Sign in to use this feature.

Years

Between: -

Subjects

remove_circle_outline
remove_circle_outline
remove_circle_outline
remove_circle_outline
remove_circle_outline
remove_circle_outline
remove_circle_outline

Journals

Article Types

Countries / Regions

Search Results (16)

Search Parameters:
Keywords = thin bed reflection

Order results
Result details
Results per page
Select all
Export citation of selected articles as:
17 pages, 2298 KB  
Article
Influence of the Process-Related Surface Structure of L-PBF Manufactured Components on Residual Stress Measurement Using the Incremental Hole Drilling Method
by Sebastian Gersch, Ulf Noster, Carsten Schulz and Jörg Bagdahn
Appl. Sci. 2025, 15(18), 9861; https://doi.org/10.3390/app15189861 - 9 Sep 2025
Viewed by 488
Abstract
Laser Powder Bed Fusion (L-PBF) parts combine geometric freedom with process-induced rough surfaces that challenge residual-stress metrology. We evaluated the accuracy of the incremental hole-drilling (IHD) method with electronic speckle pattern interferometry (ESPI) by applying defined stresses via four-point bending to stress-relieved AlSi10Mg [...] Read more.
Laser Powder Bed Fusion (L-PBF) parts combine geometric freedom with process-induced rough surfaces that challenge residual-stress metrology. We evaluated the accuracy of the incremental hole-drilling (IHD) method with electronic speckle pattern interferometry (ESPI) by applying defined stresses via four-point bending to stress-relieved AlSi10Mg coupons, rather than measuring unknown process stresses. Flat specimens (2 mm, thin per ASTM E837) were analyzed on up-skin, side-skin, and CNC-milled surfaces; thin-specimen calibration coefficients were used. After a preliminary inter-specimen check (three specimens per surface; spread < 8 MPa), one representative specimen per surface was tested with three drill sites to assess intra-specimen uniformity. Measured IHD–ESPI stresses agreed best at 70 MPa: deviations were ~4.1% (up-skin), 6.0% (side-skin), and 6.24% (CNC-milled). At 10 MPa the relative errors increased (23.6%, 18.4%, and 1.40%), consistent with reduced ESPI signal-to-noise and fixture compliance in the low-stress regime. At 140 MPa, deviations rose again (21.1%, 14.3%, and 13.1%), reflecting operation near the ~60% Rp0.2 elastic limit of hole-drilling and potential local plasticity. Surface-dependent artifacts also mattered as follows: the side-skin required no coating and performed comparably to CNC-milled, whereas the up-skin’s roughness plus matting spray introduced fringe distortions and chip/coating debris near the hole. This controlled study indicates that IHD–ESPI can provide reliable results on L-PBF AlSi10Mg in the mid-stress range when surface preparation, coating, and rig compliance are carefully managed. Limitations include excluding down-skin surfaces and testing only one specimen per condition; thus, results should be generalized cautiously. Full article
Show Figures

