Sign in to use this feature.

Years

Between: -

Subjects

remove_circle_outline
remove_circle_outline
remove_circle_outline
remove_circle_outline
remove_circle_outline
remove_circle_outline
remove_circle_outline
remove_circle_outline
remove_circle_outline

Journals

remove_circle_outline
remove_circle_outline
remove_circle_outline
remove_circle_outline
remove_circle_outline
remove_circle_outline

Article Types

Countries / Regions

remove_circle_outline
remove_circle_outline
remove_circle_outline
remove_circle_outline

Search Results (766)

Search Parameters:
Keywords = tip blade

Order results
Result details
Results per page
Select all
Export citation of selected articles as:
21 pages, 2974 KB  
Article
Dynamics of Drone Blades Based on Polymer Nanocomposites Incorporating Graphene, Carbon Nanotube, and Fullerene
by Workineh G. Gomera, Tomasz Tański and Jung Yong Kim
Polymers 2026, 18(6), 778; https://doi.org/10.3390/polym18060778 - 23 Mar 2026
Abstract
Polymer nanocomposites offer significant potential for improving the strength-to-weight ratio and dynamic behavior of drone blades. This study examines the vibration characteristics of tapered aramid (Kevlar)/epoxy composite blades reinforced with nanocarbon fillers—graphene (2D), multi-walled carbon nanotubes (MWCNTs, 1D), and fullerene (0D)—to determine the [...] Read more.
Polymer nanocomposites offer significant potential for improving the strength-to-weight ratio and dynamic behavior of drone blades. This study examines the vibration characteristics of tapered aramid (Kevlar)/epoxy composite blades reinforced with nanocarbon fillers—graphene (2D), multi-walled carbon nanotubes (MWCNTs, 1D), and fullerene (0D)—to determine the most effective filler for enhancing stiffness and operational stability. The laminated blades (300 mm length, 200 mm width, root thickness 13 mm, tip thickness 8 mm) incorporate ply drop-offs and a central honeycomb core. Modeling was performed using classical laminate plate theory integrated with the finite element method (FEM) in MATLAB (R2016a). Under clamped–free–free–free boundary conditions, the study considered rotational speeds of 750–2250 rpm, setting angles of 30–60°, various fiber orientations, and nanofiller contents of 0–10 wt.%. The results indicate that while the setting angle minimally affects natural frequency, it significantly influences damping in modes (1,2) and (2,1). Increasing nanofiller content improves stiffness, with optimal performance observed near 5 wt.%. At 1500 rpm in mode (1,1), MWCNTs provided the greatest enhancement. Overall, MWCNTs exhibited superior stiffness improvement and rotational stability compared to other fillers. Full article
(This article belongs to the Section Polymer Composites and Nanocomposites)
Show Figures

Graphical abstract

16 pages, 2597 KB  
Article
Impact of De-Icing Coatings and Ice Accretion on Wind Turbine Performance
by Guangcheng Gu, Pei Li, Danqing Jiang, Zhean Bao, Jie Wang, Zhiliang Xue and Yonggang Zhou
Energies 2026, 19(6), 1587; https://doi.org/10.3390/en19061587 - 23 Mar 2026
Abstract
Wind power has experienced rapid development due to its renewable advantages. To address the performance degradation of wind turbines caused by icing in alpine regions, this study integrates field testing and numerical simulation to analyze three key aspects for a 1.5 MW turbine: [...] Read more.
Wind power has experienced rapid development due to its renewable advantages. To address the performance degradation of wind turbines caused by icing in alpine regions, this study integrates field testing and numerical simulation to analyze three key aspects for a 1.5 MW turbine: the underlying mechanism of icing impact, the effect of a de-icing coating on performance during ice-free operation, and the coating’s efficacy under active icing conditions. Results show that ice accretion causes a 25% power loss, induces severe flow separation and vortex shedding, and shifts the separation point forward to 15% chord length. Under ice-free conditions at an average wind speed of 8.3 m/s, the de-icing coating introduces a negligible power deviation of only 0.4%. In extreme cold, ice thickness on the coated blade section was measured at just 4.86 cm. The research demonstrates that de-icing the outer 10 m blade tip section substantially improves performance and confirms that the coating has a minimal aerodynamic footprint during normal operation while providing effective ice mitigation. These findings offer a scientific foundation for optimizing de-icing techniques and support the broader application of such coatings for wind turbines in cold climates. Full article
Show Figures

