An Analytical Framework on Utilizing Various Integrated Multi-Trophic Scenarios for Basil Production
Abstract
1. Introduction
1.1. The General Background of the Study
1.2. Artificial Intelligence (AI) Based on Soft Sensors and Forecasting Models for Water Quality Monitoring, Fish and Plant Biomass Growth
1.3. Aquaponics Grow Media (GM)
1.4. Aim and Hypothesis
2. Results and Discussion
2.1. Growth Performance of Both Acipenser baerii and Ocimum basilicum L. Biomasses
2.2. Forecasting Models for Both Acipenser baerii and Ocimum basilicum L. Biomasses Growth
2.2.1. Forecasting Models for Acipenser baerii Biomasses Growth Based on ARIMA
2.2.2. Forecasting Models for Both Ocimum basilicum L. Biomasses Growth Based on ARIMA
2.3. Water Quality and Nitrogen Compounds Reduction Capacity
2.4. Prediction Models for the Development of Black Box Soft Sensors, Targeting Main Water Quality Parameters
2.4.1. The Correlation Matrix
2.4.2. The MLR Prediction Models
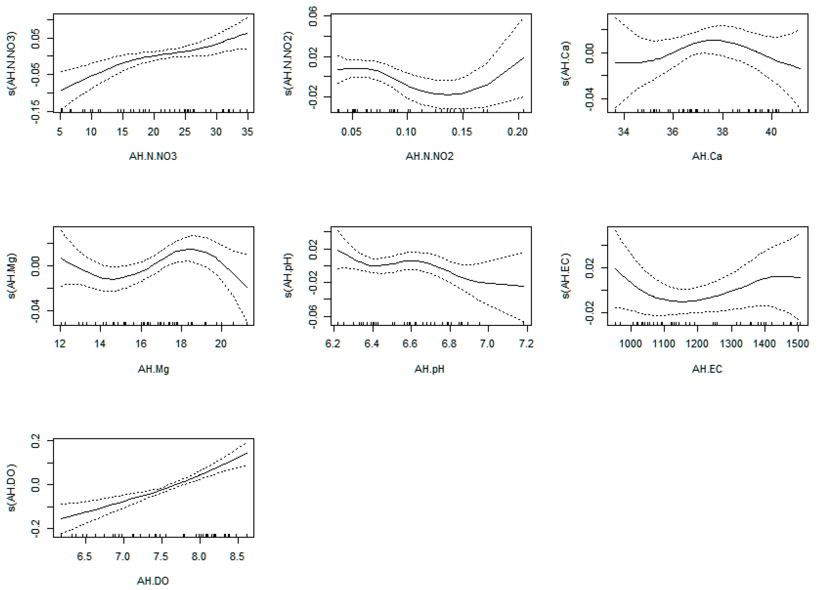
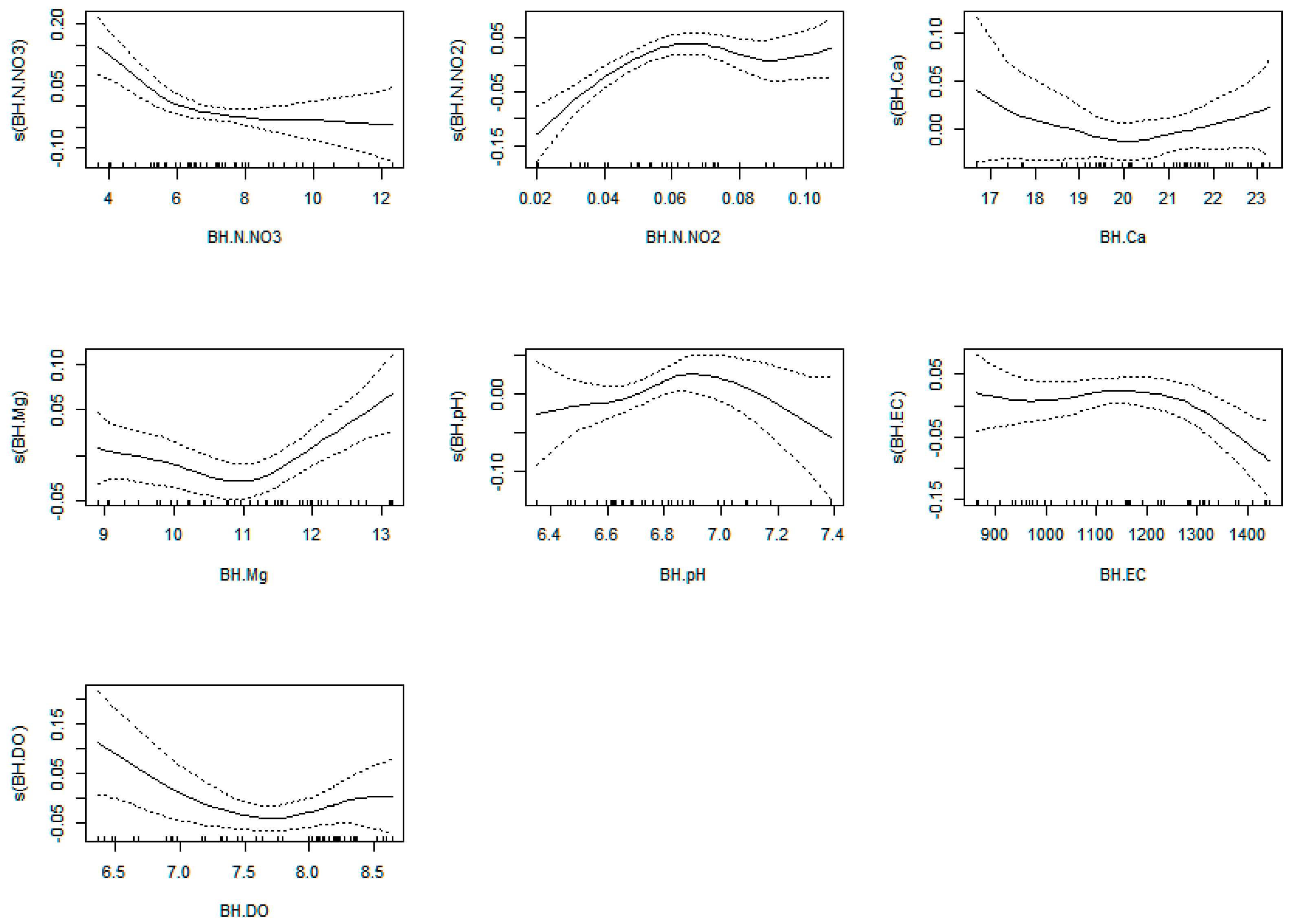
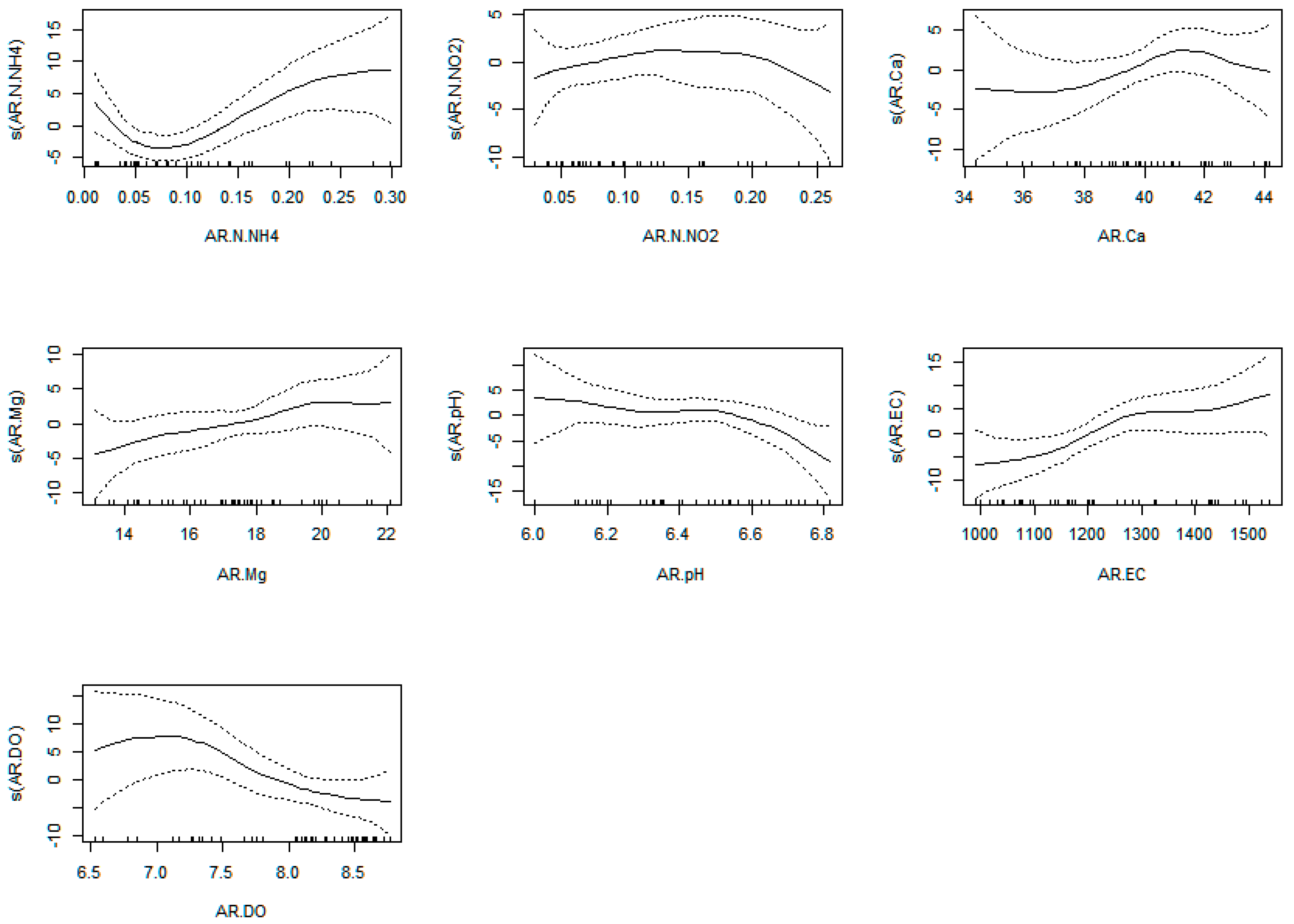
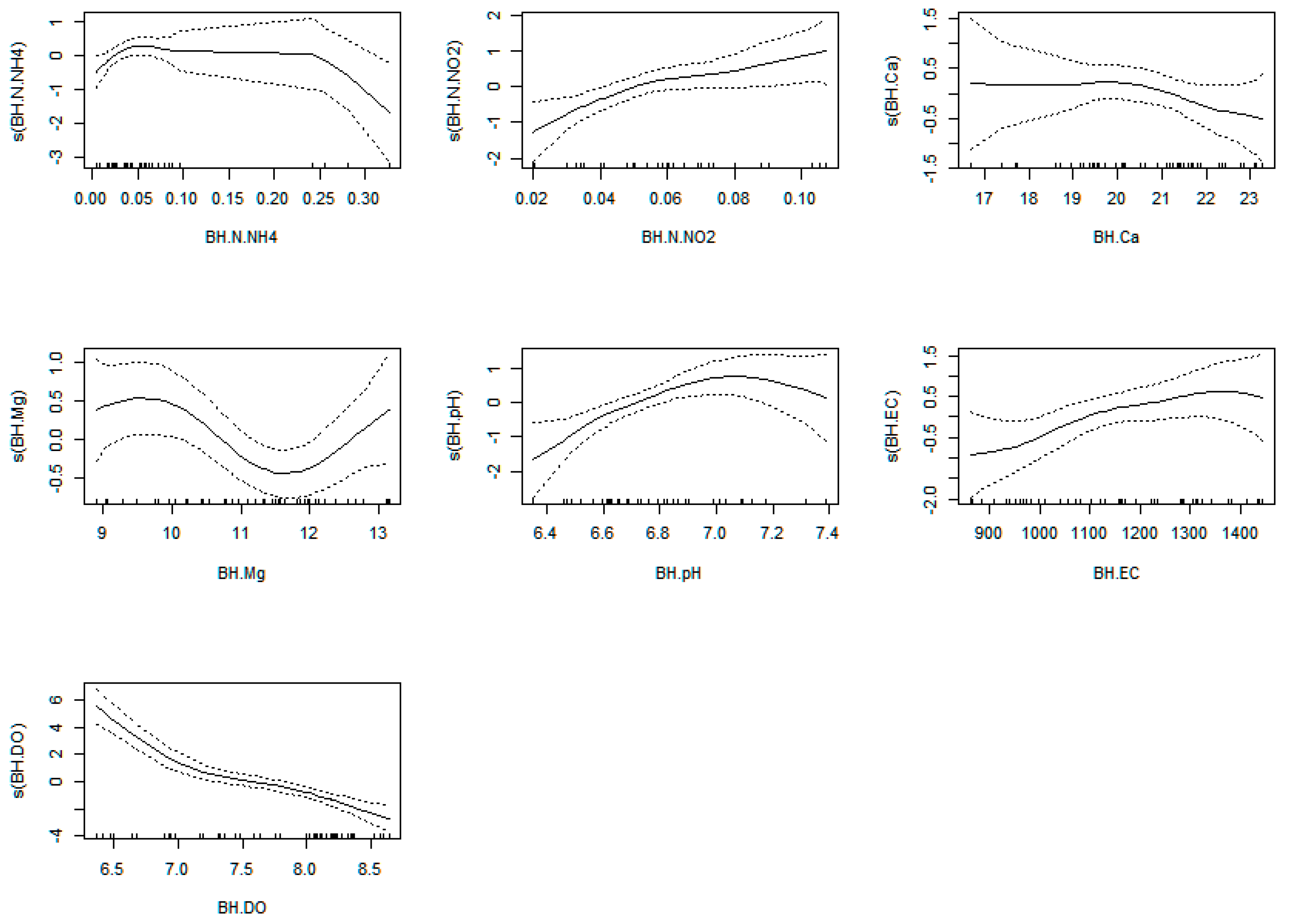
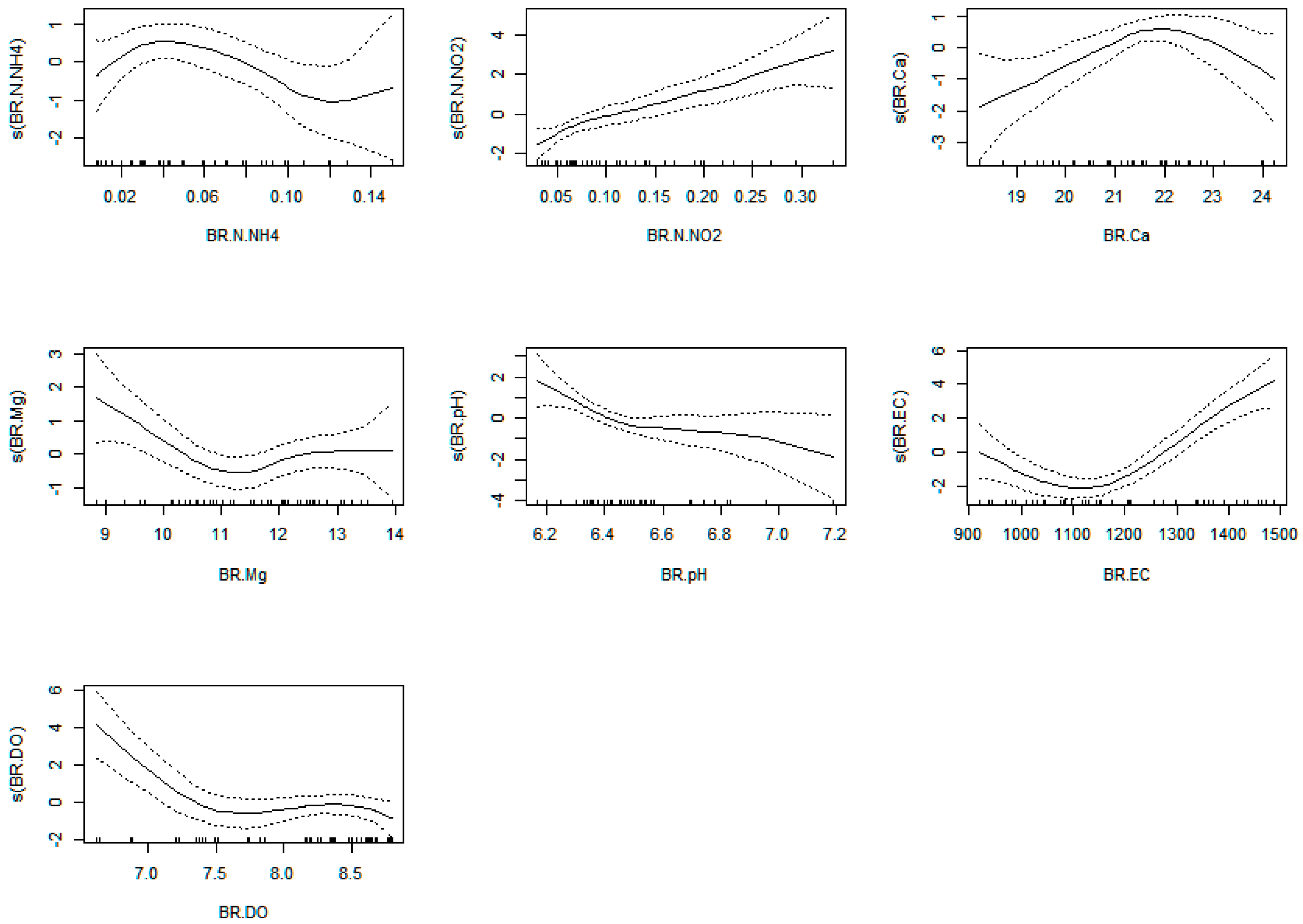
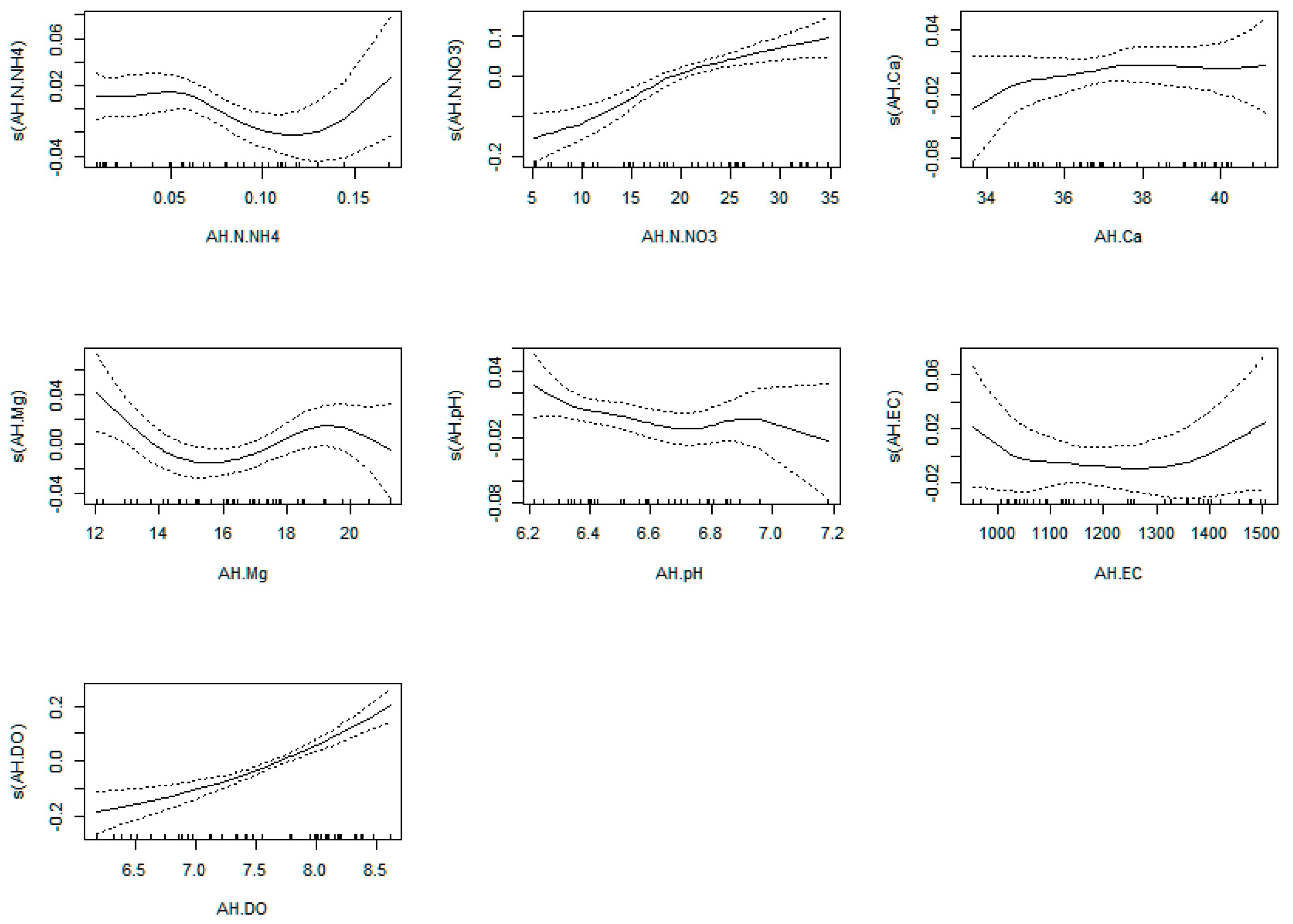
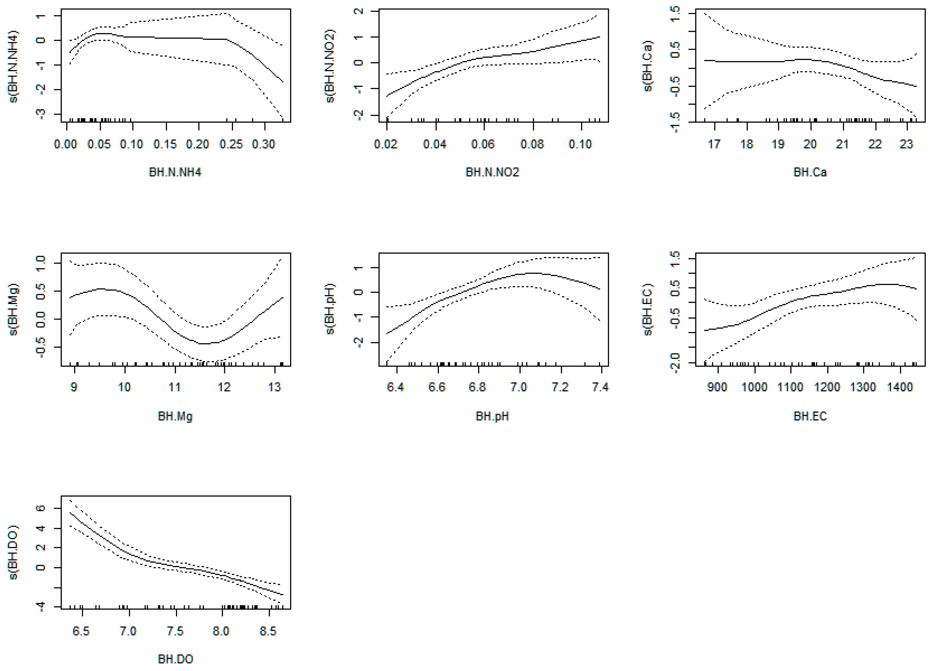
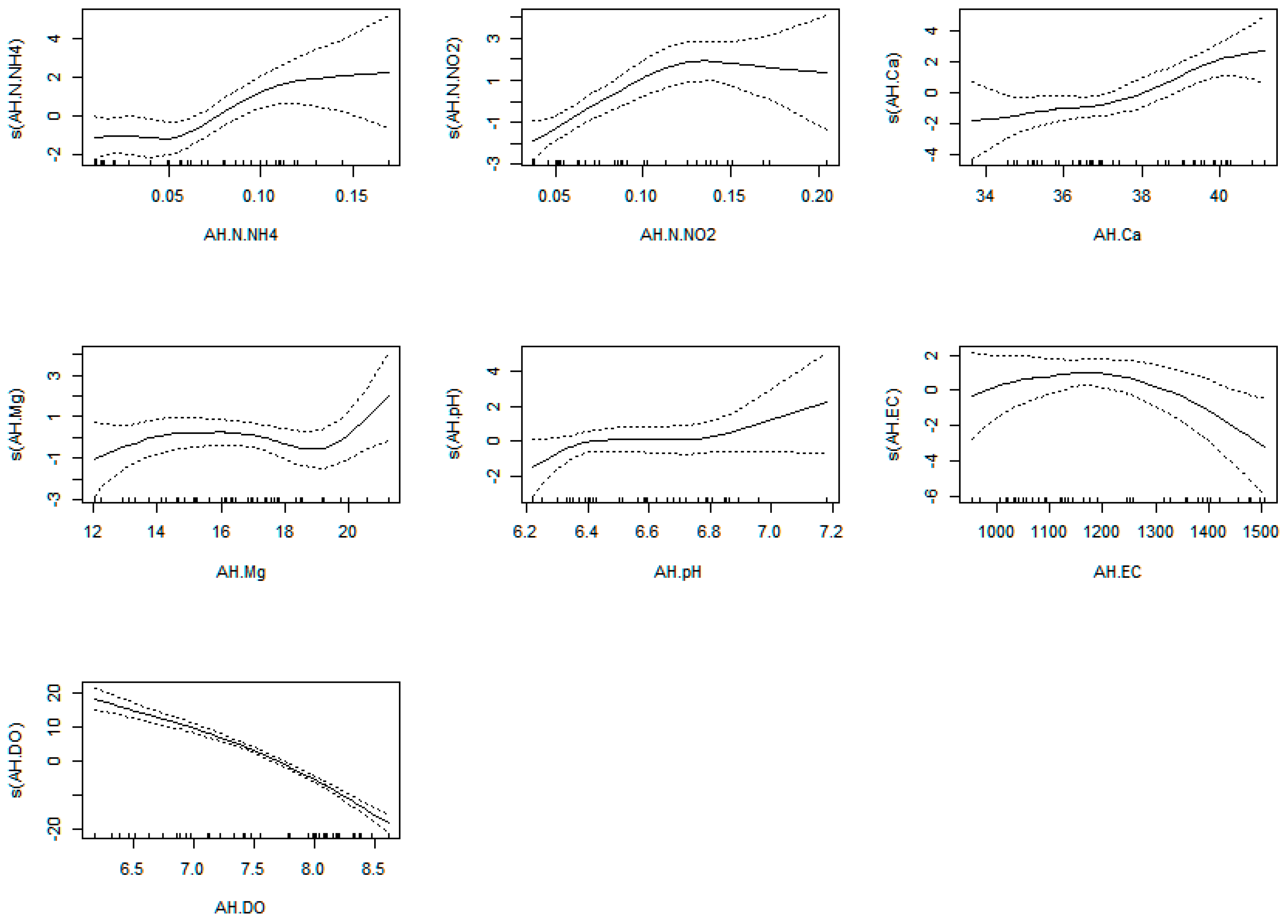
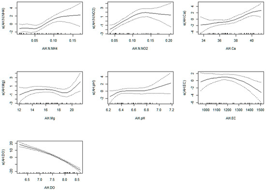
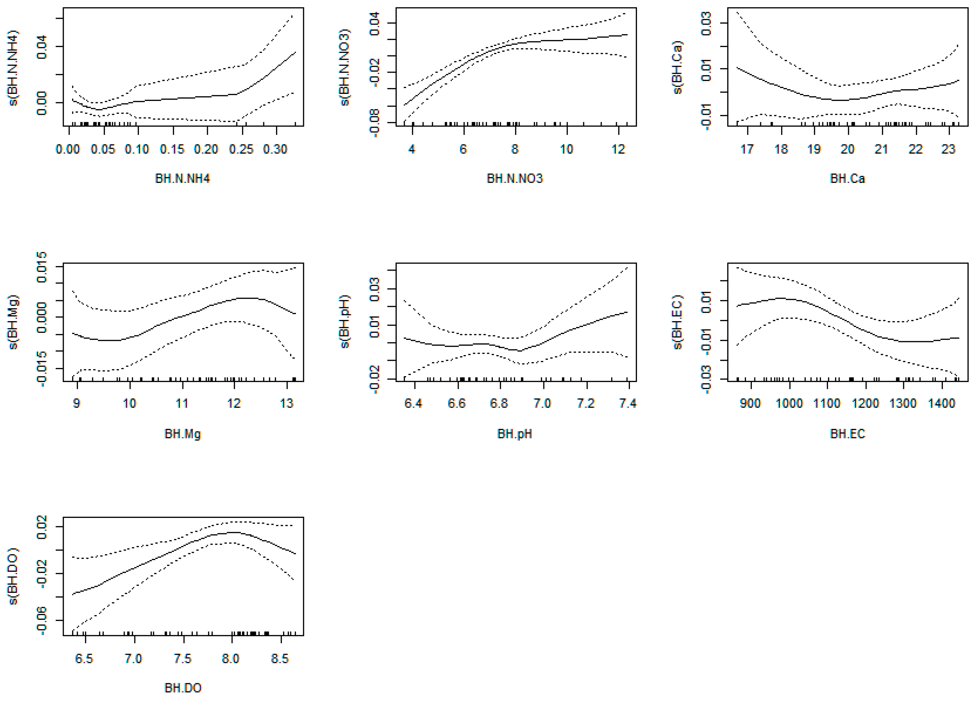
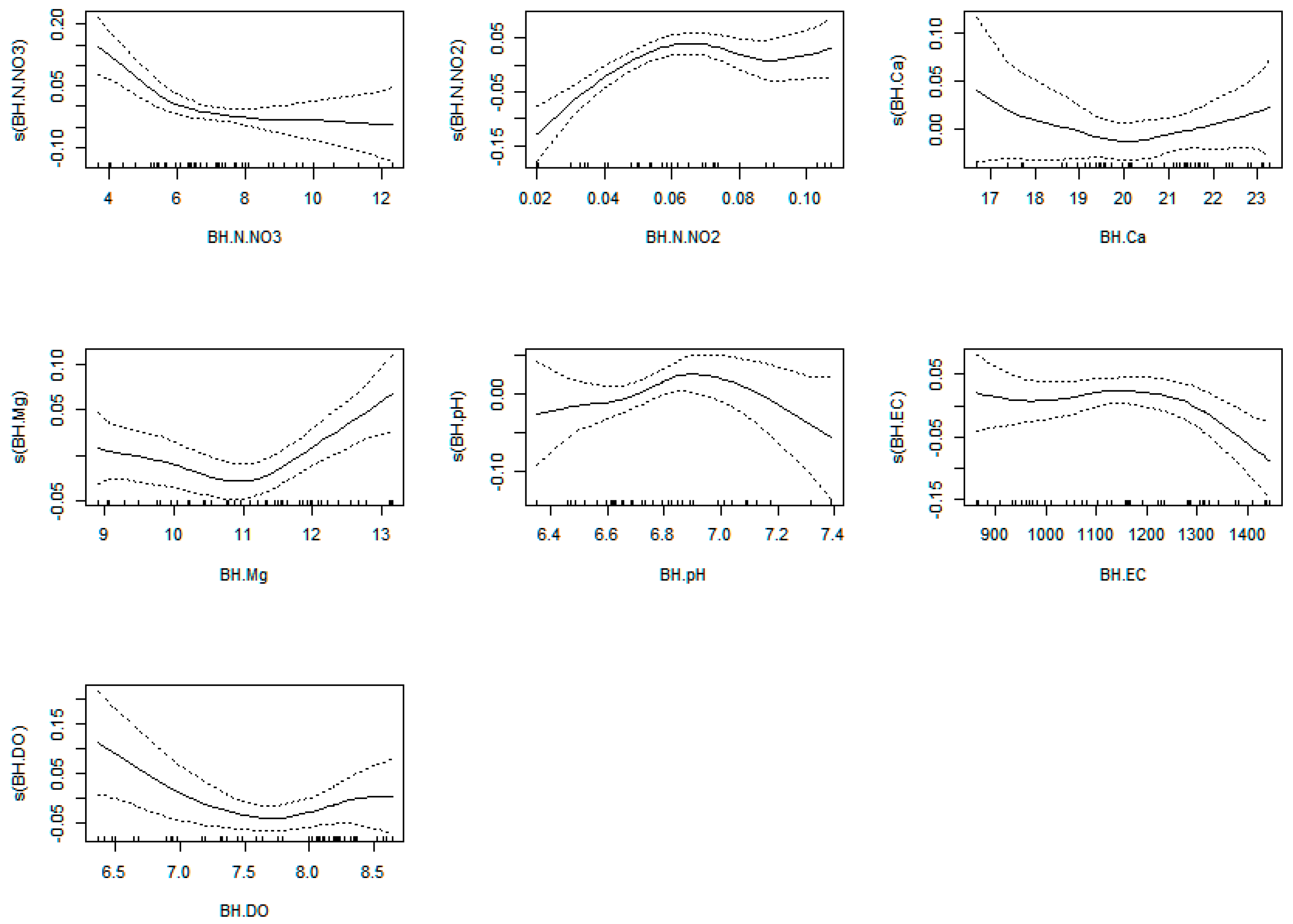
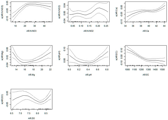
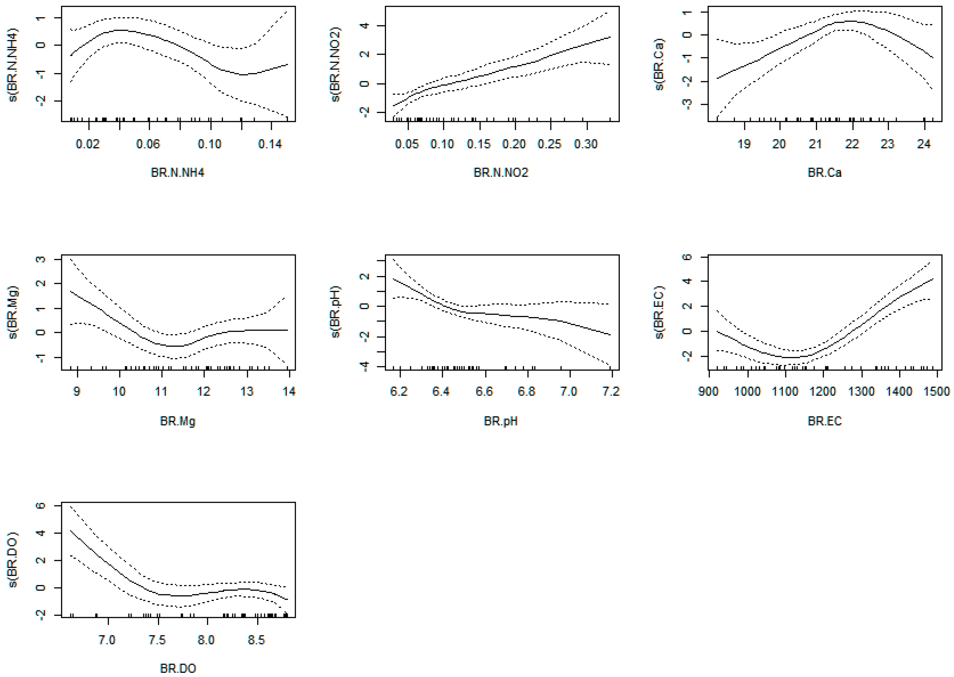
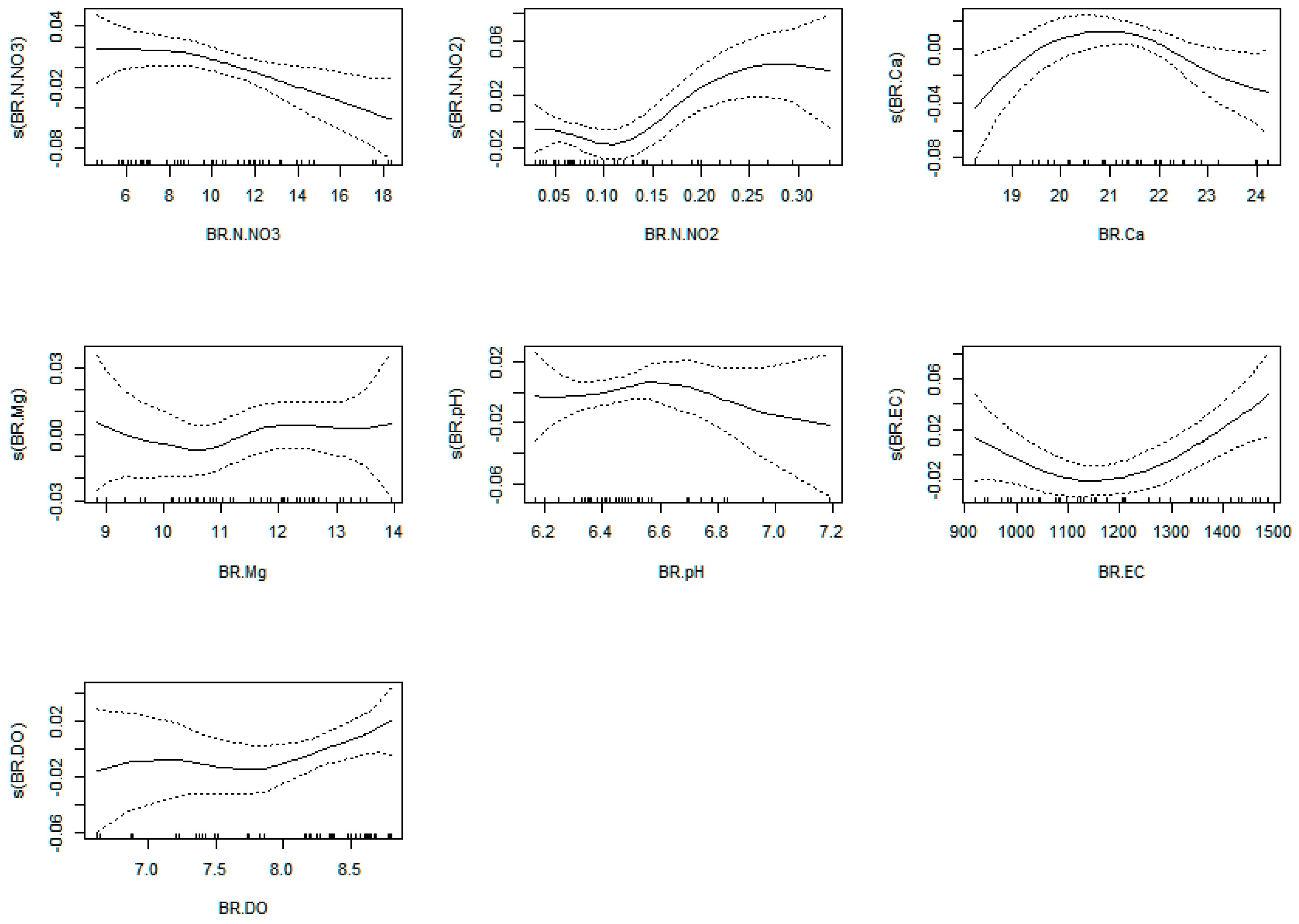
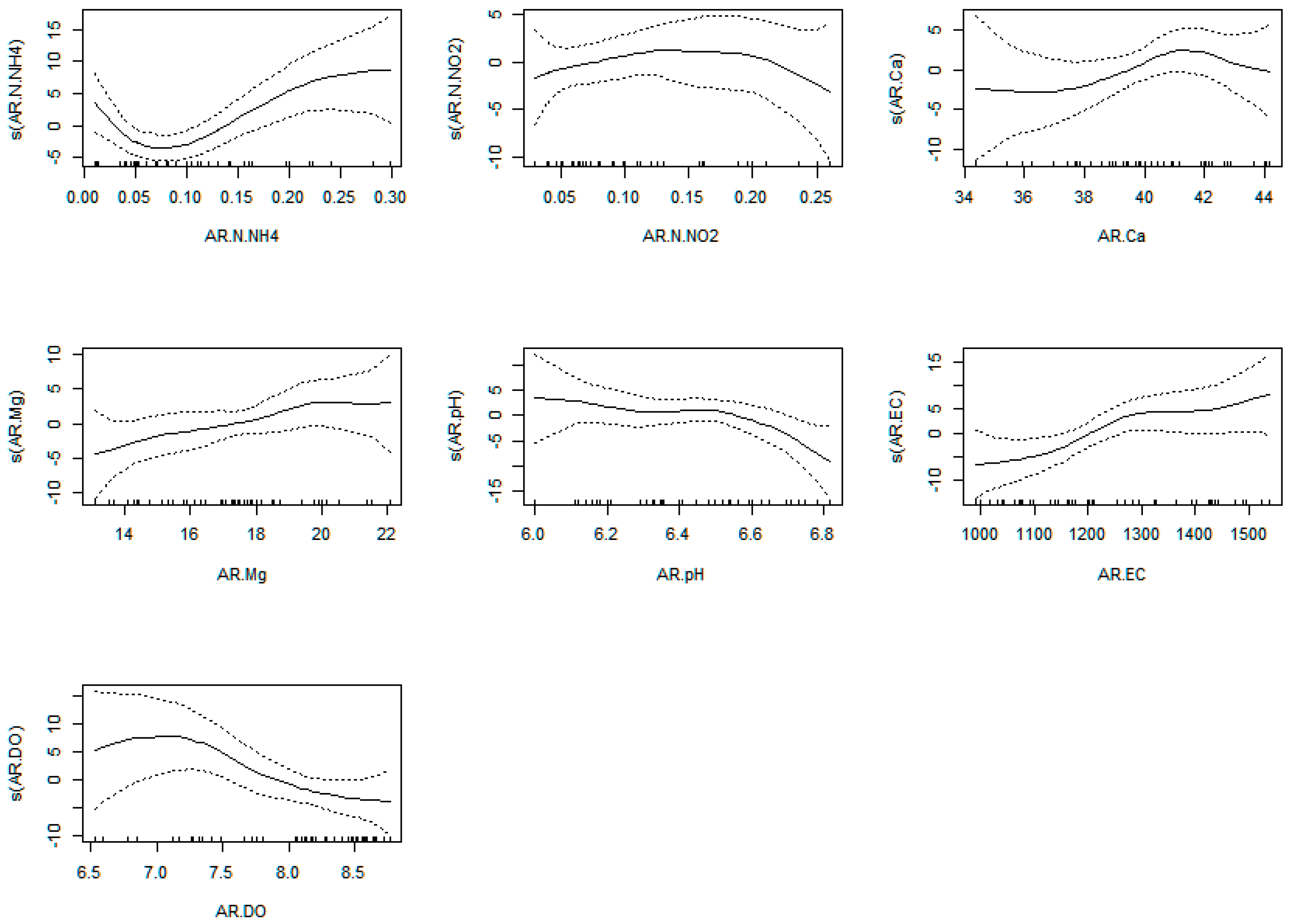
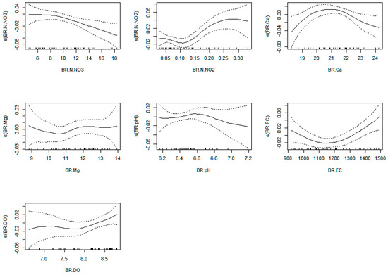
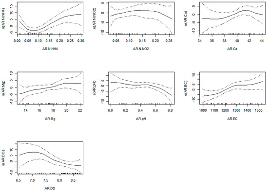
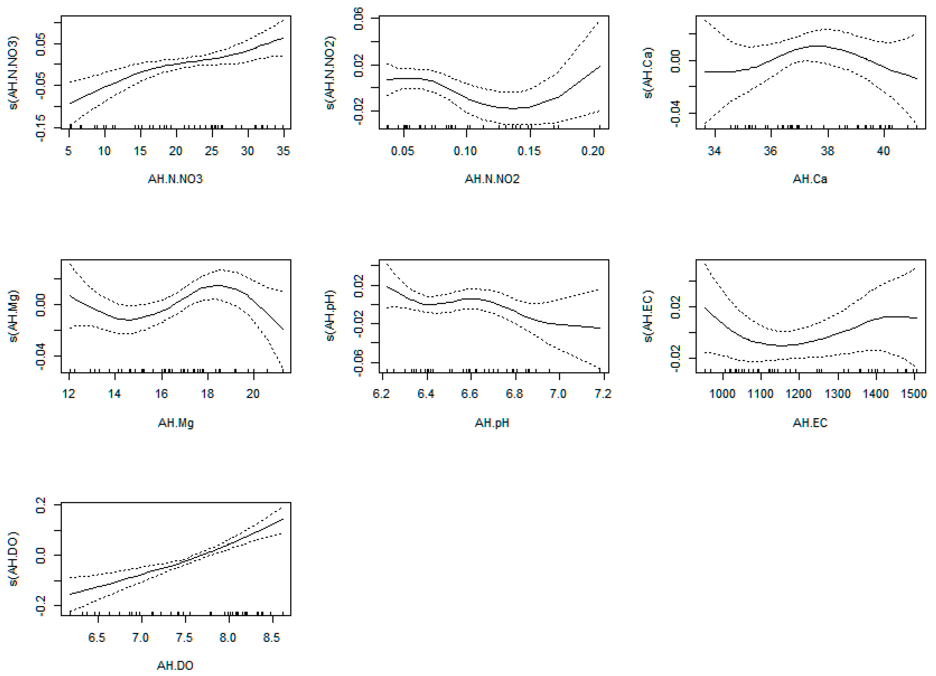
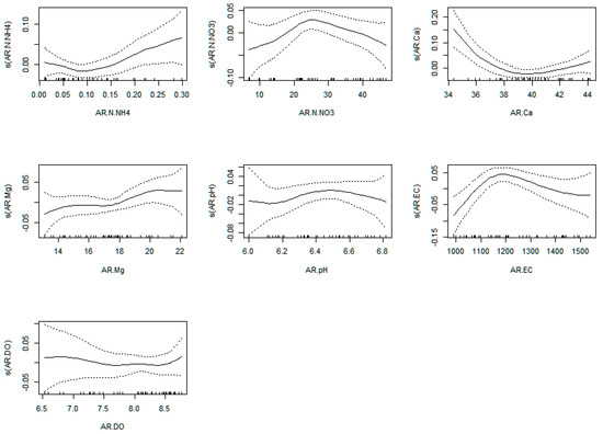
2.4.3. The Generalized Additive Models (GAM) for Developing Black-Box Soft Sensors
2.4.4. The Principal Component Analysis (PCA) of Water Quality Parameters
2.5. Quality Analysis of the Resulting Basil Biomass
3. Material and Methods
3.1. Experimental Design
3.2. The Evaluation of Both Basil (Ocimum basilicum L.) and Sturgeon (Acipenser baerii) Biomass Growth in Aquaponic Conditions Applied in Different Technological Scenarios
3.3. Multi Linear Regression (MLR) and Generalized Additive Models (GAM) for Developing Black-Box Soft Sensors for Water Quality Real-Time Monitoring
3.4. Water Quality Analysis
3.5. Plant Quality Analysis
4. Conclusions
5. Patents
Author Contributions
Funding
Data Availability Statement
Acknowledgments
Conflicts of Interest
