Sign in to use this feature.

Years

Between: -

Subjects

remove_circle_outline
remove_circle_outline
remove_circle_outline
remove_circle_outline
remove_circle_outline
remove_circle_outline
remove_circle_outline

Journals

Article Types

Countries / Regions

Search Results (25)

Search Parameters:
Keywords = tuberculosis prophylaxis

Order results
Result details
Results per page
Select all
Export citation of selected articles as:
13 pages, 755 KB  
Article
Hepatotoxicity Risk of Isoniazid in Patients with Autoimmune Rheumatic Diseases and Prior Liver Injury Due to Disease-Modifying Antirheumatic Drugs: A Single-Center Experience and Literature Review
by Joy Selene Osorio-Chávez, Virginia Portilla González, Iván Ferraz-Amaro, Santos Castañeda, José Manuel Cifrián Martínez and Ricardo Blanco Alonso
J. Clin. Med. 2026, 15(2), 432; https://doi.org/10.3390/jcm15020432 - 6 Jan 2026
Viewed by 296
Abstract
Background/Objectives: Patients with rheumatic immune-mediated inflammatory diseases (R-IMID) require latent tuberculosis infection screening and, in case of positivity, chemoprophylaxis. Isoniazid INH remains the standard regimen, but hepatotoxicity is an underrecognized concern. To describe the characteristics of R-IMID patients developing hepatotoxicity during INH [...] Read more.
Background/Objectives: Patients with rheumatic immune-mediated inflammatory diseases (R-IMID) require latent tuberculosis infection screening and, in case of positivity, chemoprophylaxis. Isoniazid INH remains the standard regimen, but hepatotoxicity is an underrecognized concern. To describe the characteristics of R-IMID patients developing hepatotoxicity during INH therapy and identify potential risk factors through clinical analysis and literature review. Methods: Retrospective study of 64 R-IMID who developed hepatotoxicity with INH. Mean age was 53.4 ± 10.5 years; 70.3% female. Diagnoses included spondyloarthritis/psoriatic arthritis (56.3%), rheumatoid arthritis (32.8%), systemic sclerosis (4.7%), connective tissue diseases (4.7%), and other IMIDs (3.2%). All patients showed ≥ 2 × upper limit of normality (ULN) liver enzyme elevation, 34.4% ≥ 3 ULN, 20.3% ≥ 4 ULN. Literature review (19 studies) revealed INH-related hepatotoxicity rates of 1–41%, exacerbated by concurrent methotrexate, sulfasalazine, TNF inhibitors, and prior drug-induced liver injury. Results: Hepatotoxicity was frequent when INH was combined with other hepatotoxic drugs, especially methotrexate. Conclusions: INH prophylaxis in R-IMID patients carries substantial hepatotoxic risk. Careful hepatic monitoring and individualized risk stratification are essential to prevent liver injury in immunosuppressed populations. Full article
(This article belongs to the Special Issue Clinical Updates on Rheumatoid Arthritis: 2nd Edition)
Show Figures

Graphical abstract

15 pages, 4683 KB  
Review
Genetic Susceptibility to Tuberculosis and the Utility of Polygenic Scores in Population Stratification
by Mariia A. Dashian, German A. Shipulin and Andrei A. Deviatkin
Int. J. Mol. Sci. 2025, 26(19), 9544; https://doi.org/10.3390/ijms26199544 - 30 Sep 2025
Viewed by 1339
Abstract
Tuberculosis (TB) is one of the leading infectious causes of mortality worldwide. Although a significant proportion of the population (up to 36%, depending on the region) is infected with the latent form of TB, only about one in ten of these people will [...] Read more.
Tuberculosis (TB) is one of the leading infectious causes of mortality worldwide. Although a significant proportion of the population (up to 36%, depending on the region) is infected with the latent form of TB, only about one in ten of these people will develop an active form of the disease in their lifetime. This is due to a complex interaction between the host’s genetic predisposition and environment. However, the genetic determinants of TB are not well established and have been insufficiently explored in previous genome-wide association studies (GWAS) with sparse and incongruent results. We reviewed recent evidence on host genetic susceptibility to TB, highlighting population-specific characteristics, host–pathogen coevolution, and the limitations of conventional GWAS approaches in terms of clinical and genetic heterogeneity. While rare variants with high penetrance, such as TYK2 P1104A, lead to monogenic susceptibility, most heritable risk results from the cumulative effect of numerous common variants. This cumulative effect may be summarized using polygenic risk scores (PRSs). Although their use has been proven for non-communicable diseases, PRSs are not applied to infectious disease susceptibility. To date, no PRS model for susceptibility to tuberculosis has been consistently validated. The development of PRSs for TB susceptibility is limited by phenotypic heterogeneity, population structure, and co-adaptation between host and pathogen. Another major challenge is to take into account the considerable influence of environmental factors. This difficulty in modeling environmental influences probably explains the current lack of a clinically applicable PRS for TB susceptibility. However, taking these caveats into account, polygenic models could improve risk stratification at the individual level compared to single-variant association and allow for earlier targeted treatment and prophylaxis. Full article
(This article belongs to the Special Issue Tuberculosis: Host Immunity, Diagnosis and Treatment)
Show Figures