Figure 1

26 pages, 8282 KB  
Article
Numerical Analysis of Composite Wind Turbine Blade Dynamics Under Shutdown Fault Scenarios
by Tianyi Wang, Zhihong Chen and Jiangfan Zhang
Processes 2026, 14(6), 1021; https://doi.org/10.3390/pr14061021 - 23 Mar 2026
Abstract
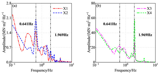
To ensure the safety and structural integrity of composite flexible blades under strong winds, this study investigates the extreme aeroelastic responses of the IEA 15 MW wind turbine blade during an emergency shutdown with pitch system faults. Existing studies often rely on simplified [...] Read more.
To ensure the safety and structural integrity of composite flexible blades under strong winds, this study investigates the extreme aeroelastic responses of the IEA 15 MW wind turbine blade during an emergency shutdown with pitch system faults. Existing studies often rely on simplified models or one-way coupling; we adopt a bidirectional computational fluid dynamics–finite element method (CFD–FEM) fluid–structure interaction (FSI) framework to examine how wind speed and pitch system faults affect aerodynamic loads, displacement responses, and structural stresses when the blade is shut down in a parked-upwind condition. The results reveal that, under the no-pitch condition, the blade experiences extreme loading, with thrust being approximately 15 times higher and the peak stress being 8.6 times that of the pitch condition. Furthermore, a high frequency of 1.969 Hz emerges, significantly increasing the risk of aeroelastic instability as the wind speed increases or under the no-pitch condition. A stress analysis identified that high stress is mainly located in the main spar region, with the peak stress location shifting closer to the blade root under the no-pitch condition. This study highlights the potential risks of composite flexible blades during shutdowns and provides a reference for structural safety design and targeted monitoring. Full article
(This article belongs to the Special Issue Fiber-Reinforced Composites: Latest Advances and Interesting Research)
Show Figures

Figure 1

19 pages, 2091 KB  
Article
An Investigation of Atmospheric Icing Effects on Wind Turbine Blade Aerodynamics and Power Output: A Case Study of the NREL 5 MW Turbine
by Berkay Öztürk and Eyup Koçak
Appl. Sci. 2026, 16(6), 2991; https://doi.org/10.3390/app16062991 - 20 Mar 2026
Viewed by 10
Abstract
This study presents a numerical investigation of the effects of atmospheric icing on the aerodynamic performance and power output of the NREL 5 MW reference wind turbine. In cold climate regions, ice accretion on wind turbine blades significantly alters the airfoil geometry, leading [...] Read more.
This study presents a numerical investigation of the effects of atmospheric icing on the aerodynamic performance and power output of the NREL 5 MW reference wind turbine. In cold climate regions, ice accretion on wind turbine blades significantly alters the airfoil geometry, leading to aerodynamic degradation characterized by increased drag, reduced lift, and substantial power losses. Understanding these effects is therefore essential for reliable performance prediction and efficient turbine operation under icing conditions. To address this problem, numerical simulations were conducted on six representative blade sections using the FENSAP-ICE framework, which integrates flow field calculations, droplet transport, and ice accretion modeling within a unified computational environment. The analyses were performed under different atmospheric icing conditions, considering liquid water content values of 0.22 g/m3 and 0.50 g/m3 and ambient temperatures of −2.5 °C and −10 °C. The median volumetric diameter was fixed at 20 µm, and the icing duration was set to one hour for all cases, allowing for both glaze and rime ice formations to be systematically examined. The results reveal that ice accretion becomes increasingly pronounced toward the blade tip, mainly due to higher relative velocities and increased collection efficiency in the outer sections. Glaze icing conditions produce irregular horn-shaped ice formations and lead to severe aerodynamic degradation, whereas rime ice forms more compact structures near the leading edge and results in comparatively lower performance losses. The degraded aerodynamic coefficients obtained from the iced airfoils were subsequently incorporated into BEM-based power calculations, indicating that total power losses can reach up to 40% under severe icing conditions, with the outer blade sections contributing most significantly to this reduction. Furthermore, an economic assessment based on annual energy losses highlights the substantial impact of atmospheric icing on wind turbine performance and operational costs. Full article
(This article belongs to the Section Mechanical Engineering)
Show Figures

