Sign in to use this feature.

Years

Between: -

Subjects

remove_circle_outline
remove_circle_outline
remove_circle_outline
remove_circle_outline
remove_circle_outline
remove_circle_outline
remove_circle_outline
remove_circle_outline
remove_circle_outline

Journals

Article Types

Countries / Regions

Search Results (8)

Search Parameters:
Keywords = three consecutive bins

Order results
Result details
Results per page
Select all
Export citation of selected articles as:
20 pages, 3793 KB  
Article
Long-Term Monitoring of the Behavior of Modified Bitumens of RC Type
by Michal Varaus, Ondřej Dašek, Petr Hýzl, Dušan Stehlík and Markus Spiegl
Appl. Sci. 2024, 14(24), 11794; https://doi.org/10.3390/app142411794 - 17 Dec 2024
Viewed by 1208
Abstract
This paper discusses the properties of OMV Starfalt® PmB 45/80 RC bituminous binder developed by the Austrian oil company OMV Downstream GmbH (OMV, Vienna, Austria), intended to be used for the recycling of reclaimed asphalt mixtures (RAP). The binder is characterized by [...] Read more.
This paper discusses the properties of OMV Starfalt® PmB 45/80 RC bituminous binder developed by the Austrian oil company OMV Downstream GmbH (OMV, Vienna, Austria), intended to be used for the recycling of reclaimed asphalt mixtures (RAP). The binder is characterized by various adjusted properties like higher needle penetration, higher softening point and higher elastic recovery (close to 95–100%), with the aim to compensate for the properties of the aged binder contained in the reclaimed asphalt. Three experimental sections were laid in the Czech Republic. Monitoring was performed on these sections (cores were taken after 0, 6, 12, 24, 44 and 93 months) with a consecutive analysis of the properties of the used binder—the binder was extracted from the cores and tested for penetration, softening point, critical temperature at bending beam rheometer (BBR), complex modulus and phase angle using a dynamic shear rheometer (DSR). The previously described binder was used during the construction of trial sections in the villages Domasov and Lednice and near the city Opava. In the first case, a surface course mixture of asphalt concrete type (AC surf 11+) contained 18% of RAP, whereas in the second and third case, a binder course mixture of asphalt concrete type (AC bin 22 S) comprised 23% and 39% of RAP, respectively. After approx. 8 years (Domasov and Lednice) and 3.5 years (Opava) in service, no failures or defects were recorded at any of the sections. This paper gives an update of the research work carried out in 2019 with the latest results from 2023. Full article
(This article belongs to the Section Materials Science and Engineering)
Show Figures

Figure 1

11 pages, 1563 KB  
Article
Genome-Wide Association Analysis Identifies Loci and Candidate Genes for 100-Kernel Weight in Maize
by Meixia Wang, Danyang Cheng, Haojie Ren, Haoyang Li, Ruiyu Wang, Chunlin Dong and Jianzhong Chang
Agronomy 2024, 14(12), 2954; https://doi.org/10.3390/agronomy14122954 - 11 Dec 2024
Cited by 5 | Viewed by 2517
Abstract
Maize is an important food crop, and 100-kernel weight (HKW) is one of the three key components of yield. In this study, 200 maize inbred lines were used as the material, and HKW was evaluated over three consecutive years in two environments. A [...] Read more.
Maize is an important food crop, and 100-kernel weight (HKW) is one of the three key components of yield. In this study, 200 maize inbred lines were used as the material, and HKW was evaluated over three consecutive years in two environments. A genome-wide association study (GWAS) was conducted using the Blink and FarmCPU models with 44,935 SNP markers evenly distributed across the maize genome. A total of 25 SNPs significantly associated with HKW were identified, with three SNPs detected in both models. Six significant SNPs were located within previously mapped QTL bins associated with grain weight. In the linkage disequilibrium (LD) regions of the significant SNP loci, 198 candidate genes were identified, of which 74 had annotation information. Further analysis revealed 21 candidate genes related to HKW, such as GRMZM2G010555 (alternative oxidase), GRMZM2G102471 (ubiquitin-conjugating enzyme), GRMZM2G060669 (histone deacetylase), GRMZM2G090156 (methyltransferase), GRMZM2G002075 (BZIP transcription factor), and GRMZM2G138454 (bHLH transcription factor). The SNP loci and candidate genes identified in this study provide important references for marker-assisted selection, fine mapping, and gene cloning related to HKW in maize. Full article
(This article belongs to the Section Crop Breeding and Genetics)
Show Figures

