon yield of hydroponic lettuce by optimizing the DLI at different growth stages. A logistic growth model was employed to segment the lettuce growth process, with variable DLI levels applied to each stage. DLIs of 11.5, 14.4, and 18.0 mol m−2·d−1 were implemented at the slow growth stage, and the DLIs were adjusted to 14.4, 17.3, and 21.2 mol m−2·d−1 at the rapid growth stage. Photoperiods of 16 h·d−1 and 20 h·d−1 were used for the two growth stages, and LED lamps with white and red chips (ratio of red to blue light was 1.5) were used as the light source. The results indicated that the photoperiod had no significant impact on the shoot fresh weight and photon yield under the constant DLI conditions at the slow growth stage (12 days after transplanting). The 14.4 mol m−2·d−1 treatment resulted in the highest photon yield due to the significant increases in the light absorption and net photosynthetic rate of the leaves compared to the 11.5 mol m−2·d−1 treatment. No significant differences in the specific leaf area (SLA) and leaf light absorption were observed between the 14.4 and 18.0 mol m−2·d−1 treatments; however, the photon yield and actual photochemical efficiency (ΦPSII) significantly decreased. Compared with the DLI of 14.4 mol m−2·d−1 at the rapid growth stage (24 days after transplanting), the 17.3 mol m−2·d−1 treatment with 20 h·d−1 increased the leaf light absorption by 5%, the net photosynthetic rate by 35%, the shoot fresh weight by 25%, and the photon yield by 19%. However, the treatments with DLIs above 17.3 mol m−2·d−1 resulted in notable decreases in the photon yield, ΦPSII, and photosynthetic potential. In conclusion, it is recommended to implement a 20 h·d−1 photoperiod coupled with a DLI of 14.4 mol m−2·d−1 for the slow growth stage and 17.2 mol m−2·d−1 for the rapid growth stage of hydroponic lettuce cultivation in an LED plant factory. Full article
Show Figures

Figure 1

18 pages, 1183 KB  
Article
Enhancing Transpiration Estimates: A Novel Approach Using SIF Partitioning and the TL-LUE Model
by Tewekel Melese Gemechu, Baozhang Chen, Huifang Zhang, Junjun Fang and Adil Dilawar
Remote Sens. 2024, 16(21), 3924; https://doi.org/10.3390/rs16213924 - 22 Oct 2024
Cited by 1 | Viewed by 2814
Abstract
Accurate evapotranspiration (ET) estimation is crucial for understanding ecosystem dynamics and managing water resources. Existing methodologies, including traditional techniques like the Penman–Monteith model, remote sensing approaches utilizing Solar-Induced Fluorescence (SIF), and machine learning algorithms, have demonstrated varying levels of effectiveness in ET estimation. [...] Read more.
Accurate evapotranspiration (ET) estimation is crucial for understanding ecosystem dynamics and managing water resources. Existing methodologies, including traditional techniques like the Penman–Monteith model, remote sensing approaches utilizing Solar-Induced Fluorescence (SIF), and machine learning algorithms, have demonstrated varying levels of effectiveness in ET estimation. However, these methods often face significant challenges, such as reliance on empirical coefficients, inadequate representation of canopy dynamics, and limitations due to cloud cover and sensor constraints. These issues can lead to inaccuracies in capturing ET’s spatial and temporal variability, highlighting the need for improved estimation techniques. This study introduces a novel approach to enhance ET estimation by integrating SIF partitioning with Photosynthetically Active Radiation (PAR) and leaf area index (LAI) data, utilizing the TL-LUE model (Two-Leaf Light Use Efficiency). Partitioning SIF data into sunlit and shaded components allows for a more detailed representation of the canopy’s functional dynamics, significantly improving ET modelling. Our analysis reveals significant advancements in ET modelling through SIF partitioning. At Xiaotangshan Station, the correlation between modelled ET and SIFsu is 0.71, while the correlation between modelled ET and SIFsh is 0.65. The overall correlation (R2) between the modelled ET and the combined SIF partitioning (SIF(P)) is 0.69, indicating a strong positive relationship at Xiaotangshan Station. The correlations between SIFsh and SIFsu with modelled ET show notable patterns, with R2 values of 0.89 and 0.88 at Heihe Daman, respectively. These findings highlight the effectiveness of SIF partitioning in capturing canopy dynamics and its impact on ET estimation. Comparing modelled ET with observed ET and the Penman–Monteith model (PM model) demonstrates substantial improvements. R2 values for modelled ET against observed ET were 0.68, 0.76, and 0.88 across HuaiLai, Shangqiu, and Yunxiao Stations. Modelled ET correlations to the PM model were 0.75, 0.73, and 0.90, respectively, at three stations. These results underscore the model’s capability to enhance ET estimations by integrating physiological and remote sensing data. This innovative SIF-partitioning approach offers a more nuanced perspective on canopy photosynthesis, providing a more accurate and comprehensive method for understanding and managing ecosystem water dynamics across diverse environments. Full article
Show Figures

