Sign in to use this feature.

Years

Between: -

Subjects

remove_circle_outline
remove_circle_outline
remove_circle_outline
remove_circle_outline
remove_circle_outline
remove_circle_outline
remove_circle_outline
remove_circle_outline
remove_circle_outline

Journals

remove_circle_outline
remove_circle_outline
remove_circle_outline
remove_circle_outline
remove_circle_outline
remove_circle_outline
remove_circle_outline
remove_circle_outline
remove_circle_outline
remove_circle_outline
remove_circle_outline
remove_circle_outline

Article Types

Countries / Regions

remove_circle_outline
remove_circle_outline
remove_circle_outline
remove_circle_outline
remove_circle_outline

Search Results (890)

Search Parameters:
Keywords = traffic data observation

Order results
Result details
Results per page
Select all
Export citation of selected articles as:
27 pages, 12408 KB  
Article
Conditional Axle Group Load Spectra from Short-Term WIM Data Using XGBoost: A Nairobi Case Study
by Zining Chen, Xiaodong Yu, Yabo Wang, Zeyu Zhang, Zhihao Bai, Junyan Yi and Zhongshi Pei
Appl. Sci. 2026, 16(7), 3127; https://doi.org/10.3390/app16073127 (registering DOI) - 24 Mar 2026
Abstract
Heavy and overloaded freight traffic strongly affects pavement performance, yet short-term weigh-in-motion (WIM) measurements are not easily converted into design-oriented traffic inputs. Using the Nairobi Southern Bypass in Kenya as a case study, this study develops axle load spectrum (ALS) and equivalent single [...] Read more.
Heavy and overloaded freight traffic strongly affects pavement performance, yet short-term weigh-in-motion (WIM) measurements are not easily converted into design-oriented traffic inputs. Using the Nairobi Southern Bypass in Kenya as a case study, this study develops axle load spectrum (ALS) and equivalent single axle load (ESAL) indicators from more than 1.5 million axle group records collected between June and December 2025 and proposes an XGBoost-based conditional axle load spectrum (CA-ALS) framework. The data revealed strongly right-skewed load distributions, with a limited number of heavily loaded axle groups dominating pavement damage. Compared with the static ALS by axle group type baseline, the CA-ALS reduced log loss from 2.7563 to 2.6709 in conditional spectrum prediction. In the December 2025 tandem axle benchmark, the CA-ALS increased the ESAL-based verification input by 6.0% at b = 4 and 11.1% at b = 5 relative to the stronger static reference. A legal-load-capped counterfactual analysis further showed that, for all heavy vehicles, observed overloading increased ESAL by 161.0% at b = 4 and 239.4% at b = 5. These results indicate that the CA-ALS provides condition-sensitive traffic inputs for design traffic verification, scenario-based pavement checks, and overload-sensitive evaluation based on short-term WIM observations. Full article
(This article belongs to the Section Transportation and Future Mobility)
27 pages, 3906 KB  
Article
Post-Pandemic Stability and Variability of Urban Air Pollutants in Mexico City: A Multi-Pollutant Temporal Analysis for Environmental Sustainability
by Eva Selene Hernández-Gress, David Conchouso-González and Cristopher Antonio Muñoz-Ibañez
Sustainability 2026, 18(6), 3105; https://doi.org/10.3390/su18063105 - 21 Mar 2026
Viewed by 200
Abstract
Urban air quality is a key component of environmental sustainability and public health in large metropolitan areas. Following the substantial but temporary improvements in air quality observed during the COVID-19 lockdowns, it remains unclear whether structural changes in urban air pollution have persisted [...] Read more.
Urban air quality is a key component of environmental sustainability and public health in large metropolitan areas. Following the substantial but temporary improvements in air quality observed during the COVID-19 lockdowns, it remains unclear whether structural changes in urban air pollution have persisted in the post-pandemic period. This study analyzes the temporal dynamics of major atmospheric pollutants in Mexico City between 2021 and 2024, including CO, NO2, NOx, O3, PM10, PM2.5, and SO2, using hourly data from the Mexico City Atmospheric Monitoring System (SIMAT). Annual and monthly median concentrations were computed to reduce the influence of extreme values and short-term pollution episodes. Station-level monotonic trends were evaluated using the non-parametric Mann–Kendall test, complemented by the use of Sen’s slope estimator to quantify the magnitude and direction of change. Absolute and relative changes between 2021 and 2024 were also analyzed to capture incremental variations not reflected by trend significance tests and performed together with hourly monthly analyses to characterize diurnal and seasonal patterns. Results indicate that no statistically significant monotonic trends were detected for any pollutant across the analyzed stations (p > 0.05), suggesting an overall stabilization of air quality levels during the post-pandemic period. Nevertheless, moderate increases in annual median concentrations were observed at specific locations, particularly for PM10, PM2.5, NO2, and NOx, with relative changes ranging from approximately 5% to 35%. Persistent diurnal and seasonal patterns were identified, closely associated with traffic activity, photochemical processes, and meteorological conditions. These findings suggest that, although no robust long-term trends are evident, incremental increases and stable temporal structures remain relevant from a sustainability perspective. Continued monitoring and targeted air quality management strategies are therefore necessary to support long-term urban environmental sustainability. Full article
(This article belongs to the Section Air, Climate Change and Sustainability)
Show Figures