Figure 1

20 pages, 53644 KB  
Article
Comparative Study on Aerodynamic Performance of VAWTs with Different Airfoils Under Dimple-Gurney Flap Synergistic Control
by Tao Jiang, Qiuyun Mo, Liqi Luo, Weihao Liu, Yinglei Zhao and Changhao Qiu
Appl. Sci. 2026, 16(6), 2882; https://doi.org/10.3390/app16062882 - 17 Mar 2026
Viewed by 108
Abstract
The combined control method of dimples and Gurney flaps has proven effective in enhancing the power coefficient of Vertical Axis Wind Turbines (VAWTs). However, the adaptability of this combined control structure to different airfoil geometries remains unclear. This paper investigates the aerodynamic characteristics [...] Read more.
The combined control method of dimples and Gurney flaps has proven effective in enhancing the power coefficient of Vertical Axis Wind Turbines (VAWTs). However, the adaptability of this combined control structure to different airfoil geometries remains unclear. This paper investigates the aerodynamic characteristics of the Toward-Outside Dimple-Gurney Flap (TO-DGF) on three typical airfoils: NACA0021, NACA0012, and S1046. A dynamic flow field prediction model was established using the Lattice Boltzmann Method (LBM) combined with Wall-Modeled Large Eddy Simulation (WMLES). The Taguchi experimental design was employed to analyze the sensitivity of aerodynamic performance to airfoil type, Gurney flap position, and Gurney flap height. The results indicate that the airfoil type is the most critical factor affecting the power coefficient CP, contributing significantly to the performance variance. Specifically, the NACA0021 airfoil demonstrated optimal performance in suppressing dynamic stall. Furthermore, the optimal DGF position varies with the tip speed ratio (TSR): placing the structure at 0.05C and 0.15C from the trailing edge yields the best aerodynamic performance for low (TSR = 1.5) and medium (TSR = 2.4) TSRs, respectively. This study provides a valuable reference for the structural design of high-efficiency VAWT blades within the investigated TSR range. Full article
Show Figures

Figure 1

21 pages, 5280 KB  
Article
Experimental and Numerical Validation of a Fully Composite Permanent Coupling for Segmented Wind Turbine Blades
by Francisco Javier Santander-Bastida, Vignaud Granados-Alejo, Pedro Yáñez-Contreras and Ismael Ruíz-López
Appl. Sci. 2026, 16(6), 2824; https://doi.org/10.3390/app16062824 - 15 Mar 2026
Viewed by 185
Abstract
The structural segmentation of wind turbine blades offers advantages in transportation, manufacturing, and maintenance; however, it introduces interfaces that may compromise load transfer and fatigue performance. This study presents the experimental and numerical validation of a composite coupling system designed for small wind [...] Read more.
The structural segmentation of wind turbine blades offers advantages in transportation, manufacturing, and maintenance; however, it introduces interfaces that may compromise load transfer and fatigue performance. This study presents the experimental and numerical validation of a composite coupling system designed for small wind turbine blades compliant with IEC 61400-2 requirements. A 2 m representative section extracted from the mid-span region of a 9 m blade was manufactured using vacuum-assisted resin infusion and tested under static loading conditions. A detailed finite element model based on classical laminate theory and orthotropic material properties was developed to predict structural response. Experimental measurements showed a maximum tip deflection of 15 mm under the applied load, compared to 13.76 mm predicted numerically, corresponding to a deviation of 8.9%. Surface strain measurements obtained from eight strain gauges installed across the blade–coupling interface indicated maximum mean values of +632.4 με in tension and −664.2 με in compression, with no evidence of localized strain amplification at the instrumented locations. These findings demonstrate that fully composite permanent segmentation can preserve stiffness continuity while maintaining strain levels below reported fatigue initiation thresholds, supporting the structural feasibility of segmented blade architectures for small wind turbine applications. Full article
(This article belongs to the Topic Numerical Simulation of Composite Material Performance)
Show Figures