Figure 1

15 pages, 3439 KB  
Article
Hot Spots of Gun Violence in the Era of Focused Deterrence: A Space-Time Analysis of Shootings in South Philadelphia
by Jamie Anne Boschan and Caterina G. Roman
Soc. Sci. 2024, 13(2), 119; https://doi.org/10.3390/socsci13020119 - 16 Feb 2024
Cited by 3 | Viewed by 4788
Abstract
Gun and street group violence remains a serious problem in cities across the United States and the focused deterrence strategy has been a widely applied law enforcement intervention to reduce it. Although two meta-analytical studies concluded that the intervention had a significant effect [...] Read more.
Gun and street group violence remains a serious problem in cities across the United States and the focused deterrence strategy has been a widely applied law enforcement intervention to reduce it. Although two meta-analytical studies concluded that the intervention had a significant effect on violence, questions remain about how violence changes across space and time during and after the intervention. This study applies novel geospatial analyses to assess spatiotemporal changes in gun violence before, during, and after the implementation of Philadelphia Focused Deterrence. Emerging hot spot analysis employing Space-Time cubes of ten annual time bins (2009–2018) at the Thiessen polygon level was used to detect and categorize patterns. The analyses revealed a non-significant decreasing trend across the ten-year period. Furthermore, there were ninety-three statistically significant hot spots categorized into four hot spot patterns: fourteen new hot spots; twenty-three consecutive; one persistent; and fifty-three sporadic. There was no evidence showing statistically significant hot spots for the “diminishing” pattern. Knowledge of these patterns that emerge across micro-locations can be used by law enforcement practitioners to complement data-driven problem solving and fine tune these strategies and other place-based programming. Policymakers can use findings to prioritize resources when developing complementary prevention and intervention efforts by tailoring those efforts to the different emergent patterns. Full article
(This article belongs to the Section Community and Urban Sociology)
Show Figures

Figure 1

8 pages, 668 KB  
Article
Detection of Methane Eructation Peaks in Dairy Cows at a Robotic Milking Station Using Signal Processing
by Ali Hardan, Philip C. Garnsworthy and Matt J. Bell
Animals 2022, 12(1), 26; https://doi.org/10.3390/ani12010026 - 23 Dec 2021
Cited by 11 | Viewed by 5234
Abstract
The aim of this study was to investigate the use of signal processing to detect eructation peaks in CH4 released by cows during robotic milking, and to compare recordings from three gas analysers (Guardian SP and NG, and IRMAX) differing in volume [...] Read more.
The aim of this study was to investigate the use of signal processing to detect eructation peaks in CH4 released by cows during robotic milking, and to compare recordings from three gas analysers (Guardian SP and NG, and IRMAX) differing in volume of air sampled and response time. To allow comparison of gas analysers using the signal processing approach, CH4 in air (parts per million) was measured by each analyser at the same time and continuously every second from the feed bin of a robotic milking station. Peak analysis software was used to extract maximum CH4 amplitude (ppm) from the concentration signal during each milking. A total of 5512 CH4 spot measurements were recorded from 65 cows during three consecutive sampling periods. Data were analysed with a linear mixed model including analyser × period, parity, and days in milk as fixed effects, and cow ID as a random effect. In period one, air sampling volume and recorded CH4 concentration were the same for all analysers. In periods two and three, air sampling volume was increased for IRMAX, resulting in higher CH4 concentrations recorded by IRMAX and lower concentrations recorded by Guardian SP (p < 0.001), particularly in period three, but no change in average concentrations measured by Guardian NG across periods. Measurements by Guardian SP and IRMAX had the highest correlation; Guardian SP and NG produced similar repeatability and detected more variation among cows compared with IRMAX. The findings show that signal processing can provide a reliable and accurate means to detect CH4 eructations from animals when using different gas analysers. Full article
Show Figures

Figure 1

23 pages, 2916 KB  
Article
Bin Weather Data for HVAC Systems Energy Calculations
by Konstantinos T. Papakostas, Dimitrios Kyrou, Kyrillos Kourous, Dimitra Founda and Georgios Martinopoulos
Energies 2021, 14(12), 3501; https://doi.org/10.3390/en14123501 - 12 Jun 2021
Cited by 3 | Viewed by 10847
Abstract
The increase in global air temperature is well documented, as during the last several years each decade has been consecutively warmer than the preceding. As climatic conditions affect the energy performance of buildings, the changes in outdoor air temperature and humidity will inevitably [...] Read more.
The increase in global air temperature is well documented, as during the last several years each decade has been consecutively warmer than the preceding. As climatic conditions affect the energy performance of buildings, the changes in outdoor air temperature and humidity will inevitably lead to significant alterations in energy consumption and costs for the heating, ventilating and air conditioning (HVAC) of buildings. The availability and quality of climatic data play an important role in the accuracy of energy analysis results. In this study, the hourly temperature and relative humidity of outdoor air measurements, for a period of three decades (1983–2012), recorded at the climatic station of the National Observatory of Athens were processed, and an up-to-date set of specific data for the application of bin methods was produced and presented. The data were then used to calculate changes in the energy demands in a typical office building throughout the specified period. Results showed a progressive reduction in the low and increase in the high temperature intervals, leading to an increase in the building’s annual energy requirements for air conditioning of up to 14.5% from the first to the third decade, with decrease in the energy demands for heating and increase in the energy demands for cooling. Full article
(This article belongs to the Special Issue Urban Microclimate Analysis on Buildings Energy Performance)
Show Figures