Figure 1

18 pages, 1430 KB  
Article
Multi-Layer Traffic Analysis Framework for DDoS Attacks in Software-Defined IoT Networks
by Keerthana Balaji and Mamatha Balachandra
Future Internet 2026, 18(3), 164; https://doi.org/10.3390/fi18030164 - 19 Mar 2026
Viewed by 106
Abstract
The data plane and the control plane are targets for Distributed Denial of Service (DDoS) attacks in the Software-Defined Internet of Things (SDIoT). Currently available studies rely on observations from a single network layer which limits the cross-layer attack analysis. This paper presents [...] Read more.
The data plane and the control plane are targets for Distributed Denial of Service (DDoS) attacks in the Software-Defined Internet of Things (SDIoT). Currently available studies rely on observations from a single network layer which limits the cross-layer attack analysis. This paper presents a synchronized, phase-aware, and a multi-layer traffic collection framework mimicking SDIoT environments under diverse DDoS attack scenarios. The data collected are the metrics captured at host, switch, and controller layers during normal, attack, and post-attack phases with strict temporal alignment. For capturing diverse DDoS attack behaviors in SDIoT environments, representative data plane attacks including volumetric flooding and switch-level flow table saturation were used. Control plane level attack targeting the SDN controller was implemented. The evaluation was done using a Mininet-based SDIoT testbed with a POX controller. Each scenario is executed across five independent runs with statistical validation. The proposed framework enables reproducible and time-aligned multi-layer analysis through standardized orchestration and automated logging. Results indicate that SDIoT DDoS behavior demonstrates differently across traffic, state, and resource-level metrics, and that accurate characterization benefits from temporally aligned multi-layer monitoring rather than relying solely on packet rate analysis. Full article
(This article belongs to the Special Issue Cybersecurity, Privacy, and Trust in Intelligent Networked Systems)
Show Figures

Figure 1

29 pages, 1203 KB  
Article
Ba–Sr–V as Geogenic and Traffic Tracers in Paediatric Hair from Urban–Industrial Spain, with Co-Located Topsoil Vanadium
by Antonio Peña-Fernández, Roberto Valiente, Manuel Higueras, Rafael Moreno-Gómez-Toledano and M. Carmen Lobo-Bedmar
Toxics 2026, 14(3), 268; https://doi.org/10.3390/toxics14030268 - 19 Mar 2026
Viewed by 347
Abstract
Urban–industrial environments can generate mixed geogenic and traffic-related metal signatures in paediatric scalp hair, yet interpretation is challenged by left-censoring and limited health-based guidance values for hair. We quantified barium (Ba), strontium (Sr) and vanadium (V) in archived scalp hair collected in 2001 [...] Read more.
Urban–industrial environments can generate mixed geogenic and traffic-related metal signatures in paediatric scalp hair, yet interpretation is challenged by left-censoring and limited health-based guidance values for hair. We quantified barium (Ba), strontium (Sr) and vanadium (V) in archived scalp hair collected in 2001 from children (6–9 years, n = 120) and adolescents (13–16 years, n = 97) residing in Alcalá de Henares (central Spain). Samples were washed, digested and quantified by Inductively coupled plasma mass spectrometry (ICP–MS; laboratory processing in 2025); results below the limit of detection (LoD) were treated as left-censored using NADA2 (no substitution). In children, Ba and Sr were frequently quantifiable (medians 0.193 and 0.412 µg/g; 38.3% and 23.3% <LoD), whereas V was heavily censored (74.2% <LoD; median 0.003 µg/g). Adolescents showed higher Ba and Sr and broader upper tails (Ba median 0.287 µg/g, P95 2.061 µg/g; Sr median 1.105 µg/g, P95 4.995 µg/g), while V remained low (median 0.011 µg/g, P95 0.052 µg/g). Ba and Sr displayed strong spatial gradients across four residential zones in adolescents (censored-data Peto–Peto tests p < 1 × 10−8), but V did not (p = 0.162). Co-located residential topsoils were available only for V and showed limited between-zone contrast; soil–hair correspondence was weak overall but moderate in adolescent girls (Spearman ρ = 0.433). These findings provide a historical baseline and support a cautious tracer-oriented interpretation in which the observed Ba–Sr spatial patterning is consistent with heterogeneous contact with dust- and traffic-influenced surface materials, while V appears less discriminatory in low-contrast community settings. Full article
Show Figures