Figure 1

17 pages, 4890 KB  
Article
From Qualitative Localisation to Quantitative Verification: Integrating Active IR Thermography and Laser Scanning in Wind Turbine Blade Inspection
by Adam Stawiarski
Materials 2026, 19(6), 1107; https://doi.org/10.3390/ma19061107 - 12 Mar 2026
Viewed by 179
Abstract
A coupled non-destructive testing (NDT) workflow is proposed that integrates active infrared thermography (IRT) with laser-scanning-based reverse engineering (RE) to increase the reliability of detecting and interpreting damage in composite wind turbine blades across laboratory specimens and real components. IRT provides rapid, image-based [...] Read more.
A coupled non-destructive testing (NDT) workflow is proposed that integrates active infrared thermography (IRT) with laser-scanning-based reverse engineering (RE) to increase the reliability of detecting and interpreting damage in composite wind turbine blades across laboratory specimens and real components. IRT provides rapid, image-based qualitative localisation of potential anomalies, while 3D scan analysis supplies quantitative, geometry-aware verification and measurement of defect magnitude, reducing both false positives (design-related thermal signatures) and false negatives (weak thermal contrast). On polystyrene-filled profiles, IRT alone produced thermal anomalies unrelated to delamination; co-registered scan maps identified or ruled out local indentation, correctly attributing heat-flow patterns to internal design rather than damage. Outcome: the fused method disambiguates thermal indications and quantifies defect magnitude. On a vertical-axis wind turbine (VAWT) blade, the integration distinguished genuine geometric change from architectural effects under unknown internal structure and without CAD/reference scans, preventing false calls. For three horizontal-axis wind turbine (HAWT) blades, fleet-level scan comparison detected a significant tip deviation despite no clear local IRT anomalies, demonstrating complementary roles: scan = global quantitative homogeneity; and IRT = local qualitative verification. These findings operationalise thermal–geometric cross-validation and outline a path toward UAV-enabled inspections combining passive IRT and laser scanning for hard-to-access structures under real environmental conditions. Full article
Show Figures

Figure 1

20 pages, 3358 KB  
Article
CFD Simulation of a Vertical-Axis Savonius-Type Micro Wind Turbine Using Meteorological Data from an Educational Environment
by José Cabrera-Escobar, Carlos Mauricio Carrillo Rosero, César Hernán Arroba Arroba, Santiago Paúl Cabrera Anda, Catherine Cabrera-Escobar and Raúl Cabrera-Escobar
Clean Technol. 2026, 8(2), 40; https://doi.org/10.3390/cleantechnol8020040 - 12 Mar 2026
Viewed by 294
Abstract
This study presents a two-dimensional computational fluid dynamics analysis of a vertical-axis Savonius-type wind turbine under atmospheric conditions representative of an educational environment located in the Ecuadorian Andean region. Unlike previous studies conducted under sea-level meteorological conditions, this research is performed under high-altitude [...] Read more.
This study presents a two-dimensional computational fluid dynamics analysis of a vertical-axis Savonius-type wind turbine under atmospheric conditions representative of an educational environment located in the Ecuadorian Andean region. Unlike previous studies conducted under sea-level meteorological conditions, this research is performed under high-altitude conditions (2723 m a.s.l.). The unsteady flow around the rotor was simulated using a two-dimensional approach based on the Unsteady Reynolds-Averaged Navier–Stokes (URANS) equations, discretized with the finite volume method and coupled with the k–ω Shear Stress Transport (SST) turbulence model. The rotor rotation was modeled using sliding mesh technique, employing a second-order implicit time scheme to ensure numerical stability and adequate temporal resolution. The numerical model was configured for a tip speed ratio of 0.8 and a wind speed of 3.9 m/s. The time step was defined based on a constant angular advancement of the rotor per time iteration, ensuring numerical stability and adequate temporal resolution. The aerodynamic torque was obtained by integrating the pressure and viscous forces acting on the blades, allowing the calculation of the mechanical power generated and the power coefficient. The results showed a periodic and stable torque behavior after the initial transient cycles, yielding an average torque of 0.7687 N·m and a mechanical power of 5.17 W, while the power coefficient reached a value of 0.2102. Analysis of the flow fields revealed the formation of a low-velocity wake downstream of the rotor, regions of high turbulent kinetic energy associated with periodic vortex shedding, and a significant pressure difference between the advancing and returning blades, confirming that turbine operation is dominated by drag forces. The numerical results were validated through comparison with previous studies, showing good agreement and demonstrating the reliability of the proposed Computational Fluid Dynamics (CFD) approach. This study highlights the potential of Savonius turbines for low-power applications in urban and educational environments, as well as the usefulness of CFD as a tool for evaluating and optimizing their aerodynamic performance. Full article
Show Figures