Figure 1

17 pages, 2429 KB  
Article
BCG Vaccine-Induced Innate and Adaptive Pulmonary Immunity Correlating with Protective Efficacy Against Mycobacterium tuberculosis in the Lungs
by Mayank Khanna and Alistair J. Ramsay
Vaccines 2025, 13(8), 876; https://doi.org/10.3390/vaccines13080876 - 19 Aug 2025
Viewed by 1875
Abstract
Background/Objectives: Effective prophylaxis for Mycobacterium tuberculosis (Mtb) requires greater understanding of immune correlates of protection. With renewed interest in BCG as an Mtb vaccine, particularly via the intravenous (IV) route, our objective was to characterize both innate and adaptive immune correlates of vaccine-induced [...] Read more.
Background/Objectives: Effective prophylaxis for Mycobacterium tuberculosis (Mtb) requires greater understanding of immune correlates of protection. With renewed interest in BCG as an Mtb vaccine, particularly via the intravenous (IV) route, our objective was to characterize both innate and adaptive immune correlates of vaccine-induced pulmonary immunity as potential biomarkers for protective efficacy in a murine model of Mtb infection. Methods: Mice were given BCG via different routes and some boosted with recombinant virus constructs encoding Mtb Ag85B. Responding innate lymphoid cell (ILC) populations, T cells and B cells were analyzed by fluorescence activated cell sorting (FACS) for surface markers and by intracellular cytokine staining or antibody ELISPOT. Some immunized mice were challenged with aerosolized Mtb and monitored for bacterial growth in the lungs and spleen. Results: BCG given IV, but not intranasally or subcutaneously, resulted in marked increases in IFNγ expression at 72 h by pulmonary CD49+ NK cells, CD69+ ILC1, and two ILC3 populations, NCR-ILC3 and LTi cells, the latter also producing IL-22. Pulmonary ILC2 populations in these mice had significantly increased IL-13 expression at 24 h compared to the other routes. Interestingly, high levels of NK cells and ILC1 expressing IFNγ and/or TNFα were sustained at 8 wk, with sustained expression of IL-17A by pulmonary NCR-ILC3 and pronounced tissue-resident and effector memory CD4+ and CD8+ T cell responses. Intranasal boosting with Ad-Ag85B enhanced these T cell responses and generated Mtb-specific pulmonary IgA and IgG B cells, correlating with significantly reduced bacterial loads following Mtb challenge. Conclusions: BCG given IV primed for both early and persistent pulmonary ILC1/ILC3 responses of a predominantly Th1/Th17-type profile along with local Mtb-specific memory T cell and B cell populations, correlating with enhanced protective efficacy. These are worthy of further study as compartmentalized biomarkers for effective vaccine-induced local immunity against Mtb. Full article
Show Figures