Figure 1

21 pages, 2363 KB  
Article
Probabilistic Modeling of Inter-Vehicle Spacing on Two-Lane Roads: Implications for Safety-Oriented and Sustainable Traffic Operations
by Andrea Pompigna, Giuseppe Cantisani and Giulia Del Serrone
Sustainability 2026, 18(6), 2896; https://doi.org/10.3390/su18062896 - 16 Mar 2026
Viewed by 219
Abstract
Accurate characterization of inter-vehicle spacing is fundamental for safety assessment and sustainable operation of road networks, particularly on two-lane rural roads where monitoring infrastructure is limited. Unlike temporal headways, vehicle spacing directly reflects physical vehicle interactions and roadway occupancy, making it a more [...] Read more.
Accurate characterization of inter-vehicle spacing is fundamental for safety assessment and sustainable operation of road networks, particularly on two-lane rural roads where monitoring infrastructure is limited. Unlike temporal headways, vehicle spacing directly reflects physical vehicle interactions and roadway occupancy, making it a more appropriate variable for evaluating collision risk and operational efficiency. This study develops a probabilistic framework for modeling vehicle spacing based on the statistical isomorphism between Event Flows and Linear Fields of Random Points. Using a calibrated microscopic simulation model, spacing distributions are generated for unidirectional traffic over flow rates from 100 to 1300 veh/h. A Pearson Type III distribution is shown to consistently reproduce the observed asymmetry, kurtosis, and non-zero minimum spacing across traffic regimes. Distribution parameters are estimated via maximum likelihood and validated using a heuristic Kolmogorov–Smirnov procedure suitable for large samples. Results demonstrate systematic relationships between spacing distribution parameters and macroscopic traffic variables, enabling estimation of the probability of unsafe spacing conditions from commonly available traffic data. The proposed framework supports sustainability-oriented traffic management by providing a quantitative basis for safety evaluation and operational control without requiring extensive sensing infrastructure. Full article
Show Figures

Figure 1

26 pages, 4823 KB  
Article
Remote Tower Air Traffic Controller Multimodal Fatigue Detection
by Weijun Pan, Dajiang Song, Ruihan Liang, Zirui Yin and Boyuan Han
Sensors 2026, 26(6), 1856; https://doi.org/10.3390/s26061856 - 15 Mar 2026
Viewed by 230
Abstract
Remote tower (rTWR) operations are reshaping air traffic control but introduce significant human-factor risks, notably cognitive fatigue induced by prolonged screen-based visual surveillance. To mitigate these risks in a safety-critical domain where missed detections can be catastrophic, we propose a non-intrusive, multimodal fatigue [...] Read more.
Remote tower (rTWR) operations are reshaping air traffic control but introduce significant human-factor risks, notably cognitive fatigue induced by prolonged screen-based visual surveillance. To mitigate these risks in a safety-critical domain where missed detections can be catastrophic, we propose a non-intrusive, multimodal fatigue detection framework fusing ocular and cardiac signals. A high-fidelity simulation study with 36 controllers was conducted to collect eye-tracking and electrocardiogram (ECG) data, from which a 12-dimensional feature vector—integrating gaze entropy and heart rate variability (HRV)—was extracted. Addressing the severe class imbalance and scarcity of fatigue samples in physiological data, we developed a cost-sensitive XGBoost classifier combining SMOTE oversampling with a dynamically weighted loss function. Experimental results show that the proposed framework performed well under mixed-subject evaluation and improved sensitivity to fatigue events. Although a marked performance drop was observed under LOSO evaluation, personalized calibration partially alleviated this limitation, indicating the potential of the framework for real-time fatigue monitoring in remote tower operations. Full article
(This article belongs to the Section Physical Sensors)
Show Figures