Appendix A. The AC and PAC with Transformation in Square Root












Appendix B. The Correlation Matrices of Water Quality Parameters for Each of the Experimental Variants


Appendix C. The GAM Predictors












References
- EUR-Lex-52021DC0240-EN-EUR-Lex. Available online: https://eur-lex.europa.eu/legal-content/EN/TXT/?uri=COM:2021:240:FIN (accessed on 31 October 2022).
- COM(2021)236–Strategic Guidelines for a More Sustainable and Competitive EU Aquaculture for the Period 2021 to 2030–EU Monitor. Available online: https://www.eumonitor.eu/9353000/1/j9vvik7m1c3gyxp/vliqgjhhnhwt (accessed on 31 October 2022).
- Lopez, A.; Vasconi, M.; Bellagamba, F.; Mentasti, T.; Moretti, V.M. Sturgeon meat and caviar quality from different cultured species. Fishes 2020, 5, 9. [Google Scholar] [CrossRef]
- Bronzi, P.; Chebanov, M.; Michaels, J.T.; Wei, Q.; Rosenthal, H.; Gessner, J. Sturgeon meat and caviar production: Global update 2017. J. Appl. Ichthyol. 2019, 35, 257–266. [Google Scholar] [CrossRef]
- Gebauer, T.; Gebauer, R.; Císař, P.; Tran, H.Q.; Tomášek, O.; Podhorec, P.; Prokešová, M.; Rebl, A.; Stejskal, V. The effect of different feeding applications on the swimming behaviour of siberian sturgeon: A method for improving restocking programmes. Biology 2021, 10, 1162. [Google Scholar] [CrossRef]
- Brambilla, M.; Buccheri, M.; Grassi, M.; Stellari, A.; Pazzaglia, M.; Romano, E.; Cattaneo, T.M.P. The influence of the presence of borax and NaCl on water absorption pattern during sturgeon caviar (Acipenser transmontanus) storage. Sensors 2020, 20, 7174. [Google Scholar] [CrossRef] [PubMed]
- Badiola, M.; Basurko, O.; Piedrahita, R.; Hundley, P.; Mendiola, D. Energy use in Recirculating Aquaculture Systems (RAS): A review. Aquac. Eng. 2018, 81, 57–70. [Google Scholar] [CrossRef]
- Ștefan, M.; Petrea, A.; Bandi, C.; Cristea, D.; Neculiță, M. Cost-benefit analysis into integrated aquaponics systems. Custos E Agronegócioon Line 2019, 15, 239–269. [Google Scholar]
- Engle, C.R. Economics of Aquaponics; SRAC: Stoneville, MS, USA, 2015. [Google Scholar]
- Petrea, S.M.; Coadă, M.T.; Cristea, V.; Dediu, L.; Cristea, D.; Rahoveanu, A.T.; Zugravu, A.G.; Rahoveanu, M.M.T.; Mocuta, D.N. A Comparative Cost–Effectiveness Analysis in Different Tested Aquaponic Systems. Agric. Agric. Sci. Procedia 2016, 10, 555–565. [Google Scholar] [CrossRef]
- Mokhtar, A.; El-Ssawy, W.; He, H.; Al-Anasari, N.; Sammen, S.S.; Gyasi-Agyei, Y.; Abuarab, M. Using Machine Learning Models to Predict Hydroponically Grown Lettuce Yield. Front. Plant Sci. 2022, 13, 706042. [Google Scholar] [CrossRef]