Figure 1

23 pages, 57804 KB  
Article
Multiscale Characteristics and Controlling Factors of Shale Oil Reservoirs in the Permian Lucaogou Formation (Jimusaer Depression, Junggar Basin, NW China)
by Yang Lian, Liping Zhang, Xuan Chen, Xin Tao, Yuhao Deng and Peiyan Li
Minerals 2025, 15(5), 438; https://doi.org/10.3390/min15050438 - 23 Apr 2025
Cited by 1 | Viewed by 608
Abstract
The Permian Lucaogou Formation (PLF) shale oil reservoirs in the Junggar Basin exhibit significant lithological heterogeneity, which limits the understanding of the relationship between macroscopic and microscopic reservoir characteristics, as well as insights into reservoir quality. To address this gap, thirty core samples, [...] Read more.
The Permian Lucaogou Formation (PLF) shale oil reservoirs in the Junggar Basin exhibit significant lithological heterogeneity, which limits the understanding of the relationship between macroscopic and microscopic reservoir characteristics, as well as insights into reservoir quality. To address this gap, thirty core samples, exhibiting typical sedimentary features, were selected from a 46 m section of the PLF for sedimentological analysis, thin section examination, high-performance microarea scanning, and scanning electron microscopy. Seven main lithofacies were identified, including massive bedding slitstone/fine-grained sandstone (LS1), cross to parallel bedding siltstone (LS2), climbing ripple laminated argillaceous siltstone (LS3), paired graded bedding argillaceous siltstone (LS4), irregular laminated argillaceous siltstone (LS5), irregular laminated silty mudstone (LM2), and horizontal laminated mudstone (LM2). The paired graded bedding sequences with internal erosion surfaces, massive bedding, and terrestrial plant fragments suggest a lacustrine hyperpycnal flow origin. The channel subfacies of hyperpycnal flow deposits, primarily consisting of LS1 and LS2, reflect strong hydrodynamic conditions, with a single-layer thickness ranging from 1.3 to 3.8 m (averaging 2.2 m) and porosity between 7.8 and 14.2% (averaging 12.5%), representing the primary sweet spot. The lobe subfacies, composed mainly of LS3, LS4, and LS5, reflect relatively strong hydrodynamic conditions, with a single-layer thickness ranging from 0.5 to 1.4 m (averaging 0.8 m) and porosity between 4.2 and 13.8% (averaging 9.6%), representing the secondary sweet spot. In conclusion, strong hydrodynamic conditions and depositional microfacies are key factors in the formation and distribution of sweet spots. The findings of this study are valuable for identifying sweet spots in the PLF and provide useful guidance for the exploration of lacustrine shale oil reservoirs in the context of hyperpycnal flow deposition globally. Full article
Show Figures

Figure 1

20 pages, 14352 KB  
Article
Time-Lapse GPR Measurements to Monitor Resin Injection in Fractures of Marble Blocks
by Luigi Zanzi, Marjan Izadi-Yazdanabadi, Saeed Karimi-Nasab, Diego Arosio and Azadeh Hojat
Sensors 2023, 23(20), 8490; https://doi.org/10.3390/s23208490 - 16 Oct 2023
Cited by 3 | Viewed by 1856
Abstract
The objective of this study is to test the feasibility of time-lapse GPR measurements for the quality control of repairing operations (i.e., injections) on marble blocks. For the experimental activities, we used one of the preferred repairing fillers (epoxy resin) and some blocks [...] Read more.
The objective of this study is to test the feasibility of time-lapse GPR measurements for the quality control of repairing operations (i.e., injections) on marble blocks. For the experimental activities, we used one of the preferred repairing fillers (epoxy resin) and some blocks from one of the world’s most famous marble production area (Carrara quarries in Italy). The selected blocks were paired in a laboratory by overlapping one over the other after inserting very thin spacers in order to simulate air-filled fractures. Fractures were investigated with a 3 GHz ground-penetrating radar (GPR) before and after the resin injections to measure the amplitude reduction expected when the resin substitutes the air. The results were compared with theoretical predictions based on the reflection coefficient predicted according to the thin bed theory. A field test was also performed on a naturally fractured marble block selected along the Carrara shore. Both laboratory and field tests validate the GPR as an effective tool for the quality control of resin injections, provided that measurements include proper calibration tests to control the amplitude instabilities and drift effects of the GPR equipment. The method is accurate enough to distinguish the unfilled fractures from the partially filled fractures and from the totally filled fractures. An automatic algorithm was developed and successfully tested for the rapid quantitative analysis of the time-lapse GPR profiles collected before and after the injections. The whole procedure is mature enough to be proposed to the marble industry to improve the effectiveness of repair interventions and to reduce the waste of natural stone reserves. Full article
(This article belongs to the Special Issue Radar Sensors for Target Tracking and Localization)
Show Figures