Figure 1

33 pages, 8047 KB  
Article
Probabilistic Modeling of Urban Vehicle Traffic Under COVID-19 Mobility Restrictions Using AI-Based Video Data: A Case Study in Cluj-Napoca
by Nicolae Filip, Calin Iclodean and Marius Deac
Vehicles 2026, 8(3), 59; https://doi.org/10.3390/vehicles8030059 - 15 Mar 2026
Viewed by 130
Abstract
The COVID-19 pandemic and the resulting mobility restrictions significantly disrupted urban traffic patterns. This study quantitatively assesses the impact of these restrictions on vehicle flow at a signalized central intersection in Cluj-Napoca, Romania, through an integrated methodology combining continuous radar-based traffic measurements and [...] Read more.
The COVID-19 pandemic and the resulting mobility restrictions significantly disrupted urban traffic patterns. This study quantitatively assesses the impact of these restrictions on vehicle flow at a signalized central intersection in Cluj-Napoca, Romania, through an integrated methodology combining continuous radar-based traffic measurements and AI (Artificial Intelligence)-assisted video analysis. Traffic data were collected before the pandemic (November 2019) and during the lockdown period (April 2020), enabling a comparative evaluation of flow characteristics and vehicle arrival patterns. Under constrained observational conditions, vehicle arrivals were modeled using a probabilistic framework grounded in Poisson distribution. The findings indicate a dramatic contraction of mobility demand, with traffic volumes declining in 2020 to 9.55% of pre-pandemic levels. The probabilistic assessment highlights the predominance of free-flow regimes under reduced demand and confirms the adequacy of the Poisson model in low-density traffic scenarios. The obtained results contribute to a better understanding of urban traffic dynamics under extreme mobility disruptions and provide a transferable methodological framework for probabilistic traffic modeling, resilience-oriented urban mobility planning, and data-driven traffic management. Full article
(This article belongs to the Special Issue Intelligent Mobility and Sustainable Automotive Technologies)
Show Figures

Figure 1

21 pages, 3138 KB  
Article
Spatial Assessment of Nitrogen Dioxide (NO2) in Lithuania’s Coastal Zones: A Remote Sensing Approach for Sustainable Urban Planning
by Aistė Andriulė, Erika Vasiliauskienė, Remigijus Dailidė and Inga Dailidienė
Sustainability 2026, 18(6), 2839; https://doi.org/10.3390/su18062839 - 13 Mar 2026
Viewed by 300
Abstract
Nitrogen dioxide (NO2) is a short-lived atmospheric pollutant primarily emitted by road traffic, maritime shipping, and industrial combustion. It is a key indicator of anthropogenic air pollution due to its harmful health effects, its role in the formation of secondary particulate [...] Read more.
Nitrogen dioxide (NO2) is a short-lived atmospheric pollutant primarily emitted by road traffic, maritime shipping, and industrial combustion. It is a key indicator of anthropogenic air pollution due to its harmful health effects, its role in the formation of secondary particulate matter, and its strong association with other traffic-related pollutants. Elevated NO2 concentrations are closely linked to respiratory and cardiovascular diseases, with children and elderly populations being particularly vulnerable due to physiological susceptibility and exposure patterns. This study uses satellite-based remote sensing data to assess the spatial and temporal variability of NO2 concentrations in the Lithuanian coastal zone and adjacent marine areas. The analysis focuses on identifying spatial patterns of NO2 concentration distribution, localized pollution hotspots, and their relationships with population distribution. Correlation analysis for the 2022–2024 period revealed a statistically significant negative relationship between NO2 concentrations and distance from the coastline in inland areas, whereas no statistically significant relationship was observed offshore. NO2 concentrations at 0 m and 50 m were strongly positively correlated across all spatial domains and seasons (r > 0.98, p < 0.001), indicating consistent vertical spatial patterns. Annual mean NO2 concentrations were also strongly positively associated with population density (r = 0.81). Full article
(This article belongs to the Section Air, Climate Change and Sustainability)
Show Figures