- Costache, M.; Cristea, D.S.; Petrea, S.-M.; Neculita, M.; Rahoveanu, M.M.T.; Simionov, I.-A.; Mogodan, A.; Sarpe, D.; Rahoveanu, A.T. Integrating aquaponics production systems into the Romanian green procurement network. Land Use Policy 2021, 108, 105531. [Google Scholar] [CrossRef]
- Paepae, T.; Bokoro, P.N.; Kyamakya, K. From fully physical to virtual sensing for water quality assessment: A comprehensive review of the relevant state-of-the-art. Sensors 2021, 21, 6971. [Google Scholar] [CrossRef]
- Qin, Y.; Kwon, H.J.; Howlader, M.M.R.; Deen, M.J. Microfabricated electrochemical pH and free chlorine sensors for water quality monitoring: Recent advances and research challenges. RSC Adv. 2015, 5, 69086–69109. [Google Scholar] [CrossRef]
- Mansano, R.K.; Godoy, E.P.; Porto, A.J.V. The benefits of soft sensor and multi-rate control for the implementation of wireless networked control systems. Sensors 2014, 14, 24441–24461. [Google Scholar] [CrossRef] [PubMed]
- Abyaneh, H.Z. Evaluation of multivariate linear regression and artificial neural networks in prediction of water quality parameters. J. Environ. Health Sci. Eng. 2014, 12, 40. [Google Scholar] [CrossRef]
- Aldhyani, T.H.H.; Al-Yaari, M.; Alkahtani, H.; Maashi, M. Water Quality Prediction Using Artificial Intelligence Algorithms. Appl. Bionics Biomech. 2020, 2020, 1–12. [Google Scholar] [CrossRef] [PubMed]
- Karami, E.; Bui, F.M.; Nguyen, H.H. Nguyen, Multisensor data fusion for water quality monitoring using wireless sensor networks. In Proceedings of the 2012 4th International Conference on Communications and Electronics, ICCE 2012, Hue, Vietnam, 1–3 August 2012. [Google Scholar] [CrossRef]
- Haimi, H.; Mulas, M.; Corona, F.; Vahala, R. Data-derived soft-sensors for biological wastewater treatment plants: An overview. Environ. Model. Softw. 2013, 47, 88–107. [Google Scholar] [CrossRef]
- Ye, Z.; Yang, J.; Zhong, N.; Tu, X.; Jia, J.; Wang, J. Tackling environmental challenges in pollution controls using artificial intelligence: A review. Sci. Total Environ. 2019, 699, 134279. [Google Scholar] [CrossRef]
- Ching, P.M.L.; So, R.H.Y.; Morck, T. Advances in soft sensors for wastewater treatment plants: A systematic review. J. Water Process. Eng. 2021, 44, 102367. [Google Scholar] [CrossRef]
- De Canete, J.F.; del Saz-Orozco, P.; Gómez-de-Gabriel, J.; Baratti, R.; Ruano, A.; Rivas-Blanco, I. Control and soft sensing strategies for a wastewater treatment plant using a neuro-genetic approach. Comput. Chem. Eng. 2020, 144, 107146. [Google Scholar] [CrossRef]