Figure 1

23 pages, 7910 KB  
Article
Energy-Harvesting Performance of Twin-Rotor Vertical-Axis Wind Turbines with Phase Interference Under Different Solidities
by Miankui Wu, Renwei Ji, Peng Dou, Chenghang Gao, Yuquan Zhang, Jianhua Zhang, Linfeng Chen and Emmanuel Fernandez-Rodriguez
J. Mar. Sci. Eng. 2026, 14(5), 508; https://doi.org/10.3390/jmse14050508 - 8 Mar 2026
Viewed by 329
Abstract
This paper aims to investigate the aerodynamic variation patterns of twin-rotor vertical-axis wind turbines (TR-VAWTs) considering phase interference under different solidities, and to reveal the interactive mechanism between solidity, phase interference, and aerodynamic loads of TR-VAWTs. This paper first establishes a phase interference [...] Read more.
This paper aims to investigate the aerodynamic variation patterns of twin-rotor vertical-axis wind turbines (TR-VAWTs) considering phase interference under different solidities, and to reveal the interactive mechanism between solidity, phase interference, and aerodynamic loads of TR-VAWTs. This paper first establishes a phase interference aerodynamic analysis model for TR-VAWTs based on two-dimensional computational fluid dynamics (CFD) methods. Secondly, experimental results are used to verify the accuracy of the numerical model. Finally, the variation patterns of aerodynamic forces and wake characteristics of TR-VAWTs under different parameters (solidity, initial phase angle) are explored. The results show that: (1) Each turbine of the side-by-side TR-VAWTs exhibits an increase in the energy utilization coefficient (CP) in comparison with a single rotor. (2) The phase angle exhibits similar influence patterns on the efficiency of TR-VAWTs with different solidities. As the phase angle varies within the range of 30° to 60°, the efficiencies of rotor 1 and rotor 2 under medium-to-high tip speed ratios are both improved, while within the range of 60° to 90°, the efficiencies of each rotor generally decrease. (3) When TR-VAWTs with different solidities are at intermediate phase angles (90° for two blades, 60° for three blades, and 45° for four blades), the efficiencies of each rotor are basically consistent, which is conducive to power transmission. (4) If the intermediate phase angle is adopted as the reference configuration, the pressure influence on the turbines is minimized, which can not only make the power output more balanced but also improve the wake characteristics to a certain extent. Full article
(This article belongs to the Special Issue Advances in Marine Engineering Hydrodynamics, 2nd Edition)
Show Figures