Figure 1

30 pages, 361 KB  
Review
Risk of Venous Thromboembolism in Infectious Diseases: A Literature Review
by Ilaria Pati, Francesca Masiello, Vanessa Piccinini, Lucia De Fulvio, Maria Simona Massari, Vincenzo De Angelis and Mario Cruciani
Pathogens 2025, 14(8), 816; https://doi.org/10.3390/pathogens14080816 - 18 Aug 2025
Cited by 4 | Viewed by 4879
Abstract
Systemic or localized infections increase the risk of venous thromboembolism (VTE). All types of infection can elevate the risk of VTE thrombosis, although some appear to increase risk more than others. In the current narrative review, we seek to overview the available evidence [...] Read more.
Systemic or localized infections increase the risk of venous thromboembolism (VTE). All types of infection can elevate the risk of VTE thrombosis, although some appear to increase risk more than others. In the current narrative review, we seek to overview the available evidence related to the epidemiology of VTE caused by infections. We focused on patients with infection in community setting or hospitalized, on patients with COVID-19, HIV infection, tuberculosis, HCV infection, and CMV infection, as well as on individuals with other types of infection that might increase the risk of VTE. Moreover, we tried to evaluate how the risk of VTE in person with different types of infections could be addressed in clinical practice with the use of anticoagulants. Extended VTE prophylaxis may not be warranted for all infections, but may be very helpful for some, such as those with intra-abdominal infection, systemic bloodstream infection, lower respiratory infection, and symptomatic urinary tract infection. Full article
12 pages, 587 KB  
Article
A Survey of the Knowledge, Attitudes and Practices of a Sample of Albanian Medical Students in Relation to Occupational Exposure to Biological Agents
by Lorenzo Ippoliti, Luca Coppeta, Ersilia Buonomo, Giuseppina Somma, Giuseppe Bizzarro, Cristiana Ferrari, Andrea Mazza, Agostino Paolino, Claudia Salvi, Vittorio Caputi, Antonio Pietroiusti and Andrea Magrini
Diseases 2025, 13(1), 11; https://doi.org/10.3390/diseases13010011 - 10 Jan 2025
Cited by 2 | Viewed by 2195
Abstract
(1) Background: Exposure to blood carries the risk of transmission of many infectious diseases. Healthcare workers (HCWs), including hospital-based medical students, face high and often under-reported rates of exposure to needlestick and sharps injuries. Previous studies have shown that students’ knowledge of infection [...] Read more.
(1) Background: Exposure to blood carries the risk of transmission of many infectious diseases. Healthcare workers (HCWs), including hospital-based medical students, face high and often under-reported rates of exposure to needlestick and sharps injuries. Previous studies have shown that students’ knowledge of infection control varies, highlighting the importance of pre-placement training. This study aims to assess knowledge, attitudes and practices regarding these risks in a population of medical students from Albania. (2) Methods: A validated questionnaire was administered to 134 medical students in an Italian hospital in May 2023. It assessed HBV vaccination status, adherence to infection control practices, knowledge of pathogen transmission, exposure incidents and attitudes towards infected patients. Three additional questions addressed air-borne transmission of tuberculosis and vaccination recommendations for healthcare workers. (3) Results: Most students (64%) reported being aware of occupational exposure risks. While 93% and 87%, respectively, recognised HIV and HBV as blood-borne pathogens, fewer recognised Treponema pallidum (44%). Awareness of post-exposure prophylaxis for HIV was high (85%), but although 75% reported having received training, only 45% felt it was adequate. Statistical analysis revealed an association between knowledge of infection control, awareness of pathogen transmission and understanding of the importance of vaccination. (4) Conclusions: Our study highlights gaps in medical students’ knowledge of occupational infections and highlights the need for improved pre-clerkship education. Improved education could reduce anxiety, ethical issues and misconceptions and promote safer healthcare practices. Full article
Show Figures

Figure 1

6 pages, 11950 KB  
Case Report
Tuberculous Osteomyelitis of the Scapular Spine Revealing HIV-1 Infection
by Khaoula Idsaid, Malika Idalene, Khadija Danaoui, Wiam Ait Driss, Rania Elfargani, Nabila Soraa and Noura Tassi
Trop. Med. Infect. Dis. 2025, 10(1), 8; https://doi.org/10.3390/tropicalmed10010008 - 30 Dec 2024
Cited by 1 | Viewed by 1412
Abstract
Tuberculosis is no longer confined to developing nations; it persists as a significant contributor to illness and death on a global scale. The subtle clinical manifestation and association with human immunodeficiency virus infection poses obstacles for early diagnosis and management. Tuberculosis manifesting at [...] Read more.
Tuberculosis is no longer confined to developing nations; it persists as a significant contributor to illness and death on a global scale. The subtle clinical manifestation and association with human immunodeficiency virus infection poses obstacles for early diagnosis and management. Tuberculosis manifesting at extrapulmonary sites is relatively rare. We herein present the case of a 26-year-old patient from Cameroon with a history of pleuropulmonary tuberculosis treated in 2008, who had been taking pre-exposure prophylaxis (PrEP). The patient presented with right shoulder pain of an inflammatory type. The case was diagnosed as tuberculous osteomyelitis of the scapular spine, complicated by a deltoid abscess. Diagnosis was confirmed using computed tomography and the MTB/RIF GeneXpert test on the abscess puncture. This rare form of tuberculosis with an exceptional site revealed a HIV infection with profound immunosuppression. The patient was initiated on anti-tubercular treatment according to Moroccan recommendations. Full article
(This article belongs to the Section Infectious Diseases)
Show Figures