- Liu, H.; Yang, C.; Huang, M.; Yoo, C. Soft sensor modeling of industrial process data using kernel latent variables-based relevance vector machine. Appl. Soft Comput. 2020, 90, 106149. [Google Scholar] [CrossRef]
- Mjalli, F.S.; Al-Asheh, S.; Alfadala, H. Use of artificial neural network black-box modeling for the prediction of wastewater treatment plants performance. J. Environ. Manag. 2007, 83, 329–338. [Google Scholar] [CrossRef] [PubMed]
- Liu, Y. Adaptive just-in-time and relevant vector machine based soft-sensors with adaptive differential evolution algorithms for parameter optimization. Chem. Eng. Sci. 2017, 172, 571–584. [Google Scholar] [CrossRef]
- Ebrahimi, M.; Gerber, E.L.; Rockaway, T.D. Temporal performance assessment of wastewater treatment plants by using multivariate statistical analysis. J. Environ. Manag. 2017, 193, 234–246. [Google Scholar] [CrossRef] [PubMed]
- Xiao, H.; Bai, B.; Li, X.; Liu, J.; Liu, Y.; Huang, D. Interval multiple-output soft sensors development with capacity control for wastewater treatment applications: A comparative study. Chemom. Intell. Lab. Syst. 2018, 184, 82–93. [Google Scholar] [CrossRef]
- Elkiran, G.; Nourani, V.; Abba, S.; Abdullahi, J. Artificial intelligence-based approaches for multi-station modelling of dissolve oxygen in river. Glob. J. Environ. Sci. Manag. 2018, 4, 439–450. [Google Scholar] [CrossRef]
- Kisi, O.; Alizamir, M.; Gorgij, A.D. Docheshmeh Gorgij, Dissolved oxygen prediction using a new ensemble method. Environ. Sci. Pollut. Res. 2020, 27, 9589–9603. [Google Scholar] [CrossRef] [PubMed]
- Elkiran, G.; Nourani, V.; Abba, S. Multi-step ahead modelling of river water quality parameters using ensemble artificial intelligence-based approach. J. Hydrol. 2019, 577, 123962. [Google Scholar] [CrossRef]
- Hayder, G.; Kurniawan, I.; Mustafa, H.M. Implementation of machine learning methods for monitoring and predicting water quality parameters. Biointerface Res. Appl. Chem. 2020, 11, 9285–9295. [Google Scholar] [CrossRef]
- Sillberg, C.V.; Kullavanijaya, P.; Chavalparit, O. Water Quality Classification by Integration of Attribute-Realization and Support Vector Machine for the Chao Phraya River. J. Ecol. Eng. 2021, 22, 70–86. [Google Scholar] [CrossRef]
- Ahmed, A.N.; Othman, F.B.; Afan, H.A.; Ibrahim, R.K.; Fai, C.M.; Hossain, S.; Ehteram, M.; Elshafie, A. Machine learning methods for better water quality prediction. J. Hydrol. 2019, 578, 124084. [Google Scholar] [CrossRef]