Figure 1

24 pages, 2019 KB  
Article
Evaluating the Influence of Input Features for Data-Based Estimation of Wind Turbine Blade Deflections
by Marcos D. Saavedra, Fernando A. Inthamoussou and Fabricio Garelli
Processes 2026, 14(5), 831; https://doi.org/10.3390/pr14050831 - 4 Mar 2026
Viewed by 328
Abstract
The increasing scale and structural flexibility of modern wind turbine rotors have made real-time monitoring and active control of blade tip deflection a critical requirement for ensuring operational safety, particularly regarding blade-tower clearance. Since direct measurement through physical sensors is often impractical due [...] Read more.
The increasing scale and structural flexibility of modern wind turbine rotors have made real-time monitoring and active control of blade tip deflection a critical requirement for ensuring operational safety, particularly regarding blade-tower clearance. Since direct measurement through physical sensors is often impractical due to high costs, installation difficulties and maintenance challenges, this work proposes a data-based framework for out-of-plane blade tip deflection estimation. The approach introduces a systematic and hierarchical input selection framework that evaluates sensor signal groups, ranging from standard SCADA measurements to configurations including auxiliary nacelle/tower sensors and dedicated blade-root instrumentation. By combining Spearman correlation and spectral coherence, the proposed framework ensures consistent representation of key turbine dynamics across all operating regions. This framework provides a structured trade-off between implementation feasibility and estimation fidelity, enabling tailored solutions for applications such as structural health monitoring and safety-critical active control. Compact Feedforward Neural Network (FNN) and Time-Delay Neural Network (TDNN) architectures, whose hyperparameters are optimized via Bayesian optimization, are employed to achieve high estimation accuracy while preserving computational efficiency. Evaluated through high-fidelity aeroelastic simulations of the NREL 5 MW turbine using the industry-standard FAST (Fatigue, Aerodynamics, Structures, and Turbulence) tool across all operating conditions, the approach achieves R2=0.894 using SCADA-only inputs, R2=0.973 when augmented with nacelle and tower-top sensors and a peak fidelity of R2=0.989 using blade-root bending moment data. These results demonstrate that high-fidelity virtual sensing is attainable without blade instrumentation, providing a viable pathway for real-time tip clearance monitoring and fatigue mitigation. This directly enhances the operational resilience of wind energy systems and their contribution to the stability of renewable-dominated power grids. Full article
Show Figures

Figure 1

25 pages, 4054 KB  
Article
Performance Analysis and Power Prediction of Iced Wind Turbines Based on CFD-OpenFAST-Stacking
by Jinchao Wen, Yue Yu, Li Jia, Xuemao Guo and Yan Jin
Energies 2026, 19(5), 1194; https://doi.org/10.3390/en19051194 - 27 Feb 2026
Viewed by 223
Abstract
Blade icing in cold climates poses significant risks to operational stability and results in substantial power generation deficits. This study establishes and validates an integrated multiscale framework, CFD-OpenFAST-Stacking, to characterize the complex aeroelastic behavior of iced wind turbines and facilitate high-fidelity power forecasting. [...] Read more.
Blade icing in cold climates poses significant risks to operational stability and results in substantial power generation deficits. This study establishes and validates an integrated multiscale framework, CFD-OpenFAST-Stacking, to characterize the complex aeroelastic behavior of iced wind turbines and facilitate high-fidelity power forecasting. The methodology utilizes high-fidelity CFD to quantify the aerodynamic degradation of simulated iced airfoils. These data are subsequently coupled with the OpenFAST aeroelastic platform for full-scale turbine simulations to evaluate the system’s dynamic response. A Stacking ensemble learning model is developed by synthesizing these simulation results with historical SCADA data through an innovative data-fusion approach. Numerical findings indicate that icing severely compromises aerodynamic efficiency, inducing a 17.65% reduction in the maximum lift coefficient and a 34.07% escalation in drag at the aerodynamically sensitive blade tip. Consequently, the rated power point is shifted from 10.5 m/s to 13 m/s, with performance degradation most prominent in the low-to-medium wind speed regime. Model validation demonstrates that the data-fusion technique significantly improves predictive robustness, increasing the R2 from 0.75 to 0.84 while reducing the RMSE from 37.69 to 17.04. SHAP analysis further identifies generator speed and wind speed as the primary determinants of power variability. This research substantiates the efficacy of bridging physical simulations with data-driven methodologies, providing a robust theoretical framework for performance evaluation in extreme weather environments. Full article
Show Figures