Figure 1

15 pages, 9927 KB  
Article
Characterization of Al-12Si Thin-Wall Properties Fabricated with Laser Direct Energy Deposition
by Raihan Rumman, Mallaiah Manjaiah, Stéphane Touzé, Ruby Alice Sims, Jean-Yves Hascoët and Jamie Scott Quinton
Sustainability 2023, 15(17), 12806; https://doi.org/10.3390/su151712806 - 24 Aug 2023
Cited by 4 | Viewed by 2192
Abstract
Additive manufacturing is an emerging process that is used to manufacture industrial parts layer by layer and can produce a wide range of geometries for various applications. AM parts are adopted for aerospace, automobiles, antennas, gyroscopes, and waveguides in electronics. However, there are [...] Read more.
Additive manufacturing is an emerging process that is used to manufacture industrial parts layer by layer and can produce a wide range of geometries for various applications. AM parts are adopted for aerospace, automobiles, antennas, gyroscopes, and waveguides in electronics. However, there are several challenges existing in manufacturing Al components using the AM process, and their mechanical and microstructural properties are not yet fully validated. In the present study, a gas-atomised powder of a eutectic Al-12Si alloy was used as feedstock for the Laser Direct Energy Deposition (LDED) process. A SEM analysis of Al-12Si powder used for processing illustrated that particles possess appropriate morphology for LDED. A numerical control system was used to actuate the deposition head towards printing positions. The deposited samples revealed the presence of Al-rich and Al-Si eutectic regions. The porosity content in the samples was found to be around 2.6%. Surface profile roughness measurements and a microstructural analysis of the samples were also performed to assess the fabricated sample in terms of the roughness, porosity, and distribution of Al and Al/Si eutectic phases. The tensile properties of fabricated thin walls were better compared to casted Al alloys due to the uniform distribution of Si in each layer. Micro-hardness tests on the deposited samples showed a hardness of 95 HV, which is equivalent to casted and powder bed fusion melting samples. The gas atomised Al-12Si powders are highly reflective to a laser and also quick oxidation takes place, which causes defects, porosity, and the balling effect during fabrication. The results can be used as a base guide for the further fabrication of aerospace component design with high structural integrity. Full article
Show Figures

Figure 1

16 pages, 12755 KB  
Article
Experimental Study on the Mechanical Characteristics of Thin-Bedded Rock Masses Due to Water-Absorption Softening and Structural Effects
by Huichen Xu, Chengyu Miao, Chengwei Zhao, Dong Wang and Xiaoming Sun
Sustainability 2023, 15(16), 12625; https://doi.org/10.3390/su151612625 - 21 Aug 2023
Viewed by 1433
Abstract
The efficient exploitation of deep-buried resources and the penetration of deep tunnels are related to the sustainable development of energy and security, and the stability of the surrounding rock of deep-buried tunnels is an important issue to study. Therefore, the mechanical characteristics of [...] Read more.
The efficient exploitation of deep-buried resources and the penetration of deep tunnels are related to the sustainable development of energy and security, and the stability of the surrounding rock of deep-buried tunnels is an important issue to study. Therefore, the mechanical characteristics of thin-bedded rock masses due to water-absorption softening and structural effects were studied. The results show that the uniaxial compressive strength tends to decrease first and then increase with the rise in layer inclination, and an overall U-shaped distribution is presented. The water-absorption and softening mechanism of slate, which is a typical thin-bedded rock masses, involves water entering the slate along the weak surface of the layer. Then, the expansion of water absorption and the expansion perpendicular to the layer caused by the action of clay minerals causes cracks along the layer surface near the weak surface of the layer, which is macroscopically manifested as a decrease in strength. Through the single weak-surface theory, the layer-inclination range of 25–79° is determined for shear failure. The universal distinct element code can accurately and intuitively reflect the failure mode of rock samples affected by moisture content and structural effects. Full article
(This article belongs to the Special Issue Challenges and Strategies for Sustainable Development in Deep Mines)
Show Figures