- Dhal, S.B.; Jungbluth, K.; Lin, R.; Sabahi, S.P.; Bagavathiannan, M.; Braga-Neto, U.; Kalafatis, S. A Machine-Learning-Based IoT System for Optimizing Nutrient Supply in Commercial Aquaponic Operations. Sensors 2022, 22, 3510. [Google Scholar] [CrossRef]
- Arvind, C.S.; Jyothi, R.; Kaushal, K.; Girish, G.; Saurav, R.; Chetankumar, G. Edge Computing Based Smart Aquaponics Monitoring System Using Deep Learning in IoT Environment. In Proceedings of the 2020 IEEE Symposium Series on Computational Intelligence, Canberra, Australia, 1–4 December 2020. [Google Scholar] [CrossRef]
- Dhal, S.B.; Bagavathiannan, M.; Braga-Neto, U.; Kalafatis, S. Can Machine Learning classifiers be used to regulate nutrients using small training datasets for aquaponic irrigation?: A comparative analysis. PLoS ONE 2022, 17, e0269401. [Google Scholar] [CrossRef] [PubMed]
- Debroy, P.; Seban, L. A Fish Biomass Prediction Model for Aquaponics System Using Machine Learning Algorithms, in Smart Innovation. Syst. Technol. 2022, 269, 383–397. [Google Scholar] [CrossRef]
- SMulema, A.; García, A.C. Quality and productivity in aquaculture: Prediction of oreochromis mossambicus growth using a transfer function arima model. Int. J. Qual. Res. 2018, 12, 4. [Google Scholar] [CrossRef]
- Yadav, A.K.; Das, K.K.; Das, P.; Raman, R.K.; Kumar, J.; Das, B.K. Growth trends and forecasting of fish production in Assam, India using ARIMA model. J. Appl. Nat. Sci. 2020, 12, 415–421. [Google Scholar] [CrossRef]
- Coro, G.; Large, S.; Magliozzi, C.; Pagano, P. Analysing and forecasting fisheries time series: Purse seine in Indian Ocean as a case study. ICES J. Mar. Sci. 2016, 73, 2552–2571. [Google Scholar] [CrossRef]
- Mulumpwa, M.; Jere, W.; Mtethiwa, A.; Kakota, T.; Kang’Ombe, J. Modelling and forecasting of catfish species yield from Mangochi artisan fisheries of lake Malawi in Malawi. Afr. J. Food Agric. Nutr. Dev. 2020, 20, 16864–16883. [Google Scholar] [CrossRef]
- Thorarinsdottir, R.I. Aquaponics Guidelines; Haskolaprent: Reykjavik, Iceland, 2015; ISBN 978-9935-9283-1-3. [Google Scholar]
- Danner, R.I.; Mankasingh, U.; Anamthawat-Jonsson, K.; Thorarinsdottir, R.I. Designing aquaponic production systems towards integration into greenhouse farming. Water 2019, 11, 2123. [Google Scholar] [CrossRef]
- Ebeling, J.M.; Timmons, M.B. Recirculating Aquaculture Systems. In Aquaculture Production Systems; John Wiley & Sons, Inc.: Hoboken, NJ, USA, 2012. [Google Scholar] [CrossRef]