Figure 1

23 pages, 3436 KB  
Article
Hydrodynamic Performance Analysis of Ship Propeller with Toroidal Boosted Appendage
by Dongqin Li, Tangyi Huang, Qian Gao, Xiangqian Bian and Zhengping Lu
J. Mar. Sci. Eng. 2026, 14(5), 410; https://doi.org/10.3390/jmse14050410 - 24 Feb 2026
Viewed by 205
Abstract
Hydrodynamic Energy-Saving Devices (ESDs) have become effective solutions to improve vessel operational efficiency in maritime applications. A novel toroidal boosted appendage which is installed behind the KP505 propeller, featuring an integrated self-driving turbine and closed-loop blade structure, is proposed to simultaneously enhance propulsion [...] Read more.
Hydrodynamic Energy-Saving Devices (ESDs) have become effective solutions to improve vessel operational efficiency in maritime applications. A novel toroidal boosted appendage which is installed behind the KP505 propeller, featuring an integrated self-driving turbine and closed-loop blade structure, is proposed to simultaneously enhance propulsion efficiency, rectify wake non-uniformity, and mitigate vortex-induced energy losses. High-fidelity Computational Fluid Dynamics (CFD) simulations are conducted to evaluate the hydrodynamic performance of the device, aiming to minimize side effects such as the generated tip vortices and pressure pulses. Based on the STAR-CCM+ software, the Realizable kε turbulence model is adopted to simulate the flow fields of the propeller with and without the novel appendage. This paper focuses on investigating the influence of the new appendage on the propeller’s propulsion performance and conducts open-water performance prediction and wake field comparative analysis under different advance coefficients. The results show that the new appendage significantly improves the wake situation behind the propeller disk, changing from diffusion-flow to constriction-flow and achieving a uniform distribution of the wake field. The propulsion efficiency is increased by up to 7.453% at the design advance coefficient, and the novel toroidal boosted appendage is confirmed to have the potential to enhance the hydrodynamic performance of the propeller. Full article
(This article belongs to the Special Issue Advances in High-Efficiency Marine Propulsion Systems)
Show Figures

Figure 1

24 pages, 23026 KB  
Article
Rain Erosion Atlas of Wind Turbine Blades for Japan Based on Long-Term Meteorological and Climate Dataset CRIEPI-RCM-Era2
by Eiji Sakai, Atsushi Hashimoto, Kazuki Nanko, Toshihiko Takahashi, Hiroyuki Nishida, Hidetoshi Tamura, Yasuo Hattori and Yoshikazu Kitano
Wind 2026, 6(1), 7; https://doi.org/10.3390/wind6010007 - 10 Feb 2026
Viewed by 291
Abstract
Leading-edge erosion of wind turbine blades caused by repeated raindrop impingement can significantly reduce power output and increase maintenance costs. This study develops a rain erosion atlas for Japan over 11 years from 2006 to 2016 based on the CRIEPI-RCM-Era2 dataset. The NREL [...] Read more.
Leading-edge erosion of wind turbine blades caused by repeated raindrop impingement can significantly reduce power output and increase maintenance costs. This study develops a rain erosion atlas for Japan over 11 years from 2006 to 2016 based on the CRIEPI-RCM-Era2 dataset. The NREL 5 MW, DTU 10 MW, and IEA 15 MW wind turbines were employed to evaluate the incubation time (erosion onset time) of commercial polyurethane-based coating at the blade tip. Erosion progression was simulated using an empirical damage model that relates raindrop impingement and impact velocity to the incubation time. The rain erosion atlas reveals a clear correlation between wind turbine size and erosion risk: the NREL 5MW turbine shows an incubation time of 3–12 years, the DTU 10MW turbine 1–4 years, and the IEA 15MW turbine 0.5–2 years. Shorter incubation times are observed on the Pacific Ocean side, where annual precipitation is higher than on the Sea of Japan side. Additionally, the influence of coating degradation due to ultraviolet radiation was assessed using solar radiation data, revealing a further reduction in incubation time on the Pacific Ocean side. Finally, the potential of erosion-safe mode operation was examined, demonstrating its effectiveness in alleviating erosion progression. Full article
Show Figures