Figure 1

16 pages, 78679 KB  
Article
The Cretaceous Sedimentary Environments and Tectonic Setting of the Southern East China Sea Shelf Basin
by Yepeng Yang, Zaixing Jiang and Xiaolong Jiang
Energies 2023, 16(10), 4205; https://doi.org/10.3390/en16104205 - 19 May 2023
Cited by 2 | Viewed by 2017
Abstract
Although the amount of oil and gas reserves and the reservoir properties in the East China Sea Shelf Basin (ECSSB) indicate good prospects for oil and gas exploration in the Mesozoic strata, there has not yet been a significant breakthrough in oil and [...] Read more.
Although the amount of oil and gas reserves and the reservoir properties in the East China Sea Shelf Basin (ECSSB) indicate good prospects for oil and gas exploration in the Mesozoic strata, there has not yet been a significant breakthrough in oil and gas production. An important reason is that there are few detailed studies on the sedimentary paleogeography of the ECSSB which make it difficult to predict the distribution of sand bodies. In this paper, well-core observations, thin-section identifications, electron probe microanalysis, trace elements analysis and seismic interpretations were synthetically applied to study the sedimentary environments and the tectonic setting of the Upper Cretaceous in the southern ECSSB. In the Oujiang Sag, red mudstones and pyroclastic rocks were deposited, accompanied by wedged, chaotic pro-grading reflections in the seismic profile, indicating a volcano-alluvial fan sedimentary system. Abundant sedimentary structures including double-mud drapes, asymmetric herringbone cross-beddings and burrows, such as Planolites and Skolithos, were developed in the Minjiang Sag, typically indicating a high-energy tidal environment. The autogenetic glauconites in situ and the fossil Tintinnid also indicate a shallow marine environment. The resulting sedimentary characteristics are in accordance with the littoral facies revealed by the seismic reflections in the Minjiang Sag. Moreover, volcanic conduit facies, effusive facies, and pyroclastic facies were also recognized in the seismic profile in the Minjiang Sag. Therefore, it was presumed that subaqueous volcanic eruptions occurred in the Minjiang Sag. In the Keelung Sag, the littoral facies were dominant. The tectonic setting of the Upper Cretaceous in the southern ECSSB is the transitional arc accompanied by large-scale volcanic activities. In conclusion, the volcano-alluvial fan sedimentary system was developed in the Oujiang Sag and volcano-littoral sedimentary system was developed from the Minjiang Sag to the Keelung Sag. This study is intended to promote the understanding of the sedimentary paleogeography of the Upper Cretaceous in the southern ECSSB and to provide help in oil and gas exploration. Full article
(This article belongs to the Section H1: Petroleum Engineering)
Show Figures

Figure 1

24 pages, 29599 KB  
Article
Lithostratigraphic, Paleoenvironmental Characterization and Correlations of the Albian–Turonian Deposits of the Errachidia–Boudnib–Erfoud Basin (Southeast Morocco)
by Ismail Chaaou, Lahcen Kabiri, Badre Essafraoui, Ali Charroud, Hicham Si Mhamdi, Mohamed Abioui, Kamal Abdelrahman, Carlos Neto de Carvalho and Mohammed S. Fnais
Appl. Sci. 2022, 12(21), 11048; https://doi.org/10.3390/app122111048 - 31 Oct 2022
Cited by 8 | Viewed by 3857
Abstract
Ten detailed sections have been logged and studied from the “Infra-Cenomanian’’ to the Cenomanian–Turonian deposits in the Errachidia–Boudnib–Erfoud Basin between Tazzouguerte and Anounizme(SE Morocco). They show variations in their lithology and microfacies that reflect changes in the depositional environment from the base to [...] Read more.
Ten detailed sections have been logged and studied from the “Infra-Cenomanian’’ to the Cenomanian–Turonian deposits in the Errachidia–Boudnib–Erfoud Basin between Tazzouguerte and Anounizme(SE Morocco). They show variations in their lithology and microfacies that reflect changes in the depositional environment from the base to the top of the sedimentary record. Indeed, depositional setting grades from a fluvial environment marked by sandstone deposits of the Ifezouane Formation to an alluvial plain and coastal lagoon environment comprising an alternation of red clay, gypsum, and green marl beds of the Aoufous Formation and, finally, towards shallow to moderately deep marine environments with the deposition of the carbonates of the Akrabou Formation. Correlations between the studied sections show variations in the thickness of strata throughout the basin. The variations recorded in the so-called “Infra-Cenomanian” series may be related to the structuration of the basement. The Cenomanian–Turonian carbonate platform shows deeper marine and thicker sediments towards the east, while it thins towards the west until its disappearance in Anounizme. This reflects the global Cenomanian–Turonian transgression in the Errachidia–Boudnib–Erfoud Basin from the eastern Tethyan realm towards the west. The regional correlation of the Errachidia–Boudnib–Erfoud Basin with the Ouarzazate and Agadir basins shows an eastward thinning of the Cenomanian–Turonian marine deposits of Agadir. This suggests the presence of a paleorelief at the Anounizme locality. This could be the boundary between the Errachidia–Boudnib–Erfoud Basin, with Tethyan influence, to the east and those of Ouarzazate and Agadir, with Atlantic affinity, to the west. Full article
Show Figures