- Rakocy, J.E.; Masser, M.P.; Losordo, T.M. Recirculating Aquaculture Tank Production Systems: Aquaponics–Integrating Fish and Plant Culture; SRAC Publication: Stoneville, MS, USA, 2006. [Google Scholar]
- Martins, C.; Eding, E.; Verdegem, M.; Heinsbroek, L.; Schneider, O.; Blancheton, J.; D’Orbcastel, E.R.; Verreth, J. New developments in recirculating aquaculture systems in Europe: A perspective on environmental sustainability. Aquac. Eng. 2010, 43, 83–93. [Google Scholar] [CrossRef]
- Geisenhoff, L.O.; Jordan, R.A.; Santos, R.C.; de Oliveira, F.C.; Gomes, E.P. Effect of different substrates in aquaponic lettuce production associated with intensive tilapia farming with water recirculation systems. Eng. Agric. 2016, 36, 2. [Google Scholar] [CrossRef]
- Goddek, S.; Delaide, B.; Mankasingh, U.; Ragnarsdottir, K.V.; Jijakli, H.; Thorarinsdottir, R. Challenges of sustainable and commercial aquaponics. Sustainability 2015, 7, 4199–4224. [Google Scholar] [CrossRef]
- Wu, Y.-H.; Chen, Q.-F.; Wang, J.-N.; Liu, T.; Zhao, W.-Y. Substrates, Plants, and Their Combinations for Water Purification of Urban Household Aquaponics Systems. Int. J. Environ. Res. Public Health 2022, 19, 10276. [Google Scholar] [CrossRef] [PubMed]
- Oladimeji, A.; Olufeagba, S.; Ayuba, V.; Sololmon, S.; Okomoda, V. Effects of different growth media on water quality and plant yield in a catfish-pumpkin aquaponics system. J. King Saud Univ. Sci. 2020, 32, 60–66. [Google Scholar] [CrossRef]
- Crane, D.P.; Ogle, D.H.; Shoup, D.E. Shoup, Use and misuse of a common growth metric: Guidance for appropriately calculating and reporting specific growth rate. Rev. Aquac. 2019, 12, 1542–1547. [Google Scholar] [CrossRef]
- Petrea, M.; Mogodan, A.; Simionov, I.-A.; Cristea, V. Effect of feeding rate on growth performance of A. stellatus (Pallas, 1771) reared in a recirculating aquaculture system. Lucr. Științifice-Univ. Științe Agric. Şi Med. Vet. Ser. Zooteh. 2019, 72, 252–257. [Google Scholar]
- Lennard, W.A.; Leonard, B. A comparison of three different hydroponic sub-systems (gravel bed, floating and nutrient film technique) in an Aquaponic test system. Aquac. Int. 2006, 14, 539–550. [Google Scholar] [CrossRef]
- Plant Growth in Aquaponic System through Comparison of Different Plant Media. Available online: https://www.yumpu.com/en/document/view/34424781/plant-growth-in-aquaponic-system-through-comparison-of-different- (accessed on 10 January 2023).