Figure 1

20 pages, 7437 KB  
Article
Study of the Noise Reduction Mechanism of Bionic Circular Arch Structures on the Blades of a High-Volumetric-Airflow Axial Flow Fan
by Chun Shen, Shijie Hu, Dongjun Xu, Chengchun Zhang, Xiaowei Sun and Wen Cheng
Biomimetics 2026, 11(2), 127; https://doi.org/10.3390/biomimetics11020127 - 10 Feb 2026
Viewed by 425
Abstract
While bionic sawtooth and wave structures effectively reduce aerodynamic noise on fixed airfoils, their efficacy on rotating fans is often limited. Inspired by the protrusion structures of dragonfly wings and the gentle circular arches of manta rays, this study proposes a novel bionic [...] Read more.
While bionic sawtooth and wave structures effectively reduce aerodynamic noise on fixed airfoils, their efficacy on rotating fans is often limited. Inspired by the protrusion structures of dragonfly wings and the gentle circular arches of manta rays, this study proposes a novel bionic circular arch structure to suppress aeroacoustic noise in axial flow fans. Numerical simulations were validated against experimental data from a standard fan, showing a sound pressure level (SPL) deviation within 3 dB at the first blade passing frequency (BPF), confirming calculation accuracy. The results indicate that the bionic design reduces the total SPL by approximately 2.5 dB. Notably, in the human-sensitive frequency range of 1000–3000 Hz, noise reduction reaches up to 6.6 dB at the upstream monitoring point. Analysis of Root Mean Square (RMS) fluctuating pressure and Fourier transforms reveals that the bionic structure significantly mitigates noise source intensity at the blade tip. This design effectively reduces pressure disturbances at the first BPF and shrinks the high-intensity disturbance region of the boundary layer compared to the prototype. Full article
(This article belongs to the Special Issue Bioinspired Aerodynamic-Fluidic Design)
Show Figures

Graphical abstract

22 pages, 4905 KB  
Article
High-Pressure Turbine Aerodynamic Enhancement Using Rotor Tip Desensitization Technique
by Luciano Porto Bontempo, Ana Adalgiza Garcia Maia, Jesuino Takachi Tomita, Cleverson Bringhenti, Hassan Saad Ifti and Franco Jefferds dos Santos Silva
Energies 2026, 19(4), 895; https://doi.org/10.3390/en19040895 - 9 Feb 2026
Viewed by 318
Abstract
Turbines experience pressure losses from various sources, one of which is the tip leakage flow in the rotor blades. This is one of the main factors responsible for the decrease in turbine efficiency. This leakage is caused by pressure differences between the blade [...] Read more.
Turbines experience pressure losses from various sources, one of which is the tip leakage flow in the rotor blades. This is one of the main factors responsible for the decrease in turbine efficiency. This leakage is caused by pressure differences between the blade pressure and suction sides. High-pressure turbines with low aspect ratios and high-pressure loading face critical tip clearance losses, impacting turbine performance. One way to reduce tip leakage flow is to apply the desensitization technique to modify the rotor blade tip geometry. This study aims to apply the desensitization technique to the Energy-Efficient Engine developed by NASA. Different Winglet geometries with varying extensions along the blade tip chord (A—100%, B—80%, and C—60%), three types of Squealers with different rim dimensions and cavity heights (Squealer A and B), and the same rim thickness and cavity height of Squealer A with a decreased trailing edge region down to 1% (Squealer C) were numerically tested. Additionally, the study simulates blending Winglet A with Squealer A (Squealer–Winglet A), Squealer A with Winglet B (Squealer–Winglet B), and Winglet A with Squealer B (Squealer–Winglet C). Numerical simulations are conducted and compared with experimental data. Comparing the various geometries at the design-point pressure ratio, the Winglet A configuration demonstrates an increase of 0.30% in efficiency, Squealer C an increase of 0.20%, and for cases involving all Squealer–Winglet models, no improvement was obtained. For 80% N at the design-point pressure ratio, Winglet B demonstrates an increase of 1.47% in efficiency, Squealer C an increase of 1.43%, and Squealer–Winglet A an increase of 1.43%. These are interesting results in the case of the engine operating at cruise condition, in which the rotational speed is around 80% N. Full article
Show Figures

Figure 1

Back to TopTop