Figure 1

17 pages, 8025 KB  
Article
Discovery of Mycobacterium avium subsp. paratuberculosis Lytic Phages with Extensive Host Range Across Rapid- and Slow-Growing Pathogenic Mycobacterial Species
by Aleen Clare Golla, Jeanne Chaumontet, Rebecca Vande Voorde and Lia Danelishvili
Antibiotics 2024, 13(11), 1009; https://doi.org/10.3390/antibiotics13111009 - 27 Oct 2024
Cited by 1 | Viewed by 2609
Abstract
Background/Objectives: Developing interventions for Johne’s disease, which focuses on controlling Mycobacterium avium subsp. paratuberculosis (MAP) in contaminated environments by treating infected cows and preventing transmission from diseased animals, is a critical priority. Bacteriophage (phage) therapy, an emerging biological intervention, offers a promising alternative [...] Read more.
Background/Objectives: Developing interventions for Johne’s disease, which focuses on controlling Mycobacterium avium subsp. paratuberculosis (MAP) in contaminated environments by treating infected cows and preventing transmission from diseased animals, is a critical priority. Bacteriophage (phage) therapy, an emerging biological intervention, offers a promising alternative for the treatment and management of MAP infections. Methods: In this study, we generated an MAP-specific lytic phage library aimed at characterizing the therapeutic potential of phages under environmental and biological conditions that mimic those encountered in infected cattle such as ruminal fluid, milk, colostrum, and the bovine intestinal epithelium, a key site of MAP colonization and, later, transmission. Results: Our library contains a diverse collection of phages that have demonstrated robust lytic activity against MAP. The host range of these phages was thoroughly assessed, revealing that several isolates produce clear plaques on a range of MAP strains, as well as other pathogenic non-tuberculous mycobacterial (NTM) species and M. tuberculosis strains. This broad host range expands the therapeutic potential of the phage collection, positioning it as a potential cross-species antimicrobial tool. In vitro tests under conditions replicating the rumen, milk, and colostrum environments show that selected phages maintain stability and lytic efficacy, even in the presence of complex biological fluids. Furthermore, a subset of these phages was capable of preventing MAP colonization and invasion in cultured bovine epithelial cells, suggesting their potential for direct prophylactic application in cattle. Conclusions. Our collection of MAP phages represents a valuable source that can be developed into probiotic-like preparations, offering a cost-effective solution for prophylaxis and control of Johne’s disease. Full article
(This article belongs to the Topic Challenges and Future Prospects of Antibacterial Therapy)
Show Figures