- Trang, N.T.D.; Brix, H. Use of planted biofilters in integrated recirculating aquaculture-hydroponics systems in the Mekong Delta. Vietnam. Aquac. Res. 2012, 45, 460–469. [Google Scholar] [CrossRef]
- Schmautz, Z.; Graber, A.; Jaenicke, S.; Goesmann, A.; Junge, R.; Smits, T.H.M. Microbial diversity in different compartments of an aquaponics system. Arch. Microbiol. 2017, 199, 613–620. [Google Scholar] [CrossRef]
- Schmautz, Z.; Walser, J.-C.; Espinal, C.A.; Gartmann, F.; Scott, B.; Pothier, J.F.; Frossard, E.; Junge, R.; Smits, T.H. Microbial diversity across compartments in an aquaponic system and its connection to the nitrogen cycle. Sci. Total Environ. 2022, 852, 158426. [Google Scholar] [CrossRef] [PubMed]
- Blancheton, J.; Attramadal, K.; Michaud, L.; D’Orbcastel, E.R.; Vadstein, O. Insight into bacterial population in aquaculture systems and its implication. Aquac. Eng. 2013, 53, 30–39. [Google Scholar] [CrossRef]
- Tsitsika, E.V.; Maravelias, C.D.; Haralabous, J. Modeling and forecasting pelagic fish production using univariate and multivariate ARIMA models. Fish. Sci. 2007, 73, 979–988. [Google Scholar] [CrossRef]
- Bhadoria, A.V.S. Machine Learning Strategies for Forecasting Plant Growth Based on Time-Series Data. Master’s Thesis, Eindhoven, The Netherlands, July 2017. [Google Scholar]
- Gisbert, E. The importance of water quality in siberian sturgeon farming: Nitrite toxicity. In The Siberian Sturgeon (Acipenser baerii, Brandt, 1869); Springer: Berlin/Heidelberg, Germany, 2018; Volume 1, pp. 449–462. [Google Scholar] [CrossRef]
- Albadwawi, M.A.O.K.; Ahmed, Z.F.R.; Kurup, S.S.; Alyafei, M.A.; Jaleel, A. A Comparative Evaluation of Aquaponic and Soil Systems on Yield and Antioxidant Levels in Basil, an Important Food Plant in Lamiaceae. Agronomy 2022, 12, 3007. [Google Scholar] [CrossRef]
- Yildiz, H.Y.; Robaina, L.; Pirhonen, J.; Mente, E.; Domínguez, D.; Parisi, G. Fish welfare in aquaponic systems: Its relation to water quality with an emphasis on feed and faeces—A review. Water 2017, 9, 13. [Google Scholar] [CrossRef]
- Yang, T.; Kim, H.-J. Nutrient management regime affects water quality, crop growth, and nitrogen use efficiency of aquaponic systems. Sci. Hortic. 2019, 256, 108619. [Google Scholar] [CrossRef]
- Gräber, A.; Junge, R. Aquaponic Systems: Nutrient recycling from fish wastewater by vegetable production. Desalination 2009, 246, 147–156. [Google Scholar] [CrossRef]
- New, M.B. Water quality management for pond fish culture. Aquaculture 1983, 35, 178–179. [Google Scholar] [CrossRef]
- Tyson, R.V.; Simonne, E.H.; Treadwell, D.D.; White, J.M.; Simonne, A. Reconciling pH for ammonia biofiltration and cucumber yield in a recirculating aquaponic system with perlite biofilters. Hortscience 2008, 43, 719–724. [Google Scholar] [CrossRef]
- Heise, J.; Müller, H.; Probst, A.J.; Meckenstock, R.U. Ammonium Removal in Aquaponics Indicates Participation of Comammox Nitrospira. Curr. Microbiol. 2021, 78, 894–903. [Google Scholar] [CrossRef] [PubMed]
- Alarcón-Silvas, S.; León-Cañedo, J.; Fierro-Sañudo, J.; Ramírez-Rochín, J.; Fregoso-López, M.; Frías-Espericueta, M.; Osuna-Martínez, C.; Páez-Osuna, F. Water quality, water usage, nutrient use efficiency and growth of shrimp Litopenaeus vannamei in an integrated aquaponic system with basil Ocimum basilicum. Aquaculture 2021, 543, 737023. [Google Scholar] [CrossRef]
- Frerichs, C.; Daum, D.; Pacholski, A.S. Ammonia and Ammonium Exposure of Basil (Ocimum basilicum L.) Growing in an Organically Fertilized Peat Substrate and Strategies to Mitigate Related Harmful Impacts on Plant Growth. Front. Plant Sci. 2020, 10, 1696. [Google Scholar] [CrossRef]
- Schjørring, J.K. Nitrate and ammonium absorption by plants growing at a sufficient or insufficient level of phosphorus in nutrient solutions. Plant Soil 1986, 91, 313–318. [Google Scholar] [CrossRef]
- Hoque, M.M.; Ajwa, H.A.; Smith, R. Nitrite and ammonium toxicity on lettuce grown under hydroponics. Commun. Soil Sci. Plant Anal. 2007, 39, 207–216. [Google Scholar] [CrossRef]
- Hamilton, J.L.; Lowe, R.H. Organic matter and N effects on soil nitrite accumulation and resultant nitrite toxicity to tobacco transplants. Agron. J. 1981, 73, 787–790. [Google Scholar] [CrossRef]
- Zou, Y.; Hu, Z.; Zhang, J.; Xie, H.; Guimbaud, C.; Fang, Y. Effects of pH on nitrogen transformations in media-based aquaponics. Bioresour. Technol. 2016, 210, 81–87. [Google Scholar] [CrossRef] [PubMed]
- Tang, H.L.; Chen, H. Nitrification at full-scale municipal wastewater treatment plants: Evaluation of inhibition and bioaugmentation of nitrifiers. Bioresour. Technol. 2015, 190, 76–81. [Google Scholar] [CrossRef] [PubMed]
- Petrea, Ș.M.; Costache, M.; Cristea, D.; Strungaru, Ș.A.; Simionov, I.A.; Mogodan, A.; Oprica, L.; Cristea, V. A Machine Learning Approach in Analyzing Bioaccumulation of Heavy Metals in Turbot Tissues. Molecules 2020, 25, 4696. [Google Scholar] [CrossRef]
- Schober, P.; Boer, C.; Schwarte, L.A. Correlation Coefficients: Appropriate Use and Interpretation. Anesth. Analg. 2018, 126, 1763–1768. [Google Scholar] [CrossRef]
- Cristea, D.S.; Rosenberg, S.; Mocanu, A.P.; Simionov, I.A.; Mogodan, A.A.; Petrea, S.M.; Moga, L.M. Modelling the common agricultural policy impact over the eu agricultural and rural environment through a machine learning predictive framework. Agronomy 2021, 11, 2105. [Google Scholar] [CrossRef]
- Weon, S.-Y.; Lee, S.-I.; Koopman, B. Effect of temperature and dissolved oxygen on biological nitrification at high ammonia concentrations. Environ. Technol. 2004, 25, 1211–1219. [Google Scholar] [CrossRef]
- Gruda, N. Do soilless culture systems have an influence on product quality of vegetables? J. Appl. Bot. Food Qual. 2009, 82, 2. [Google Scholar]
- Treftz, C.; Omaye, S.T. Omaye, Nutrient Analysis of Soil and Soilless Strawberries and Raspberries Grown in a Greenhouse. Food Nutr. Sci. 2015, 06, 805–815. [Google Scholar] [CrossRef]
- Buchanan, D.N.; Omaye, S.T. Comparative Study of Ascorbic Acid and Tocopherol Concentrations in Hydroponic- and Soil-Grown Lettuces. Food Nutr. Sci. 2013, 04, 1047–1053. [Google Scholar] [CrossRef]
- Kimura, M.; Rodriguez-Amaya, D.B. Carotenoid composition of hydroponic leafy vegetables. J. Agric. Food Chem. 2003, 51, 2603–2607. [Google Scholar] [CrossRef] [PubMed]
- Nouraei, S.; Rahimmalek, M.; Saeidi, G. Variation in polyphenolic composition, antioxidants and physiological characteristics of globe artichoke (Cynara cardunculus var. scolymus Hayek L.) as affected by drought stress. Sci. Hortic. 2018, 233, 378–385. [Google Scholar] [CrossRef]
- Romano, N.; Francis, S.; Islam, S.; Powell, A.; Fischer, H. Aquaponics substantially improved sweetpotato (Ipomoea batatas) slip production compared to soil but decreased phenol and antioxidant capacity. Aquac. Int. 2022, 30, 5. [Google Scholar] [CrossRef]
- Delgadillo-Díaz, M.; Gullian-Klanian, M.; Sosa-Moguel, O.; Sauri-Duch, E.; Cuevas-Glory, L.F. Evaluation of Physico-chemical Characteristics, Antioxidant Compounds and Antioxidant Capacity in Creole Tomatoes (Solanum lycopersicum L. and S. pimpinellifolium L.) in an Aquaponic System or Organic Soil. Int. J. Veg. Sci. 2019, 25, 2. [Google Scholar] [CrossRef]
- Braglia, R.; Costa, P.; Di Marco, G.; D’Agostino, A.; Redi, E.L.; Scuderi, F.; Gismondi, A.; Canini, A. Phytochemicals and quality level of food plants grown in an aquaponics system. J. Sci. Food Agric. 2022, 102, 844–850. [Google Scholar] [CrossRef]
- Yang, T.; Kim, H.-J. Effects of hydraulic loading rate on spatial and temporal water quality characteristics and crop growth and yield in aquaponic systems. Horticulturae 2020, 6, 9. [Google Scholar] [CrossRef]
- Sereanu, V.; Meghea, I.; Vasile, G.; Simion, M.; Mihai, M. Morphology and chemical composition relation of Rapana thomasiana shell sampled from the Romanian Coast of the Black Sea. Cont. Shelf Res. 2016, 126, 27–35. [Google Scholar] [CrossRef]
- Morshedi, V.; Kochanian, P.; Bahmani, M.; Yazdani-Sadati, M.A.; Pourali, H.R.; Ashouri, G.; Pasha-Zanoosi, H.; Azodi, M. Compensatory growth in sub-yearling Siberian sturgeon, Acipenser baerii Brandt, 1869: Effects of starvation and refeeding on growth, feed utilization and body composition. J. Appl. Ichthyol. 2013, 29, 978–983. [Google Scholar] [CrossRef]
- Hastie, T.; Tibshirani, R.; Friedman, J. Elements of Statistical Learning, 2nd ed.; Springer: New York, NY, USA, 2009. [Google Scholar] [CrossRef]
- Khamma, T.R.; Zhang, Y.; Guerrier, S.; Boubekri, M. Generalized additive models: An efficient method for short-term energy prediction in office buildings. Energy 2020, 213, 118834. [Google Scholar] [CrossRef]
- Murphy, R.R.; Perry, E.; Harcum, J.; Keisman, J. A Generalized Additive Model approach to evaluating water quality: Chesapeake Bay case study. Environ. Model. Softw. 2019, 118, 1–13. [Google Scholar] [CrossRef]