Figure 1

26 pages, 6009 KB  
Article
Comparison and Optimization of Light Use Efficiency-Based Gross Primary Productivity Models in an Agroforestry Orchard
by Ningbo Cui, Ziling He, Mingjun Wang, Wenjiang Zhang, Lu Zhao, Daozhi Gong, Jun Li and Shouzheng Jiang
Remote Sens. 2024, 16(19), 3679; https://doi.org/10.3390/rs16193679 - 2 Oct 2024
Cited by 2 | Viewed by 2054
Abstract
The light-use efficiency-based gross primary productivity (LUE-GPP) model is widely utilized for simulating terrestrial ecosystem carbon exchanges owing to its perceived simplicity and reliability. Variations in cloud cover and aerosol concentrations can affect ecosystem LUE, thereby influencing the performance of the LUE-GPP model, [...] Read more.
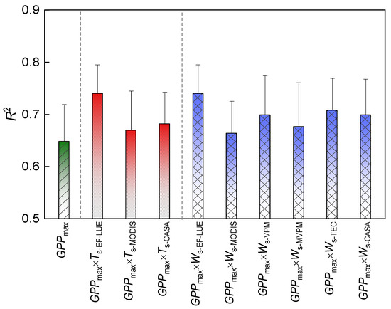
The light-use efficiency-based gross primary productivity (LUE-GPP) model is widely utilized for simulating terrestrial ecosystem carbon exchanges owing to its perceived simplicity and reliability. Variations in cloud cover and aerosol concentrations can affect ecosystem LUE, thereby influencing the performance of the LUE-GPP model, particularly in humid regions. In this study, the performance of six big-leaf LUE-GPP models and one two-leaf LUE-GPP model were evaluated in a humid agroforestry ecosystem from 2018–2020. All big-leaf LUE-GPP models yielded GPP values consistent with that derived from the eddy covariance system (GPPEC), with R2 ranging from 0.66–0.73 and RMSE ranging from 1.81–3.04 g C m−2 d−1. Differences in model performance were attributed to the differences in the quantification of temperature (Ts) and moisture constraints (Ws) and their combination forms in the models. The Ts and Ws algorithms in the eddy covariance-light-use efficiency (EF-LUE) model well characterized the environmental constraints on LUE. Simulation accuracy under the common limitation of Ts and Ws (Ts × Ws) was higher than the maximum limitation of Ts or Ws (Min (Ts, Ws)), and the combination of the Ts algorithm in the Carnegie–Ames–Stanford Approach (CASA) and the Ws algorithm in the EF-LUE model was optimized in combination forms, thereby constraining LUE for GPP estimates (GPPBLO, R2 = 0.76). Various big-leaf LUE-GPP models overestimated or underestimated GPP on sunny or cloudy days, respectively, while the two-leaf LUE-GPP model, which considered the transmission of diffuse radiation and the difference in photosynthetic capacity of canopy leaves, performed well (R2 = 0.72, p < 0.01). Nevertheless, the underestimation/overestimation for shaded/sunlit leaves remained under different weather conditions. Then, the clearness index (Kt) was introduced to calculate the dynamic LUE in the big-leaf and two-leaf LUE-GPP models in the form of exponential or power functions, resulting in consistent performance even in different weather conditions and an overall higher simulation accuracy. This study confirmed the potential applicability of different LUE-GPP models and emphasized the importance of dynamic LUE on model performance. Full article
Show Figures