Figure 1

12 pages, 1106 KB  
Article
Community-Based Intervention for Active Detection and Provision of Single-Dose Rifampicin Post-Exposure Prophylaxis to Household Contacts of Leprosy in Bolivia
by Abundio Baptista Mora, Nimer Ortuño-Gutiérrez, Deisy Zurita Paniagua, Carlos Hurtado Solares, Anil Fastenau and Christa Kasang
Trop. Med. Infect. Dis. 2024, 9(5), 101; https://doi.org/10.3390/tropicalmed9050101 - 1 May 2024
Cited by 6 | Viewed by 2856
Abstract
Background: To achieve zero leprosy cases in Santa Cruz, Bolivia, we designed a community-based active detection and provision of single-dose rifampicin post-exposure prophylaxis (SDR-PEP) to household contacts with new leprosy patients. Methods: From July to August 2021, we assessed the current knowledge, attitude, [...] Read more.
Background: To achieve zero leprosy cases in Santa Cruz, Bolivia, we designed a community-based active detection and provision of single-dose rifampicin post-exposure prophylaxis (SDR-PEP) to household contacts with new leprosy patients. Methods: From July to August 2021, we assessed the current knowledge, attitude, and practices through structured interviews and focus group discussions with community representatives and health staff. This was followed by sensitization sessions, the training of health staff, and the reinforcement of referral mechanisms. Teams, including health staff and community volunteers, visited all new leprosy patients detected in 2021–2023 and household contacts. Results: Among 115 community representatives, knowledge about leprosy etiology was attributed to non-biological factors (74%); fear accounted for 77%, and access to care was perceived as weak (74%), but the outlook was improved by SDR-PEP (80%). Among the 217 health staff interviewed, the programmatic barriers identified were a lack of referral feedback (67%), limited supplies for diagnosis and prevention, and ineffective training (64%). We visited 70 new patients and 258 household contacts. The median age in household contacts was 25 years old; 49% were women, 98% were eligible for SDR-PEP, and all who were eligible accepted it. Those who were non-eligible included one tuberculosis patient and six newly detected leprosy patients (23‰). Conclusions: A community-based intervention was successful in Santa Cruz, Bolivia. Misbeliefs and a lack of knowledge were identified as barriers. Programmatic components should be reinforced for SDR-PEP extension. Full article
(This article belongs to the Special Issue Community Engagement and Neglected Tropical Diseases (NTDs))
Show Figures

Figure 1

9 pages, 670 KB  
Article
Tuberculosis and Nontuberculous Mycobacterial Infections in Patients with Spondyloarthritis: A Population-Based Study
by Jiyoul Yang, Hyun-a Jang, Hyunjeong Cho, Yo Han Im and Ji Hyoun Kim
Medicina 2024, 60(4), 579; https://doi.org/10.3390/medicina60040579 - 31 Mar 2024
Viewed by 2301
Abstract
Background and Objectives: Tuberculosis is caused by Mycobacterium tuberculosis (MTB), while nontuberculous mycobacteria (NTM) encompass a group of mycobacterial species that are distinct from the MTB complex and leprae. Spondyloarthritis (SpA) is a group of chronic inflammatory diseases with shared clinical characteristics [...] Read more.
Background and Objectives: Tuberculosis is caused by Mycobacterium tuberculosis (MTB), while nontuberculous mycobacteria (NTM) encompass a group of mycobacterial species that are distinct from the MTB complex and leprae. Spondyloarthritis (SpA) is a group of chronic inflammatory diseases with shared clinical characteristics and is treated with biological agents; however, their use may elevate the risk of MTB and NTM infections. This study aimed to compare the incidence and risk of MTB and NTM infections in patients with SpA, including ankylosing spondylitis (AS) and psoriatic arthritis (PsA), using a population-based approach. Materials and Methods: This study included 2333 patients with SpA and 9332 age- and sex-matched controls from the Korea National Health Insurance Service-National Sample Cohort database from 2002 to 2019. The patients were identified using the International Classification of Diseases-10 codes for AS, PsA, MTB, and NTM. Results: The results showed that a negligible percentage of patients with SpA developed NTM (0.002%) and MTB (0.016%), with no significant difference in the incidence rate ratio (IRR) compared to controls. Among patients with SpA treated with biologics, the IRRs for NTM and MTB were 5.66 and 3.069, respectively; however, these were not statistically significant. No cases of NTM or MTB infection were reported in female patients with SpA treated with biologics. In both the SpA patient group and the control group, the incidence of MTB was higher in individuals over 60 years old compared to those under 60 years old. Cox proportional hazard analysis revealed a significant adjusted hazard ratio of 1.479 for MTB in patients with SpA after adjusting for age, sex, smoking history, insurance level, and comorbidities. However, this significance was not maintained when biological therapy was further adjusted. Conclusions: Our study indicated that the risks of NTM and MTB infection are not elevated in patients with SpA. Although biological use may potentially increase the risk of MTB infection, it does not lead to a significant increase in incidence rates. Proactive screening for latent tuberculosis and adequate prophylaxis using biologics can effectively manage the risk of NTM and MTB infections. Full article
(This article belongs to the Section Infectious Disease)
Show Figures