Figure 1

29 pages, 11123 KB  
Article
Evaluation of Commercial Corrosion Sensors for Real-Time Monitoring of Pipe Wall Thickness under Various Operational Conditions
by Dong-Ho Shin, Hyun-Kyu Hwang, Heon-Hui Kim and Jung-Hyung Lee
Sensors 2022, 22(19), 7562; https://doi.org/10.3390/s22197562 - 6 Oct 2022
Cited by 9 | Viewed by 3910
Abstract
In this study, we investigated the performance and reliability of commercial corrosion sensors for monitoring the integrity of piping systems in various fluid environments as an alternative to ultrasonic transducers. To this end, we investigated pipes’ wall-thinning using commercial electrical resistance (ER), linear [...] Read more.
In this study, we investigated the performance and reliability of commercial corrosion sensors for monitoring the integrity of piping systems in various fluid environments as an alternative to ultrasonic transducers. To this end, we investigated pipes’ wall-thinning using commercial electrical resistance (ER), linear polarization resistance (LPR), and ultrasonic transducer (UT) sensors under various operating environments. A pilot-scale closed-loop test bed was built to simulate a real pipeline flow situation, from which the sensor data were collected and analyzed. Experimental results indicate that, in the case of the LPR sensor, it is challenging to accurately measure the corrosion rate when a specific measure exceeds the threshold in a severe corrosion environment. In contrast, the ER sensor could measure metal loss under all conditions and reflect the corresponding characteristics. The metal loss (about 0.25 mm) of the real pipe after the experiment was confirmed to be equal to the metal loss (0.254 mm) measured by the sensor. Furthermore, the regression analysis revealed a high correlation between the results obtained from the ER and UT sensors. Thus, evaluating the remaining thickness of the piping system using the commercial ER sensor is deemed to be effective and reliable. Full article
(This article belongs to the Special Issue Sensors for Environmental and Human Health)
Show Figures

Figure 1

17 pages, 21672 KB  
Article
Magnetic Fabrics and Petrography of Rocksalts Reveal Preferred Orientation of Anhydrites within a Halite Matrix
by Ran Issachar, Ram Weinberger, Tsafrir Levi, Jessica Barabasch and Janos L. Urai
Minerals 2022, 12(2), 192; https://doi.org/10.3390/min12020192 - 31 Jan 2022
Cited by 1 | Viewed by 2939
Abstract
We investigate the magnetic fabrics and microstructures of diamagnetic rocksalt samples from the Sedom salt wall (diapir), Dead Sea Basin, as possible strain markers. A comprehensive study of anisotropy of magnetic susceptibility (AMS), combined with magnetic, microtextural, geochemical and mineralogical analyses allows us [...] Read more.
We investigate the magnetic fabrics and microstructures of diamagnetic rocksalt samples from the Sedom salt wall (diapir), Dead Sea Basin, as possible strain markers. A comprehensive study of anisotropy of magnetic susceptibility (AMS), combined with magnetic, microtextural, geochemical and mineralogical analyses allows us to depict the deformation mechanisms and to reveal the mineral sources of the AMS. The rocksalts are composed of halite as the major mineral phase (>80%) and anhydrite as a minor phase (5–20%), and have an average magnetic susceptibility value of −13.4 ± 0.7 × 10−6 SI. Ferromagnetic and paramagnetic minerals make a negligible contribution to the bulk magnetic properties of the samples. The AMS indicates and reveals significant anisotropy with the maximum susceptibility axis (K1) subparallel to the bedding strike, although the cubic halite crystals are isotropic. Polarizing microscope and SEM images show preferred alignment of needle-like anhydrite crystals parallel to the direction of the K1 axis. Petrographic investigation of gamma irradiated thin sections reveals the deformation recorded in the microstructures of the rocksalts and points to a dominant contribution by dislocation creep, although both dislocation creep and pressure solution were active deformation mechanisms. We infer that during dislocation creep, the thin bands of anhydrite crystals deform along with the surrounding halite grains. We suggest that although the shape preferred orientation of halite grains is not indicative of finite strain because of resetting by grain boundary migration, the preferred orientation of the anhydrite crystals may be. These results suggest that the AMS of the rocksalts provides a textural proxy that reflects deformation processes of the rocksalts, despite their very low magnetic susceptibility. Full article
(This article belongs to the Special Issue Petrophysical Characteristics of Naturally Deformed Rocks)
Show Figures