Figure 1

16 pages, 273 KB  
Article
The Medium’s Agenda or the Audience’s Clicks? Tensions Between Editorial Lines and Audience Interests According to the Editors of Digital Media in Chile
by Francisca Greene González, Eduardo Gallegos Krause and Cristian Muñoz Catalán
Journal. Media 2026, 7(1), 57; https://doi.org/10.3390/journalmedia7010057 - 13 Mar 2026
Viewed by 228
Abstract
This study examines the tension between audience interests and editorial lines in the major national and regional digital media outlets in Chile. It analyzes how editors incorporate metrics and user feedback into content selection and prioritization processes. The sample included the five websites [...] Read more.
This study examines the tension between audience interests and editorial lines in the major national and regional digital media outlets in Chile. It analyzes how editors incorporate metrics and user feedback into content selection and prioritization processes. The sample included the five websites with the largest national reach according to the 2024 ComScore ranking (El Mercurio Online, BioBioChile, La Tercera, Megamedia and Chilevisión), along with digital media outlets from the country’s five most populous cities without counting the capital (La Serena, Rancagua, Antofagasta, Valparaíso, and Temuco). Semi-structured interviews were conducted with directors or editors to assess whether the use of metrics influences journalistic judgment and editorial autonomy. Data were analyzed through a thematic analysis, combining categories drawn from the literature with emergent codes. The findings indicate that audience feedback affects editorial decision-making, although to varying degrees depending on the type of outlet. In national newspapers, a fiduciary vision is more firmly sustained due to greater financial capacity, albeit with internal tensions. In contrast, regional media outlets face greater challenges in maintaining their editorial line in the face of metrics, as lower economic stability and dependence on digital traffic tend to favor dynamics closer to a market-driven model. Although the findings are based on professional discourse and do not include direct observation of production routines, the comparison between national and regional media offers a cross-cutting perspective on editorial autonomy within the Chilean digital media ecosystem, an area that remains underexplored in the country. Overall, the study shows that metrics place pressure on both editorial policy and journalistic practices by requiring a continuous balancing of professional judgment and real-time audience behavior. Full article
22 pages, 2888 KB  
Article
Bayesian Hyperparameter Optimization of GRU and LSTM Models for Short-Term Traffic Flow Prediction: A Case Study of Globe Roundabout in Saudi Arabia
by Sara Atef, Siraj Zahran and Ahmed Karam
Appl. Syst. Innov. 2026, 9(3), 57; https://doi.org/10.3390/asi9030057 - 10 Mar 2026
Viewed by 382
Abstract
Accurate short-term traffic flow prediction is vital for effective signal control and sustainable urban mobility. Deep learning models, such as the Gated Recurrent Unit (GRU) and Long Short-Term Memory (LSTM) networks, have demonstrated strong capability in modelling temporal traffic dynamics. However, the influence [...] Read more.
Accurate short-term traffic flow prediction is vital for effective signal control and sustainable urban mobility. Deep learning models, such as the Gated Recurrent Unit (GRU) and Long Short-Term Memory (LSTM) networks, have demonstrated strong capability in modelling temporal traffic dynamics. However, the influence of their architectural and hyperparameter configurations remains underexplored. This study proposes a systematic methodology to assess the impact of hyperparameter optimization on GRU and LSTM models for predicting traffic flow at a signalized intersection. The methodology is evaluated using minute-level traffic data from the Globe Roundabout in Jeddah, Saudi Arabia. Bayesian optimization is applied to identify the best-performing hyperparameters. The results show that the optimized GRU model achieves a Root Mean Square Error (RMSE) of 0.0953, representing a 90.2% improvement compared to the baseline GRU (RMSE ≈ 0.969). Likewise, the optimized LSTM model attains an RMSE of 0.0960, corresponding to an 85.2% improvement relative to its baseline (RMSE ≈ 0.648). Similar gains are observed for the Mean Absolute Error. Visual analysis further shows that optimized models reduce smoothing bias, enhance the tracking of transient fluctuations, and produce stable, low-variance residuals. The findings demonstrate that hyperparameter optimization substantially improves predictive accuracy while preserving computational efficiency, enabling lightweight recurrent architectures to perform at a level comparable to more complex models. Full article
Show Figures