Figure 1

19 pages, 2754 KB  
Review
The Use of Particulate Systems for Tuberculosis Prophylaxis and Treatment: Opportunities and Challenges
by Alejandra Barrera-Rosales, Romina Rodríguez-Sanoja, Rogelio Hernández-Pando and Silvia Moreno-Mendieta
Microorganisms 2023, 11(8), 1988; https://doi.org/10.3390/microorganisms11081988 - 2 Aug 2023
Cited by 1 | Viewed by 2870
Abstract
The use of particles to develop vaccines and treatments for a wide variety of diseases has increased, and their success has been demonstrated in preclinical investigations. Accurately targeting cells and minimizing doses and adverse side effects, while inducing an adequate biological response, are [...] Read more.
The use of particles to develop vaccines and treatments for a wide variety of diseases has increased, and their success has been demonstrated in preclinical investigations. Accurately targeting cells and minimizing doses and adverse side effects, while inducing an adequate biological response, are important advantages that particulate systems offer. The most used particulate systems are liposomes and their derivatives, immunostimulatory complexes, virus-like particles, and organic or inorganic nano- and microparticles. Most of these systems have been proven using therapeutic or prophylactic approaches to control tuberculosis, one of the most important infectious diseases worldwide. This article reviews the progress and current state of the use of particles for the administration of TB vaccines and treatments in vitro and in vivo, with a special emphasis on polymeric particles. In addition, we discuss the challenges and benefits of using these particulate systems to provide researchers with an overview of the most promising strategies in current preclinical trials, offering a perspective on their progress to clinical trials. Full article
(This article belongs to the Special Issue Prevention, Treatment and Diagnosis of Tuberculosis)
Show Figures

Figure 1

13 pages, 3782 KB  
Article
Modulation of Cystatin F in Human Macrophages Impacts Cathepsin-Driven Killing of Multidrug-Resistant Mycobacterium tuberculosis
by Manoj Mandal, David Pires, Maria João Catalão, José Miguel Azevedo-Pereira and Elsa Anes
Microorganisms 2023, 11(7), 1861; https://doi.org/10.3390/microorganisms11071861 - 24 Jul 2023
Cited by 8 | Viewed by 2397
Abstract
Tuberculosis (TB) treatment relies primarily on 70-year-old drugs, and prophylaxis suffers from the lack of an effective vaccine. Among the 10 million people exhibiting disease symptoms yearly, 450,000 have multidrug or extensively drug-resistant (MDR or XDR) TB. A greater understanding of host and [...] Read more.
Tuberculosis (TB) treatment relies primarily on 70-year-old drugs, and prophylaxis suffers from the lack of an effective vaccine. Among the 10 million people exhibiting disease symptoms yearly, 450,000 have multidrug or extensively drug-resistant (MDR or XDR) TB. A greater understanding of host and pathogen interactions will lead to new therapeutic interventions for TB eradication. One of the strategies will be to target the host for better immune bactericidal responses against the TB causative agent Mycobacterium tuberculosis (Mtb). Cathepsins are promising targets due to their manipulation of Mtb with consequences such as decreased proteolytic activity and improved pathogen survival in macrophages. We recently demonstrated that we could overcome this enzymatic blockade by manipulating protease inhibitors such as cystatins. Here, we investigate the role of cystatin F, an inhibitor that we showed previously to be strongly upregulated during Mtb infection. Our results indicate that the silencing of cystatin F using siRNA increase the proteolytic activity of cathepsins S, L, and B, significantly impacting pathogen intracellular killing in macrophages. Taken together, these indicate the targeting of cystatin F as a potential adjuvant therapy for TB, including MDR and XDR-TB. Full article
(This article belongs to the Special Issue Prevention, Treatment and Diagnosis of Tuberculosis)
Show Figures