Figure 1

19 pages, 6038 KB  
Article
Establishment and Solution of a Finite Element Gas Exchange Model in Greenhouse-Grown Tomatoes for Two-Dimensional Porous Media with Light Quantity and Light Direction
by Chengyao Jiang, Ke Xu, Jiahui Rao, Jiaming Liu, Yushan Li, Yu Song, Mengyao Li, Yangxia Zheng and Wei Lu
Agriculture 2024, 14(8), 1209; https://doi.org/10.3390/agriculture14081209 - 23 Jul 2024
Cited by 2 | Viewed by 1363
Abstract
An accurate gas utilization model is essential for precisely detecting plant photosynthetic capacity. Existing equipment for measuring the plant photosynthetic rate typically considers the key parameters of mesophyll cell conductance and a photosynthetic model based on the carbon reaction process under direct light [...] Read more.
An accurate gas utilization model is essential for precisely detecting plant photosynthetic capacity. Existing equipment for measuring the plant photosynthetic rate typically considers the key parameters of mesophyll cell conductance and a photosynthetic model based on the carbon reaction process under direct light conditions. However, the light environment signals received by the plant canopy not only vary significantly in incidence angles, but the effective light intensity also differs greatly from the measured values under vertical incidence conditions. To reduce the deviation between existing photosynthetic models and the actual photosynthetic efficiency of leaves, this study employs the gas diffusion method from engineering, using the finite element approach. Based on elastic mechanics and seepage mechanics, the internal stress field control equation of tomato leaves and the two-phase flow equation under a CO2 porous medium were derived. A mathematical model of porous gas–liquid two-phase fluid-solid coupling was established, solved, and analyzed. Preliminary verification was conducted through tests. The results show that in the initial stage of CO2 entering the leaf, the gas flow velocity is higher because of the larger pressure gradient between the pore and the leaf. In this stage, the gas diffusion rate is higher. As the intake time increases, the pressure gradient gradually decreases, and the inlet velocity slows down. Consequently, the diffusion rate gradually reduces. Because of the coupling of light quantity and light direction, the gas diffusion rate significantly increases compared with the uncoupled model. Additionally, a diffusion model that does not consider fluid–solid coupling will overestimate the gas flow rate as the depth of gas entry increases. Therefore, the internal gas diffusion model must account for the effect of coupling on the diffusion rate. Full article
(This article belongs to the Special Issue Research on Plant Production in Greenhouse and Plant Factory Systems)
Show Figures

Figure 1

18 pages, 48964 KB  
Article
Exploring the Spatiotemporal Alterations in China’s GPP Based on the DTEC Model
by Jie Peng, Yayong Xue, Naiqing Pan, Yuan Zhang, Haibin Liang and Fei Zhang
Remote Sens. 2024, 16(8), 1361; https://doi.org/10.3390/rs16081361 - 12 Apr 2024
Cited by 4 | Viewed by 2543
Abstract
Gross primary productivity (GPP) is a reliable measure of the carbon sink potential of terrestrial ecosystems and is an essential element of terrestrial carbon cycle research. This study employs the diffuse fraction-based two-leaf light-use efficiency (DTEC) model to imitate China’s monthly GPP from [...] Read more.
Gross primary productivity (GPP) is a reliable measure of the carbon sink potential of terrestrial ecosystems and is an essential element of terrestrial carbon cycle research. This study employs the diffuse fraction-based two-leaf light-use efficiency (DTEC) model to imitate China’s monthly GPP from 2001 to 2020. We studied the trend of GPP, investigated its relationship with climatic factors, and separated the contributions of climate change and human activities. The findings showed that the DTEC model was widely applicable in China. During the study period, China’s average GPP increased significantly, by 9.77 g C m−2 yr−1 (p < 0.001). The detrimental effect of aerosol optical depth (AOD) on GPP was more widespread than that of total precipitation, temperature, and solar radiation. Areas that benefited from AOD, such as Northwest China, experienced significant increases in GPP. Climate change and human activities had a primary and positive influence on GPP during the study period, accounting for 28% and 72% of the increase, respectively. Human activities, particularly ecological restoration projects and the adoption of advanced agricultural technologies, played a significant role in China’s GPP growth. China’s afforestation plan was particularly notable, with the GPP increasing in afforestation areas at a rate greater than 10 g C m−2 yr−1. This research provides a theoretical foundation for the long-term management of China’s terrestrial ecosystems and helps develop adaptive ecological restoration tactics. Full article
Show Figures