Figure 1

11 pages, 797 KB  
Data Descriptor
FIKWaste: A Waste Generation Dataset from Three Restaurant Kitchens in Portugal
by Lucas Pereira, Vitor Aguiar and Fábio Vasconcelos
Data 2021, 6(3), 25; https://doi.org/10.3390/data6030025 - 26 Feb 2021
Cited by 3 | Viewed by 5035
Abstract
In the era of big data and artificial intelligence, public datasets are becoming increasingly important for researchers to build and evaluate their models. This paper presents the FIKWaste dataset, which contains time series data for the volume of waste produced in three restaurant [...] Read more.
In the era of big data and artificial intelligence, public datasets are becoming increasingly important for researchers to build and evaluate their models. This paper presents the FIKWaste dataset, which contains time series data for the volume of waste produced in three restaurant kitchens in Portugal. Organic (undifferentiated) and inorganic (glass, paper, and plastic) waste bins were monitored for a consecutive period of four weeks. In addition to the time series measurements, the FIKWaste dataset contains labels for waste disposal events, i.e., when the waste bins are emptied, and technical and non-technical details of the monitored kitchens. Full article
Show Figures

Figure 1

20 pages, 3283 KB  
Article
Construction of a High-Density Genetic Map and Mapping of Firmness in Grapes (Vitis vinifera L.) Based on Whole-Genome Resequencing
by Jianfu Jiang, Xiucai Fan, Ying Zhang, Xiaoping Tang, Xiaomei Li, Chonghuai Liu and Zhenwen Zhang
Int. J. Mol. Sci. 2020, 21(3), 797; https://doi.org/10.3390/ijms21030797 - 25 Jan 2020
Cited by 30 | Viewed by 6419
Abstract
Berry firmness is one of the most important quality traits in table grapes. The underlying molecular and genetic mechanisms for berry firmness remain unclear. We constructed a high-density genetic map based on whole-genome resequencing to identify loci associated with berry firmness. The genetic [...] Read more.
Berry firmness is one of the most important quality traits in table grapes. The underlying molecular and genetic mechanisms for berry firmness remain unclear. We constructed a high-density genetic map based on whole-genome resequencing to identify loci associated with berry firmness. The genetic map had 19 linkage groups, including 1662 bin markers (26,039 SNPs), covering 1463.38 cM, and the average inter-marker distance was 0.88 cM. An analysis of berry firmness in the F1 population and both parents for three consecutive years revealed continuous variability in F1, with a distribution close to the normal distribution. Based on the genetic map and phenotypic data, three potentially significant quantitative trait loci (QTLs) related to berry firmness were identified by composite interval mapping. The contribution rate of each QTL ranged from 21.5% to 28.6%. We identified four candidate genes associated with grape firmness, which are related to endoglucanase, abscisic acid (ABA), and transcription factors. A qRT-PCR analysis revealed that the expression of abscisic-aldehyde oxidase-like gene (VIT_18s0041g02410) and endoglucanase 3 gene (VIT_18s0089g00210) in Muscat Hamburg was higher than in Crimson Seedless at the veraison stage, which was consistent with that of parent berry firmness. These results confirmed that VIT_18s0041g02410 and VIT_18s0089g00210 are candidate genes associated with berry firmness. Full article
(This article belongs to the Collection Feature Papers in Molecular Genetics and Genomics)
Show Figures

Figure 1

16 pages, 1670 KB  
Article
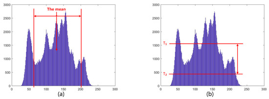
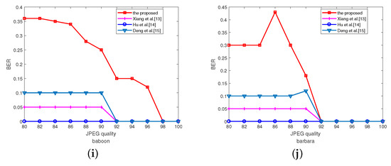
A Large Capacity Histogram-Based Watermarking Algorithm for Three Consecutive Bins
by Zhen Yue, Zichen Li, Hua Ren and Yixian Yang
Appl. Sci. 2018, 8(12), 2617; https://doi.org/10.3390/app8122617 - 14 Dec 2018
Cited by 4 | Viewed by 2953
Abstract
The histogram watermark, which performs watermark embedding by slightly modifying the histogram of the original image, has been a hot research topic in information hiding technology due to the superiority of its pixel modification during the watermark embedding process, which is independent of [...] Read more.
The histogram watermark, which performs watermark embedding by slightly modifying the histogram of the original image, has been a hot research topic in information hiding technology due to the superiority of its pixel modification during the watermark embedding process, which is independent of the pixel position. This property makes the histogram-based watermark strong resistant to geometric attacks, such as cropping attack, crossed attack, rotation attack, etc. In this paper, we propose a large capacity histogram-based robust watermarking algorithm based on three consecutive bins for the first time. In our scheme, we divide the shape of three consecutive bins into eight cases. According to these cases, we embed Information Number 0, 1, 2, 3, 4, 5, 6, or 7, respectively. The embedded information capacity reaches one bit per bin (bpb), and the amount of embedded information is equal to 200% of the previous existing algorithms. Experimental results show that the new algorithm not only has a large capacity of embedding information, but also has strong robustness to geometric attacks, as well as common image processing operations. Full article
Show Figures

Figure 1

Back to TopTop