Figure 1

17 pages, 3732 KB  
Article
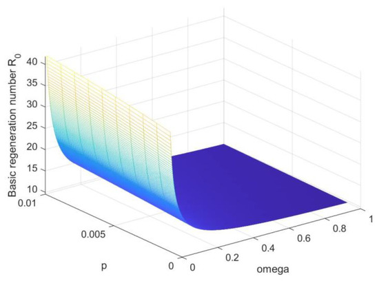
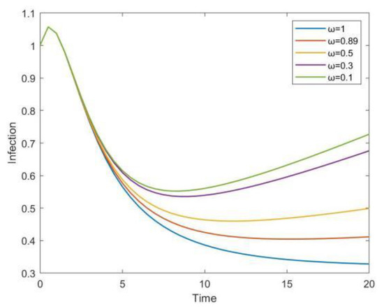
An Epidemiological Model for Tuberculosis Considering Environmental Transmission and Reinfection
by Qiuyun Li and Fengna Wang
Mathematics 2023, 11(11), 2423; https://doi.org/10.3390/math11112423 - 24 May 2023
Cited by 7 | Viewed by 4428
Abstract
As tuberculosis (TB) patients do not have lifetime immunity, environmental transmission is one of the key reasons why TB has not been entirely eradicated. In this study, an SVEIRB model of recurrent TB considering environmental transmission was developed to explore the transmission kinetics [...] Read more.
As tuberculosis (TB) patients do not have lifetime immunity, environmental transmission is one of the key reasons why TB has not been entirely eradicated. In this study, an SVEIRB model of recurrent TB considering environmental transmission was developed to explore the transmission kinetics of recurrent TB in the setting of environmental transmission, exogenous infection, and prophylaxis. A more thorough explanation of the effect of environmental transmission on recurrent TB can be found in the model’s underlying regeneration numbers. The global stability of disease-free and local equilibrium points can be discussed by looking at the relevant characteristic equations. The Lyapunov functions and the LaSalle invariance principle are used to show that the local equilibrium point is globally stable, and TB will persist if the basic reproduction number is larger. Conversely, the disease will disappear if the basic reproduction number is less than one. The impact of environmental transmission on the spread of tuberculosis was further demonstrated by numerical simulations, which also demonstrated that vaccination and reducing the presence of the virus in the environment are both efficient approaches to control the disease’s spread. Full article
Show Figures

Figure 1

16 pages, 922 KB  
Review
The State of the HIV Epidemic in the Philippines: Progress and Challenges in 2023
by Louie Mar A. Gangcuangco and Patrick C. Eustaquio
Trop. Med. Infect. Dis. 2023, 8(5), 258; https://doi.org/10.3390/tropicalmed8050258 - 30 Apr 2023
Cited by 49 | Viewed by 145899
Abstract
In the past decade, the Philippines has gained notoriety as the country with the fastest-growing human immunodeficiency virus (HIV) epidemic in the Western Pacific region. While the overall trends of HIV incidence and acquired immunodeficiency syndrome (AIDS)-related deaths are declining globally, an increase [...] Read more.
In the past decade, the Philippines has gained notoriety as the country with the fastest-growing human immunodeficiency virus (HIV) epidemic in the Western Pacific region. While the overall trends of HIV incidence and acquired immunodeficiency syndrome (AIDS)-related deaths are declining globally, an increase in new cases was reported to the HIV/AIDS and ART Registry of the Philippines. From 2012 to 2023, there was a 411% increase in daily incidence. Late presentation in care remains a concern, with 29% of new confirmed HIV cases in January 2023 having clinical manifestations of advanced HIV disease at the time of diagnosis. Men having sex with men (MSM) are disproportionately affected. Various steps have been taken to address the HIV epidemic in the country. The Philippine HIV and AIDS Policy Act of 2018 (Republic Act 11166) expanded access to HIV testing and treatment. HIV testing now allows for the screening of minors 15–17 years old without parental consent. Community-based organizations have been instrumental in expanding HIV screening to include self-testing and community-based screening. The Philippines moved from centralized HIV diagnosis confirmation by Western blot to a decentralized rapid HIV diagnostic algorithm (rHIVda). Dolutegravir-based antiretroviral therapy is now the first line. Pre-exposure prophylaxis in the form of emtricitabine–tenofovir disoproxil fumarate has been rolled out. The number of treatment hubs and primary HIV care facilities continues to increase. Despite these efforts, barriers to ending the HIV epidemic remain, including continued stigma, limited harm reduction services for people who inject drugs, sociocultural factors, and political deterrents. HIV RNA quantification and drug resistance testing are not routinely performed due to associated costs. The high burden of tuberculosis and hepatitis B virus co-infection complicate HIV management. CRF_01AE is now the predominant subtype, which has been associated with poorer clinical outcomes and faster CD4 T-cell decline. The HIV epidemic in the Philippines requires a multisectoral approach and calls for sustained political commitment, community involvement, and continued collaboration among various stakeholders. In this article, we outline the current progress and challenges in curbing the HIV epidemic in the Philippines. Full article
(This article belongs to the Special Issue HIV Transmission and Control)
Show Figures