Figure 1

27 pages, 9205 KB  
Article
Seasonal Effect of the Vegetation Clumping Index on Gross Primary Productivity Estimated by a Two-Leaf Light Use Efficiency Model
by Zhilong Li, Ziti Jiao, Chenxia Wang, Siyang Yin, Jing Guo, Yidong Tong, Ge Gao, Zheyou Tan and Sizhe Chen
Remote Sens. 2023, 15(23), 5537; https://doi.org/10.3390/rs15235537 - 28 Nov 2023
Cited by 7 | Viewed by 2408
Abstract
Recently, light use efficiency (LUE) models driven by remote sensing data have been widely employed to estimate the gross primary productivity (GPP) of different terrestrial ecosystems at global or regional scales. Furthermore, the two-leaf light use efficiency (TL-LUE) model has been reported to [...] Read more.
Recently, light use efficiency (LUE) models driven by remote sensing data have been widely employed to estimate the gross primary productivity (GPP) of different terrestrial ecosystems at global or regional scales. Furthermore, the two-leaf light use efficiency (TL-LUE) model has been reported to improve the accuracy of GPP estimation, relative to the big-leaf MOD17 model, by separating the entire canopy into sunlit and shaded leaves through the use of constant clumping index estimation (Ω). However, ignoring obvious seasonal changes in the vegetation clumping index (CI) most likely results in GPP estimation errors since the CI tends to present seasonal changes, especially with respect to the obvious presence or absence of leaves within the canopy of deciduous vegetation. Here, we propose a TL-CLUE model that considers the seasonal difference in the CI based on the TL-LUE model to characterize general changes in canopy seasonality. This method composites monthly CI values into two or three Ω values to capture the general seasonal changes in CI while attempting to reduce the potential uncertainty caused during CI inversion. In theory, CI seasonality plays an essential role in the distribution of photosynthetically active radiation absorbed by the canopy (APAR). Specifically, the seasonal difference in CI values mainly considers the state of leaf growth, which is determined by the MODIS land surface phenology (LSP) product (MCD12Q2). Therefore, the one-year cycle (OYC) of leaf life is divided into two (leaf-off and leaf-on) or three seasons (leaf-off, leaf-scattering, and leaf-gathering) according to this MODIS LSP product, and the mean CI of each corresponding season for each vegetation class is computed to smoothen the uncertainties within each seasonal section. With these two or three seasonal Ω values as inputs, the TL-CLUE model by which the seasonal differences in CI are incorporated into the TL-LUE model is run and evaluated based on observations from 84 eddy covariance (EC) tower sites across North America. The results of the analysis reveal that the TL-LUE model widely overestimates GPP for most vegetation types during the leaf-on season, particularly during the growth peak. Although the TL-LUE model shows that the temporal characteristics of GPP agree with the EC observations in terms of general trends, the TL-CLUE model further improves the accuracy of GPP estimation by considering the seasonal changes in the CI. The result of GPP estimation from the TL-CLUE model shows a lower error (RMSE = 2.46 g C m−2 d−1) than the TL-LUE model (RMSE = 2.75 g C m−2 d−1) and somewhat decreases the eight-day GPP overestimation in the TL-LUE model with a constant Ω by approximately 9.76 and 8.970% when adapting three and two Ωs from different seasons, respectively. The study demonstrates that the uncertainty of seasonal disturbance in the CI, quantified by a standard deviation of approximately 0.071 relative to the mean CI of 0.746, is diminished through simple averaging. The seasonal difference in CI should be considered in GPP estimation of terrestrial ecosystems, particularly for vegetation with obvious canopy changes, where leaves go through the complete physiological processes of germination, stretching, maturity, and falling within a year. This study demonstrates the potential of the MODIS CI application in developing ecosystem and hydrological models. Full article
(This article belongs to the Section Ecological Remote Sensing)
Show Figures