Figure 1

29 pages, 4481 KB  
Article
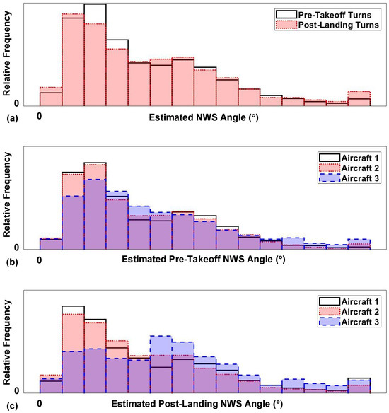
Deriving Occurrence Variability in Fatigue Critical Turning Manoeuvres for Landing Gear Design from Air Traffic Data
by Joshua Hoole, Shashidhar Ramachandra, Julian Booker and Jonathan Cooper
Aerospace 2026, 13(3), 257; https://doi.org/10.3390/aerospace13030257 - 10 Mar 2026
Viewed by 187
Abstract
The safety-critical nature of aircraft landing gear has led to interest in Structural Health Monitoring (SHM) and Remaining Useful Life (RUL) methodologies for the fatigue substantiation of landing gear assemblies. Due to the engineering effort that can be required to implement such approaches, [...] Read more.
The safety-critical nature of aircraft landing gear has led to interest in Structural Health Monitoring (SHM) and Remaining Useful Life (RUL) methodologies for the fatigue substantiation of landing gear assemblies. Due to the engineering effort that can be required to implement such approaches, it is prudent to target SHM and RUL activities at specific aircraft fleets. This paper employs air traffic data in the form of Automatic Dependent Surveillance-Broadcast (ADS-B) data to characterise the occurrence and severity of ground turns performed across fleets of differing aircraft type, location and operator characteristics. From the evaluation of 3250 flights, it was observed at the fleet level that ground turn characteristics show limited sensitivity to the aircraft’s geographical location and operator characteristics, excluding cargo aircraft and those operated by Ultra-Low-Cost Carriers. However, assessment of individual aircraft highlighted that the occurrence rate of fatigue-critical pivot turns can exceed twice that of the remaining aircraft fleet, suggesting that SHM and RUL activities should be focused on aircraft that deviate significantly from the expected fleet-wide behaviour. Finally, this paper presents an initial investigation into inferring the Nose Wheel Steering angle provided from Quick Access Recorder flight data directly from ADS-B trajectories. Full article
(This article belongs to the Special Issue Advances in Landing Systems Engineering)
Show Figures

Figure 1

27 pages, 4887 KB  
Article
Urban Freight in Casablanca: Congestion, Emissions, and Welfare Losses from Large-Scale Simulation-Based Dynamic Assignment
by Amine Mohamed El Amrani, Mouhsene Fri, Othmane Benmoussa and Naoufal Rouky
Smart Cities 2026, 9(3), 48; https://doi.org/10.3390/smartcities9030048 - 10 Mar 2026
Viewed by 291
Abstract
Urban business-to-business distribution in Casablanca relies heavily on light commercial vehicles (LCVs) operating in a constrained street environment where loading/unloading access, intersection capacity, and recurring bottlenecks jointly shape performance and environmental impacts. However, high-resolution freight origin–destination (OD) observations and junction calibration data are [...] Read more.
Urban business-to-business distribution in Casablanca relies heavily on light commercial vehicles (LCVs) operating in a constrained street environment where loading/unloading access, intersection capacity, and recurring bottlenecks jointly shape performance and environmental impacts. However, high-resolution freight origin–destination (OD) observations and junction calibration data are limited, which complicates direct estimations of congestion and externalities attributable to commercial activity. This study develops a reproducible, large-scale modeling workflow that couples tour-based freight demand generation in order units with simulation-based traffic assignment (SBA) on a metropolitan network and translates network performance into emissions and monetary losses. Warehouses are modeled as primary producers and commercial activity zones as attractors via sector-tagged production and attraction functions; the resulting order distribution is converted to OD vehicle trips using the tour-based trip generation procedure with the mean targets-per-tour fixed to one to ensure numerical stability, yielding a direct-shipment approximation appropriate for stress–response analysis. Junction impedance is represented through turn-type volume–delay relationships and node-level impedance procedures, and congestion is evaluated using vehicle kilometers traveled/vehicle hours traveled (VKT/VHT)-based indicators, delay-intensity measures, and link/node bottleneck rankings. Across demand-scaling scenarios, VKT increases from 302,159 to 1,017,686 veh·km/day, while network delay rises nonlinearly from 392.5 to 2738.4 veh·h/day, indicating saturation-driven amplification of time losses. The Handbook of Emission Factors for Road Transport (HBEFA)-compatible emission estimates scale with activity: total carbon dioxide (CO2) increases from 154.1 to 519.5 t/day, and nitrogen oxides (NOx) and particulate matter (PM2.5) totals rise proportionally under fixed fleet assumptions. Monetizing delay with a purchasing-power-adjusted value-of-time range yields a congestion cost per trip that increases from approximately 0.20 to 0.41 Moroccan dirham, MAD/trip (at 60 MAD/veh·h), consistent with rising delay intensity. Bottleneck extraction shows welfare losses to be structurally concentrated on a small persistent corridor set, led by ‘Boulevard de la Résistance’, with recurrent hotspots including ‘Rue d’Arcachon’ and ‘Rue d’Ifni’. The framework supports policy-relevant reporting of congestion, emissions, and welfare impacts under data scarcity, with explicit sensitivity bounds. Full article
(This article belongs to the Special Issue Cost-Effective Transportation Planning for Smart Cities)
Show Figures