Figure 1

16 pages, 7929 KB  
Article
Analytical Models and Laboratory Measurements to Explore the Potential of GPR for Quality Control of Marble Block Repair through Resin Injections
by Marjan Izadi-Yazdanabadi, Azadeh Hojat, Luigi Zanzi, Saeed Karimi-Nasab and Diego Arosio
Appl. Sci. 2022, 12(3), 987; https://doi.org/10.3390/app12030987 - 19 Jan 2022
Cited by 5 | Viewed by 2375
Abstract
This work aims to analyze theoretically and with laboratory tests the sensitivity of high-frequency GPR (Ground-Penetrating Radar) to resin injections used in the building and ornamental stone industries to repair marble blocks before final slab cutting. We simulate uniform fractures in the laboratory [...] Read more.
This work aims to analyze theoretically and with laboratory tests the sensitivity of high-frequency GPR (Ground-Penetrating Radar) to resin injections used in the building and ornamental stone industries to repair marble blocks before final slab cutting. We simulate uniform fractures in the laboratory using small regular marble blocks and we compare the results of GPR tests with the analytical model of the thin bed reflections. We performed two series of GPR surveys with a 3 GHz antenna, progressively increasing the fracture thickness from 0.25 mm to 16 mm, to analyze the results on two simulated conditions: open fracture and repaired fracture. The repaired condition was simulated by substituting the resin layer with polyvinyl chloride (PVC) sheets because the permittivity of PVC is quite similar to the permittivity of epoxy resin. According to the analytical models, when a thin air-filled fracture is filled with resin, the received signal amplitude is expected to decrease by 33% (26% if resin is simulated with PVC). The results showed a very good match between the predictions and the real data observations when the fracture is thicker than 4 mm. Although the analytical and laboratory results show some deviations when the fracture is thinner than 4 mm, the qualitative trend of the amplitude variations is still consistent with the predictions and the 3 GHz antenna can resolve the change in the filling material down to the minimum tested thickness (0.25 mm). As a result, our findings validate the GPR method as a proper tool for nondestructive quality control of resin injections in marble fractures. Full article
Show Figures

Figure 1

16 pages, 4770 KB  
Article
P-Wave Reflection Approximation of a Thin Bed and Its Application
by Chun Yang, Yun Wang, Shu Xiong, Zikun Li and Hewei Han
Appl. Sci. 2020, 10(22), 8061; https://doi.org/10.3390/app10228061 - 13 Nov 2020
Viewed by 2147
Abstract
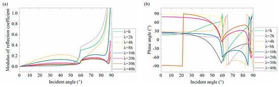
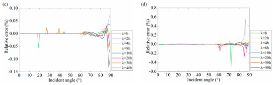
“Thin-bed” reservoirs have become important targets of seismic exploration and exploitation. However, traditional amplitude versus offset/amplitude versus angle (AVO/AVA) technologies, for example, those based on Zoeppritz equations and their approximations for a single interface, are not sufficiently accurate for thin-bed stratigraphy. Analytic solutions [...] Read more.
“Thin-bed” reservoirs have become important targets of seismic exploration and exploitation. However, traditional amplitude versus offset/amplitude versus angle (AVO/AVA) technologies, for example, those based on Zoeppritz equations and their approximations for a single interface, are not sufficiently accurate for thin-bed stratigraphy. Analytic solutions of thin-bed reflectivity may become practical for thin-bed AVO analysis and inversion. Therefore, a linear analytic approximation of thin-bed P-wave reflectivity is developed under small-incidence and thin-bed assumptions. Numerical simulations show that the amplitude approximation errors are usually smaller than 10% for incidence angles less than 20 degrees, and the thin-bed thicknesses are less than one-tenth of the P-wave wavelength. Based on the least-squares approach, the inversion strategy is proposed using the approximate formula. A synthetic data test shows that the proposed inversion method can produce more accurate thin-bed properties than that based on the Zoeppritz equations, which reveals the potential of the inversion method based on the linear analytic approximate formula in the fine characterization of thin reservoirs. Full article
(This article belongs to the Section Acoustics and Vibrations)
Show Figures