Figure 1

19 pages, 8200 KB  
Article
Assessing the Reliability of Global Carbon Flux Dataset Compared to Existing Datasets and Their Spatiotemporal Characteristics
by Zili Xiong, Wei Shangguan, Vahid Nourani, Qingliang Li, Xingjie Lu, Lu Li, Feini Huang, Ye Zhang, Wenye Sun, Hua Yuan and Xueyan Li
Climate 2023, 11(10), 205; https://doi.org/10.3390/cli11100205 - 11 Oct 2023
Viewed by 3987
Abstract
Land carbon fluxes play a critical role in ecosystems, and acquiring a comprehensive global database of carbon fluxes is essential for understanding the Earth’s carbon cycle. The primary methods of obtaining the spatial distribution of land carbon fluxes include utilizing machine learning models [...] Read more.
Land carbon fluxes play a critical role in ecosystems, and acquiring a comprehensive global database of carbon fluxes is essential for understanding the Earth’s carbon cycle. The primary methods of obtaining the spatial distribution of land carbon fluxes include utilizing machine learning models based on in situ measurements, estimating through satellite remote sensing, and simulating ecosystem models. Recently, an innovative machine learning product known as the Global Carbon Flux Dataset (GCFD) has been released. In this study, we assessed the reliability of the GCFD by comparing it with existing data products, including two machine learning products (FLUXCOM and NIES (National Institute for Environmental Studies)), two ecosystem model products (TRENDY and EC-LUE (eddy covariance–light use efficiency model)), and one remote sensing product (Global Land Surface Satellite), on both site and global scales. Our findings indicate that, in terms of average absolute difference, the spatial distribution of the GCFD is most similar to the NIES product, albeit with slightly larger discrepancies compared to the other two types of products. When using site observations as the benchmark, gross primary production (GPP), respiration of ecosystem (RECO), and net ecosystem exchange of machine learning products exhibit higher R2 (ranging from 0.57 to 0.85, 0.53–0.79, and 0.31–0.70, respectively) compared to model products and remote sensing products. Furthermore, we analyzed the spatial and temporal distribution characteristics of carbon fluxes in various regions. The results demonstrate an upward trend in both GPP and RECO over the past two decades, while NEE exhibits an opposite trend. This trend is particularly pronounced in tropical regions, where higher GPP is observed in tropical, subtropical, and oceanic climate zones. Additionally, two remote sensing variables that influence changes in carbon fluxes, i.e., fraction absorbed photosynthetically active radiation and leaf area index, exhibit relatively consistent spatial and temporal characteristics. Overall, our study can provide valuable insights into different types of carbon flux products and contribute to understanding the general features of global carbon fluxes. Full article
Show Figures