Figure 1

27 pages, 2940 KB  
Article
A Unified Framework for Vehicle Detection, Tracking, and Counting Across Ground and Aerial Views Using Knowledge Distillation with YOLOv10-S
by Md Rezaul Karim Khan and Naphtali Rishe
Remote Sens. 2026, 18(5), 842; https://doi.org/10.3390/rs18050842 - 9 Mar 2026
Viewed by 363
Abstract
Accurate and reliable vehicle detection, tracking, and counting across different surveillance platforms are fundamental requirements for developing smart Traffic Management Systems (TMS) and promoting sustainable urban mobility. Recent advances in both ground-level surveillance and remote sensing using deep learning have opened new opportunities [...] Read more.
Accurate and reliable vehicle detection, tracking, and counting across different surveillance platforms are fundamental requirements for developing smart Traffic Management Systems (TMS) and promoting sustainable urban mobility. Recent advances in both ground-level surveillance and remote sensing using deep learning have opened new opportunities for extracting detailed vehicular information from high-resolution aerial and surveillance video data. Our research reported here aims to present a unified, real-time vehicle analysis framework that integrates lightweight deep learning–based detection, robust multi-object tracking, and trajectory-driven counting within a single modular pipeline. The proposed framework employs a “You Only Look Once” system, YOLOv10-S as the detection backbone and enhances its robustness through supervision-level knowledge distillation without introducing any architectural modifications. Temporal consistency is enforced using an observation-centric multi-object tracking algorithm (OC-SORT), enabling stable identity preservation under camera motion and dense traffic conditions. Vehicle counting is performed using a trajectory-based virtual gate strategy, reducing duplicate counts and improving counting reliability. Comprehensive experiments conducted on the UA-DETRAC and VisDrone benchmarks show that the proposed framework effectively balances detection performance, tracking robustness, counting accuracy, and real-time efficiency in both ground-based and aerial surveillance settings. Furthermore, cross-dataset evaluations under direct train–test transfer highlight the inherent challenges of domain shift while showing that knowledge distillation consistently improves robustness in detection, tracking identity consistency, and vehicle counting. Overall, this framework enables effective real-world traffic monitoring by adopting a scalable and practical system design, where reliability is prioritized over architectural complexity. Full article
(This article belongs to the Section Urban Remote Sensing)
Show Figures