Figure 1

21 pages, 2915 KB  
Review
Lentiviral Vectors as a Vaccine Platform against Infectious Diseases
by Kirill Nemirov, Maryline Bourgine, François Anna, Yu Wei, Pierre Charneau and Laleh Majlessi
Pharmaceutics 2023, 15(3), 846; https://doi.org/10.3390/pharmaceutics15030846 - 5 Mar 2023
Cited by 25 | Viewed by 6509
Abstract
Lentiviral vectors are among the most effective viral vectors for vaccination. In clear contrast to the reference adenoviral vectors, lentiviral vectors have a high potential for transducing dendritic cells in vivo. Within these cells, which are the most efficient at activating naive T [...] Read more.
Lentiviral vectors are among the most effective viral vectors for vaccination. In clear contrast to the reference adenoviral vectors, lentiviral vectors have a high potential for transducing dendritic cells in vivo. Within these cells, which are the most efficient at activating naive T cells, lentiviral vectors induce endogenous expression of transgenic antigens that directly access antigen presentation pathways without the need for external antigen capture or cross-presentation. Lentiviral vectors induce strong, robust, and long-lasting humoral, CD8+ T-cell immunity and effective protection against several infectious diseases. There is no pre-existing immunity to lentiviral vectors in the human population and the very low pro-inflammatory properties of these vectors pave the way for their use in mucosal vaccination. In this review, we have mainly summarized the immunological aspects of lentiviral vectors, their recent optimization to induce CD4+ T cells, and our recent data on lentiviral vector-based vaccination in preclinical models, including prophylaxis against flaviviruses, SARS-CoV-2, and Mycobacterium tuberculosis. Full article
(This article belongs to the Special Issue Dendritic Cell Vaccines Volume II)
Show Figures

Figure 1

21 pages, 1422 KB  
Review
The Potential Role of Vaccines in Preventing Antimicrobial Resistance (AMR): An Update and Future Perspectives
by Vincenzo Costanzo and Giovanni N. Roviello
Vaccines 2023, 11(2), 333; https://doi.org/10.3390/vaccines11020333 - 1 Feb 2023
Cited by 46 | Viewed by 9559
Abstract
In the modern era, the consumption of antibiotics represents a revolutionary weapon against several infectious diseases, contributing to the saving of millions of lives worldwide. However, the misuse of antibiotics for human and animal purposes has fueled the process of antimicrobial resistance (AMR), [...] Read more.
In the modern era, the consumption of antibiotics represents a revolutionary weapon against several infectious diseases, contributing to the saving of millions of lives worldwide. However, the misuse of antibiotics for human and animal purposes has fueled the process of antimicrobial resistance (AMR), considered now a global emergency by the World Health Organization (WHO), which significantly increases the mortality risk and related medical costs linked to the management of bacterial diseases. The current research aiming at developing novel efficient antibiotics is very challenging, and just a few candidates have been identified so far due to the difficulties connected with AMR. Therefore, novel therapeutic or prophylactic strategies to fight AMR are urgently needed. In this scenario, vaccines constitute a promising approach that proves to be crucial in preventing pathogen spreading in primary infections and in minimizing the usage of antibiotics following secondary bacterial infections. Unfortunately, most of the vaccines developed against the main resistant pathogens are still under preclinical and clinical evaluation due to the complexity of pathogens and technical difficulties. In this review, we describe not only the main causes of AMR and the role of vaccines in reducing the burden of infectious diseases, but we also report on specific prophylactic advancements against some of the main pathogens, focusing on new strategies that aim at improving vaccine efficiency. Full article
(This article belongs to the Special Issue Vaccines Against Antibiotic Resistant Bacteria: From Bench to Bedside)
Show Figures

Figure 1

Back to TopTop