Figure 1

18 pages, 3945 KB  
Article
Wheat Yield Estimation at High Spatial Resolution through the Assimilation of Sentinel-2 Data into a Crop Growth Model
by El houssaine Bouras, Per-Ola Olsson, Shangharsha Thapa, Jesús Mallol Díaz, Johannes Albertsson and Lars Eklundh
Remote Sens. 2023, 15(18), 4425; https://doi.org/10.3390/rs15184425 - 8 Sep 2023
Cited by 21 | Viewed by 4570
Abstract
Monitoring crop growth and estimating crop yield are essential for managing agricultural production, ensuring food security, and maintaining sustainable agricultural development. Combining the mechanistic framework of a crop growth model with remote sensing observations can provide a means of generating realistic and spatially [...] Read more.
Monitoring crop growth and estimating crop yield are essential for managing agricultural production, ensuring food security, and maintaining sustainable agricultural development. Combining the mechanistic framework of a crop growth model with remote sensing observations can provide a means of generating realistic and spatially detailed crop growth information that can facilitate accurate crop yield estimates at different scales. The main objective of this study was to develop a robust estimation methodology of within-field winter wheat yield at a high spatial resolution (20 m × 20 m) by combining a light use efficiency-based model and Sentinel-2 data. For this purpose, Sentinel-2 derived leaf area index (LAI) time series were assimilated into the Simple Algorithm for Yield Estimation (SAFY) model using an ensemble Kalman filter (EnKF). The study was conducted on rainfed winter wheat fields in southern Sweden. LAI was estimated using vegetation indices (VIs) derived from Sentinel-2 data with semi-empirical models. The enhanced two-band vegetation index (EVI2) was found to be a useful VI for LAI estimation, with a coefficient of determination (R2) and a root mean square error (RMSE) of 0.80 and 0.65 m2/m2, respectively. Our findings demonstrate that the assimilation of LAI derived from Sentinel-2 into the SAFY model using EnKF enhances the estimation of within-field spatial variability of winter wheat yield by 70% compared to the baseline simulation without the assimilation of remotely sensed data. Additionally, the assimilation of LAI improves the accuracy of winter wheat yield estimation by decreasing the RMSE by 53%. This study demonstrates an approach towards practical applications of freely accessible Sentinel-2 data and a crop growth model through data assimilation for fine-scale mapping of crop yield. Such information is critical for quantifying the yield gap at the field scale, and to aid the optimization of management practices to increase crop production. Full article
Show Figures

Graphical abstract

14 pages, 3081 KB  
Article
Effects of LED Lights and New Long-Term-Release Fertilizers on Lettuce Growth: A Contribution for Sustainable Horticulture
by Elisabetta Sgarbi, Giulia Santunione, Francesco Barbieri, Monia Montorsi, Isabella Lancellotti and Luisa Barbieri
Horticulturae 2023, 9(3), 404; https://doi.org/10.3390/horticulturae9030404 - 21 Mar 2023
Cited by 5 | Viewed by 3012
Abstract
The horticulture sector has been directed by European guidelines to improve its practices related to environmental sustainability. Moreover, the practice of horticulture in urban areas is increasing since it provides fresh products that are locally produced. At the same time, horticulture needs to [...] Read more.
The horticulture sector has been directed by European guidelines to improve its practices related to environmental sustainability. Moreover, the practice of horticulture in urban areas is increasing since it provides fresh products that are locally produced. At the same time, horticulture needs to implement circular economy approaches and energy-efficient models. Therefore, to address these issues, this study investigated the effects of an integrated fertilizer-box-based cultivation system equipped with LED lights and coated porous inorganic materials (C-PIMs), which was applied as fertilizer, on Lactuca sativa L. growth. Two different types of lightweight aggregates were formulated considering agri-food and post-consumer waste, and they were enriched with potassium and phosphorus. Involving waste in the process was part of their valorization in the circular economy. Using PIMs as fertilizers enabled the controlled release of nutrients over time. The tests were carried out in controlled conditions using two LED lighting systems capable of changing their light spectrum according to the growth phases of the plants. The effects of two different lighting schemes on the growth of lettuce plants, in combination with different amounts of aggregates, were studied. The results showed that increasing the amount of C-PIMs statistically improved the lettuce growth in terms of dry biomass production (+60% and +34% for two different types of PIM application) when the plants were exposed to the first LED scheme (LED-1). Plant height and leaf areas significantly increased when exposed to the second LED scheme (LED-2), in combination with the presence of C-PIMs in the soil. The analysis of the heavy metal contents in the lettuce leaves and the soil at the end of the test revealed that these elements remained significantly below the legislated thresholds. The experimental achievements of this study identified a new approach to improve the environmental sustainability of horticulture, especially in an urban/domestic context. Full article
(This article belongs to the Special Issue Compost Applications in Horticultural Production)
Show Figures