Figure 1

23 pages, 2990 KB  
Article
Forecasting-Aware Digital Twin Calibration for Reliable Multi-Horizon Traffic Prediction
by Zeyad AlJundi, Taqwa A. Alhaj, Fatin A. Elhaj, Inshirah Idris and Tasneem Darwish
Network 2026, 6(1), 13; https://doi.org/10.3390/network6010013 - 6 Mar 2026
Viewed by 311
Abstract
Digital twin systems are becoming an important tool in intelligent transportation management, as they provide simulation-based environments for monitoring, analyzing, and predicting traffic behavior. However, the predictive performance of traffic digital twins is often limited by the quality and temporal consistency of sensor-level [...] Read more.
Digital twin systems are becoming an important tool in intelligent transportation management, as they provide simulation-based environments for monitoring, analyzing, and predicting traffic behavior. However, the predictive performance of traffic digital twins is often limited by the quality and temporal consistency of sensor-level data generated from microscopic simulations. Most current calibration methods focus mainly on matching macroscopic traffic indicators, such as vehicle count and speed, without explicitly addressing the requirements of multi-horizon forecasting. This creates a gap between achieving realistic simulations and building reliable predictive models. This research proposes a forecasting-aware digital traffic twin framework that integrates microscopic SUMO simulation, controlled sensor-level observation modeling through geometric misalignment and noise injection, behavioral calibration, and deep temporal forecasting within a unified end-to-end structure. Unlike traditional calibration approaches, the proposed Genetic Algorithm (GA) reformulates calibration as a multi-step predictive optimization task. Simulation parameters are optimized by minimizing forecasting error produced by a lightweight proxy sequence model embedded within the calibration loop. In this way, calibration moves beyond simple statistical matching and instead emphasizes temporal learnability and forecasting stability, enabling the digital twin to generate traffic patterns more suitable for long-term prediction. Based on the calibrated traffic time series, both convolutional and recurrent deep learning models are evaluated under single-step and multi-step forecasting scenarios. To further examine generalizability, external validation is performed using the real-world PEMS-BAY dataset. The experimental findings demonstrate that forecasting-aware calibration reduces macroscopic traffic signal errors by around 50% for vehicle count and around 40% for average speed, improves temporal stability, and significantly enhances forecasting accuracy across both short-term and long-term horizons. Full article
(This article belongs to the Special Issue Emerging Trends and Applications in Vehicular Ad Hoc Networks)
Show Figures

Figure 1

16 pages, 847 KB  
Article
Environmental Surveillance of Norovirus RNA in Restaurant Settings: Cleaning Materials as Primary Viral Reservoirs
by Einas A. Osman, Ahmed Al-Gafri, Abrar Albahri, Tasabih M. Saifeldin, Ayat Zawateieh, Safa. A. Abdelrahman and Emad I. Hussein
Int. J. Environ. Res. Public Health 2026, 23(3), 321; https://doi.org/10.3390/ijerph23030321 - 4 Mar 2026
Viewed by 396
Abstract
Background: Norovirus is the leading cause of viral gastroenteritis globally, with environmental persistence contributing significantly to transmission dynamics. Despite the recognized burden in the Middle East, systematic environmental surveillance data from restaurant settings remain critically limited, particularly regarding the role of cleaning materials [...] Read more.
Background: Norovirus is the leading cause of viral gastroenteritis globally, with environmental persistence contributing significantly to transmission dynamics. Despite the recognized burden in the Middle East, systematic environmental surveillance data from restaurant settings remain critically limited, particularly regarding the role of cleaning materials as reservoirs for viruses. Middle East region. Methods: A cross-sectional environmental surveillance study was conducted across 20 restaurants in Muscat and A’Sharqiyah regions, Oman (September 2020–August 2021). Forty environmental samples comprising 20 dishcloths and 20 tabletop swabs were collected from diverse restaurant types. Viral RNA was extracted using QIA amp Viral RNA MiniKit and analyzed using real-time RT-PCR following ISO/TS 15216-1:2017 protocols with genogroup-specific primers. Results: Norovirus RNA was detected in 4 of 40 samples (10%, 95% CI: 2.8–23.7%) with higher prevalence on dishcloths (3/20, 15%, 95% CI: 3.2–37.9%) versus tabletops (1/20, 5%, 95% CI: 0.1–24.9%). All positive samples were genogrouped II with cycle threshold values of 31.8–36.2. Positive samples originated from three restaurants in high-traffic urban areas, with fast-food establishments showing the highest contamination. Field observations revealed substandard 41 sanitation practices, including frequent dishcloth reuse without disinfection. Conclusions: This paper fills a gap in the current body of knowledge by offering initial systematized evidence on norovirus contamination of the environment in restaurants within the Gulf region. The results indicate that cleaning things, especially the dishwasher cloths, are the main viral reservoirs, and the contamination rates are three times higher than food-containing surfaces. These results underscore the urgent need for enhanced sanitation protocols that specifically target cleaning implements rather than surfaces alone and emphasize the importance of routine environmental surveillance in understanding and interrupting norovirus transmission dynamics in food service settings. Full article
(This article belongs to the Section Environmental Health)
Show Figures

Figure 1

Back to TopTop