- Wood, S.N.; Goude, Y.; Shaw, S. Generalized additive models for large data sets. J. R. Stat. Soc. Ser. C Appl. Stat. 2015, 64, 139–155. [Google Scholar] [CrossRef]
- Effendi, H.; Delis, P.C.; Krisanti, M.K.; Hariyadi, S. The Performance of Nile Tilapia (Oreochromis niloticus) and Vetiver Grass (Vetiveria zizanioides) concurrently cultivated in aquaponic system. Adv. Environ. Biol. 2015, 9, 24. [Google Scholar]
- Bedreag, C.F.G.; Trifan, A.; Bucur, L.A.; Arcus, M.; Tebrencu, C.; Miron, A.; Costache, I.I. Chemical and antioxidant studies on Crataegus pentagyna leaves and flowers. Rom. Biotechnol. Lett. 2014, 19, 6. [Google Scholar]
- Nadeem, H.R.; Akhtar, S.; Sestili, P.; Ismail, T.; Neugart, S.; Qamar, M.; Esatbeyoglu, T. Toxicity, Antioxidant Activity, and Phytochemicals of Basil (Ocimum basilicum L.) Leaves Cultivated in Southern Punjab, Pakistan. Foods 2022, 11, 1239. [Google Scholar] [CrossRef]
- Apetrei, L.; Spac, A.; Brebu, M.; Tuchilus, C.; Miron, A. Composition, and antioxidant and antimicrobial activities of the essential oils of a full-grown Pinus cembra L. tree from the Calimani Mountains (Romania). J. Serbian Chem. Soc. 2013, 78, 27–37. [Google Scholar] [CrossRef]




































| Number of Differences | ADF Test (p-Value) for Series A | ADF Test (p-Value) for Series B |
|---|---|---|
| 0 | 0.9825 | 1.0000 |
| 1 | 0.5752 | 0.6230 |
| 2 | 0.0407 | 0.0008 |
| Model | Akaike Coefficient for Series A Model | Akaike Coefficient for Series B Model |
|---|---|---|
| ARIMA(1,2,1) | 0.143 | 0.642 |
| ARIMA(1,2,2) | 0.325 | −3.019 |
| ARIMA(1,2,3) | - | −0.947 |
| ARIMA(2,2,1) | 0.325 | 0.719 |
| ARIMA(2,2,2) | −4.010 | 0.363 |
| ARIMA(2,2,3) | - | 0.264 |
| ARIMA(3,2,1) | - | −0.849 |
| ARIMA(3,2,2) | - | −1.305 |
| ARIMA(3,2,3) | - | −1.391 |
| Number of Differences | ADF Test (p-Value) for AH Series | ADF Test (p-Value) for AR Series | ADF Test (p-Value) for BH Series | ADF Test (p-Value) for BR Series |
|---|---|---|---|---|
| 0 | 0.6099 | 0.1373 | 0.3670 | 0.7138 |
| 1 | 0.0360 | 0.0119 | 0.1006 | 0.2367 |
| 2 | - | - | 0.4085 | 0.0020 |
| 3 | - | - | 0.0000 | - |
| Model | Akaike Coefficient for Series AH Model | Akaike Coefficient for Series AR Model | Akaike Coefficient for Series BH Model | Akaike Coefficient for Series BR Model |
|---|---|---|---|---|
| ARIMA (1, 1, 1) | −0.53 | −6.25 | - | - |
| ARIMA (1, 1, 2) | −5.38 | −5.91 | - | - |
| ARIMA (1, 2, 1) | - | - | - | −5.19 |
| ARIMA (1, 2, 2) | - | - | - | −5.83 |
| ARIMA (1, 3, 1) | - | - | −5.13 | - |
| ARIMA (1, 3, 2) | - | - | −5.10 | - |
| ARIMA (2, 1, 1) | −5.29 | −4.96 | - | - |
| ARIMA (2, 1, 2) | −5.13 | −7.06 | - | - |
| ARIMA (2, 2, 1) | - | - | - | −6.63 |
| ARIMA (2, 2, 2) | - | - | - | −8.07 |
| ARIMA (2, 3, 1) | - | - | −4.83 | - |
| ARIMA (2, 3, 2) | - | - | −6.77 | - |
| ARIMA (3, 3, 1) | - | - | −4.98 | - |
| ARIMA (3, 3, 2) | - | - | −5.32 | - |
| Water Quality Parameter | Concentrations Recorded in Sampling Points of Each Experimental Variant * | |||||||
|---|---|---|---|---|---|---|---|---|
| AH | AR | BH | BR | |||||
| Inlet | Outlet | Inlet | Outlet | Inlet | Outlet | Inlet | Outlet | |
| N-NH4 (mg/L) | 0.07 ± 0.05 a | 0.06 ± 0.04 b | 0.12 ± 0.08 c | 0.09 ± 0.06 d | 0.07 ± 0.08 a | 0.06 ± 0.07 b | 0.06 ± 0.04 b | 0.05 ± 0.03 e |
| N-NO2 (mg/L) | 0.10 ± 0.05 a | 0.08 ± 0.04 b | 0.12 ± 0.07 c | 0.10 ± 0.06 a | 0.06 ± 0.02 d | 0.05 ± 0.02 e | 0.13 ± 0.09 f | 0.10 ± 0.07 a |
| N-NO3 (mg/L) | 21.84 ± 9.33 a | 21.19 ± 9.05 b | 28.69 ± 12.22 c | 28.11 ± 11.98 d | 7.75 ± 2.14 e | 6.86 ± 1.87 f | 10.51 ± 3.79 g | 10.09 ± 3.64 h |
| P-PO4 (mg/L) | 3.75 ± 1.47 a | 3.32 ± 1.07 b | 4.97 ± 1.68 c | 4.27 ± 1.10 d | 2.47 ± 0.98 e | 1.96 ± 0.86 f | 2.85 ± 0.95 g | 2.45 ± 1.02 e |
| Ca (mg/L) | 38.41 ± 1.81 a | 36.43 ± 1.70 b | 40.83 ± 1.94 c | 39.19 ± 2.52 d | 21.15 ± 1.23 e | 19.93 ± 1.73 f | 21.80 ± 1.28 g | 20.92 ± 1.31 h |
| Mg (mg/L) | 16.80 ± 2.22 a | 15.99 ± 2.30 b | 17.65 ± 2.28 c | 16.90 ± 2.08 a | 11.28 ± 1.29 d | 10.85 ± 1.13 e | 11.73 ± 1.39 e | 11.39 ± 1.19 f |
| Fe (mg/L) | 0.14 ± 0.08 a | 0.03 ± 0.06 b | 0.19 ± 0.07 c | 0.05 ± 0.07 d | 0.09 ± 0.03 e | 0.01 ± 0.04 f | 0.11 ± 0.05 g | 0.02 ± 0.05 h |
| Redox (mV) | 80.13 ± 17.39 a | 92.45 ± 15.76 b | 78.26 ± 18.33 c | 88.34 ± 19.72 d | 77.12 ± 14.56 c | 84.70 ± 16.62 e | 79.60 ± 16.04 c | 86.90 ± 12.75 e |
| K (mg/L) | 5.57 ± 0.55 a | 5.07 ± 0.31 b | 8.04 ± 0.34 c | 7.85 ± 0.42 d | 5.41 ± 0.52 e | 5.21 ± 0.43 f | 5.51 ± 0.33 g | 5.27 ± 0.39 h |
| EC (μs/cm) | 1235.17 ± 168.94 a | 1168.47 ± 154.18 b | 1262.79 ± 168.25 a | 1209.95 ± 170.36 c | 1181.28 ± 168.96 b | 1110.45 ± 172.98 d | 1227.99 ± 170.95 a | 1166.62 ± 166.90 b |
| pH (upH) | 6.51 ± 0.19 a | 6.35 ± 0.19 b | 6.70 ± 0.20 c | 6.41 ± 0.14 d | 6.88 ± 0.22 e | 6.67 ± 0.18 c | 6.57 ± 0.22 a | 6.40 ± 0.14 d |
| DO (mg/L) | 7.67 ± 0.67 a | 7.53 ± 0.67 b | 8.04 ± 0.64 c | 7.98 ± 0.64 d | 7.72 ± 0.67 e | 7.68 ± 0.67 a | 8.09 ± 0.64 f | 8.07 ± 0.63 c |
| TOC (mg/L) | 143.58 ± 72.11 a | 135.17 ± 88.23 b | 112.67 ± 57.23 c | 108.23 ± 67.20 d | 93.58 ± 76.30 e | 84.76 ± 54.89 f | 79.23 ± 67.12 g | 70.18 ± 58.34 h |
| COD (mg/L) | 113.50 ± 72.13 a | 104.70 ± 59.34 b | 108.60 ± 52.34 c | 99.34 ± 63.11 d | 40.40 ± 33.14 e | 38.60 ± 21.11 f | 43.30 ± 36.23 g | 39.1 ± 29.23 h |
| Crt. No. | Experimental Variant | MLR Prediction Model | Rsq. | Adj. Rsq. | Root Mean Square Error (RMSE) |
|---|---|---|---|---|---|
| 1. | AH | N-NH4 = −0.142 + 0.005 Ca + 0.028 DO + 0.004 Mg − 0.012 N-NO2 − 0.015 pH | 0.644 | 0.579 | 0.025 |
| 2. | AH | N-NO2 = −0.735 + 0.004 Ca + 0.105 DO − 0.019 N-NH4 + 0.005 N-NO3 − 0.038 pH | 0.442 | 0.339 | 0.032 |
| 3. | AH | N-NO3 = 82.818 +1.492 Ca − 12.16 DO − 0.009 EC + 0.257 Mg − 2.387 N-NH4 + 20.980 N-NO2 − 2.865 pH | 0.947 | 0.938 | 2.058 |
| 4. | AR | N-NH4 = −0.108 + 0.004 Ca + 0.028 DO + 0.005 Mg + 0.148 N-NO2 + 0.003 N-NO3 + 0.007 pH | 0.472 | 0.374 | 0.052 |
| 5. | AR | N-NO2 = −0.571 + 0.003 Ca + 0.067 DO + 0.152 N-NH4 + 0.002 N-NO3 − 0.008 pH | 0.268 | 0.133 | 0.052 |
| 6. | AR | N-NO3 = 67.478 + 0.442 Ca − 8.526 DO + 0.028 EC + 0.842 Mg + 31.738 N-NH4 + 20.077 N-NO2 − 6.671 pH | 0.809 | 0.775 | 5.166 |
| 7. | BH | N-NH4 = 0.006 − 0.017 Ca + 0.077 DO + 0.014 Mg + 0.385 N-NO2 − 0.078 pH | 0.488 | 0.394 | 0.051 |
| 8. | BH | N-NO2 = −0.185 + 0.008 Ca + 0.039 DO + 0.004 Mg + 0.034 N-NH4 + 0.009 N-NO3 − 0.039 pH | 0.505 | 0.414 | 0.015 |
| 9. | BH | N-NO3 = 19.645 − 0.016 Ca − 3.644 DO − 0.231 Mg − 0.081 N-NH4 + 24.379 N-NO2 + 2.681 pH | 0.846 | 0.819 | 0.789 |
| 10. | BR | N-NH4 = 0.077 + 0.007 Ca + 0.006 DO + 0.004 Mg + 0.112 N-NO2 − 0.015 pH | 0.543 | 0.459 | 0.025 |
| 11. | BR | N-NO2 = −0.840 + 0.007 Ca + 0.091 DO + 0.003 Mg + 0.645 N-NH4 + 0.012 N-NO3 − 0.028 pH | 0.389 | 0.277 | 0.059 |
| 12. | BR | N-NO3 = 47.337 + 0.137 Ca − 2.895 DO + 0.007 EC − 0.259 Mg + 4.036 N-NH4 + 8.915 N-NO2 − 3.612 pH | 0.804 | 0.768 | 1.612 |
Disclaimer/Publisher’s Note: The statements, opinions and data contained in all publications are solely those of the individual author(s) and contributor(s) and not of MDPI and/or the editor(s). MDPI and/or the editor(s) disclaim responsibility for any injury to people or property resulting from any ideas, methods, instructions or products referred to in the content. |
© 2023 by the authors. Licensee MDPI, Basel, Switzerland. This article is an open access article distributed under the terms and conditions of the Creative Commons Attribution (CC BY) license (https://creativecommons.org/licenses/by/4.0/).
Share and Cite
Petrea, Ș.-M.; Simionov, I.A.; Antache, A.; Nica, A.; Oprica, L.; Miron, A.; Zamfir, C.G.; Neculiță, M.; Dima, M.F.; Cristea, D.S. An Analytical Framework on Utilizing Various Integrated Multi-Trophic Scenarios for Basil Production. Plants 2023, 12, 540. https://doi.org/10.3390/plants12030540
Petrea Ș-M, Simionov IA, Antache A, Nica A, Oprica L, Miron A, Zamfir CG, Neculiță M, Dima MF, Cristea DS. An Analytical Framework on Utilizing Various Integrated Multi-Trophic Scenarios for Basil Production. Plants. 2023; 12(3):540. https://doi.org/10.3390/plants12030540
Chicago/Turabian StylePetrea, Ștefan-Mihai, Ira Adeline Simionov, Alina Antache, Aurelia Nica, Lăcrămioara Oprica, Anca Miron, Cristina Gabriela Zamfir, Mihaela Neculiță, Maricel Floricel Dima, and Dragoș Sebastian Cristea. 2023. "An Analytical Framework on Utilizing Various Integrated Multi-Trophic Scenarios for Basil Production" Plants 12, no. 3: 540. https://doi.org/10.3390/plants12030540
APA StylePetrea, Ș.-M., Simionov, I. A., Antache, A., Nica, A., Oprica, L., Miron, A., Zamfir, C. G., Neculiță, M., Dima, M. F., & Cristea, D. S. (2023). An Analytical Framework on Utilizing Various Integrated Multi-Trophic Scenarios for Basil Production. Plants, 12(3), 540. https://doi.org/10.3390/plants12030540