Figure 1

50 pages, 16777 KB  
Article
An Analytical Framework on Utilizing Various Integrated Multi-Trophic Scenarios for Basil Production
by Ștefan-Mihai Petrea, Ira Adeline Simionov, Alina Antache, Aurelia Nica, Lăcrămioara Oprica, Anca Miron, Cristina Gabriela Zamfir, Mihaela Neculiță, Maricel Floricel Dima and Dragoș Sebastian Cristea
Plants 2023, 12(3), 540; https://doi.org/10.3390/plants12030540 - 25 Jan 2023
Cited by 5 | Viewed by 3738
Abstract
Here, we aim to improve the overall sustainability of aquaponic basil (Ocimum basilicum L.)-sturgeon (Acipenser baerii) integrated recirculating systems. We implement new AI methods for operational management together with innovative solutions for plant growth bed, consisting of Rapana venosa shells [...] Read more.
Here, we aim to improve the overall sustainability of aquaponic basil (Ocimum basilicum L.)-sturgeon (Acipenser baerii) integrated recirculating systems. We implement new AI methods for operational management together with innovative solutions for plant growth bed, consisting of Rapana venosa shells (R), considered wastes in the food processing industry. To this end, the ARIMA-supervised learning method was used to develop solutions for forecasting the growth of both fish and plant biomass, while multi-linear regression (MLR), generalized additive models (GAM), and XGBoost were used for developing black-box virtual sensors for water quality. The efficiency of the new R substrate was evaluated and compared to the consecrated light expended clay aggregate—LECA aquaponics substrate (H). Considering two different technological scenarios (A—high feed input, B—low feed input, respectively), nutrient reduction rates, plant biomass growth performance and additionally plant quality are analysed. The resulting prediction models reveal a good accuracy, with the best metrics for predicting N-NO3 concentration in technological water. Furthermore, PCA analysis reveals a high correlation between water dissolved oxygen and pH. The use of innovative R growth substrate assured better basil growth performance. Indeed, this was in terms of both average fresh weight per basil plant, with 22.59% more at AR compared to AH, 16.45% more at BR compared to BH, respectively, as well as for average leaf area (LA) with 8.36% more at AR compared to AH, 9.49% more at BR compared to BH. However, the use of R substrate revealed a lower N-NH4 and N-NO3 reduction rate in technological water, compared to H-based variants (19.58% at AR and 18.95% at BR, compared to 20.75% at AH and 26.53% at BH for N-NH4; 2.02% at AR and 4.1% at BR, compared to 3.16% at AH and 5.24% at BH for N-NO3). The concentration of Ca, K, Mg and NO3 in the basil leaf area registered the following relationship between the experimental variants: AR > AH > BR > BH. In the root area however, the NO3 were higher in H variants with low feed input. The total phenolic and flavonoid contents in basil roots and aerial parts and the antioxidant activity of the methanolic extracts of experimental variants revealed that the highest total phenolic and flavonoid contents were found in the BH variant (0.348% and 0.169%, respectively in the roots, 0.512% and 0.019%, respectively in the aerial parts), while the methanolic extract obtained from the roots of the same variant showed the most potent antioxidant activity (89.15%). The results revealed that an analytical framework based on supervised learning can be successfully employed in various technological scenarios to optimize operational management in an aquaponic basil (Ocimum basilicum L.)-sturgeon (Acipenser baerii) integrated recirculating systems. Also, the R substrate represents a suitable alternative for replacing conventional aquaponic grow beds. This is because it offers better plant growth performance and plant quality, together with a comparable nitrogen compound reduction rate. Future studies should investigate the long-term efficiency of innovative R aquaponic growth bed. Thus, focusing on the application of the developed prediction and forecasting models developed here, on a wider range of technological scenarios. Full article
Show Figures

Figure 1

Back to TopTop