Figure 1

19 pages, 5161 KB  
Article
Second-Order Approximation of the Seismic Reflection Coefficient in Thin Interbeds
by Zhen Yang and Jun Lu
Energies 2020, 13(6), 1465; https://doi.org/10.3390/en13061465 - 20 Mar 2020
Cited by 8 | Viewed by 3547
Abstract
As most of the lithostratigraphic reservoirs in China are thin interbeds, the study of seismic responses in thin interbeds is an integral part of lithologic reservoir exploration. However, at present, the research on seismic reflection coefficients of thin interbeds in exploration seismology is [...] Read more.
As most of the lithostratigraphic reservoirs in China are thin interbeds, the study of seismic responses in thin interbeds is an integral part of lithologic reservoir exploration. However, at present, the research on seismic reflection coefficients of thin interbeds in exploration seismology is still weak, which leads to the lack of theoretical basis for the subsequent interpretation of amplitude variation with offset (AVO) related to thin interbed. To solve this problem, in this paper, we proposed second-order approximate equations of the seismic reflection coefficients in thin-bed and thin-interbed layers. Under the assumption of a small impedance contrast in layered media, we made a second-order approximation with a more evident physical meaning to the reflection coefficient calculation method proposed by Kennett. Then, based on the test of the single thin-layer theoretical model, it was confirmed that the second-order approximation equation of the PP-wave (reflected compressional wave) is accurate at incident angles less than 30°, and that of the PS-wave (converted shear wave) is accurate at wider incident angles. Finally, based on the single-thin-bed equations, the approximate equations of seismic reflection coefficients in thin interbeds were established, the validity of which was verified by the theoretical model. Our equations will be applicable to the calculation of PP- and PS-wave reflection coefficients in thin interbeds where internal multiples are difficult to suppress and transmission loss is hard to accurately compensate. This lays a theoretical foundation for improving the seismic prediction accuracy of lithologic reservoirs. Full article
(This article belongs to the Section H: Geo-Energy)
Show Figures

Figure 1

21 pages, 5898 KB  
Article
A Low-Order Series Approximation of Thin-Bed PP-Wave Reflections
by Chun Yang, Yun Wang, Jun Lu, Benchi Chen and Lei Shi
Appl. Sci. 2019, 9(4), 709; https://doi.org/10.3390/app9040709 - 18 Feb 2019
Cited by 2 | Viewed by 2952
Abstract
The study of thin-bed seismic phenomena is important in crustal, exploration and engineering seismology. Presently, seismic reflectivity theories based on single-interface assumption are widely used though they are only suitable for thick deposits. Thin-bed reflectivity theories are established on complex propagator matrices and [...] Read more.
The study of thin-bed seismic phenomena is important in crustal, exploration and engineering seismology. Presently, seismic reflectivity theories based on single-interface assumption are widely used though they are only suitable for thick deposits. Thin-bed reflectivity theories are established on complex propagator matrices and are difficult to be applied to reveal thin-bed properties directly. Therefore, an approximation of thin-bed PP-wave reflection coefficients (RPP) is derived in this paper. First, the relationship between thin-bed RPP and incidence angles is analyzed through series expansion method. For PP-wave, its reflection coefficients are even power series functions of sine incidence angles. Then, for small incidence, RPP of the thin bed is further simplified into a second-order series approximation with respect to the sine incidence angles. Simulations and accuracy analyses of the approximate formula show that approximation errors are smaller than 5% as the incidence angles smaller than 20 degrees. Based on this approximate formula, an approach is given for estimating thin-bed properties including P-wave impedance ratios and thickness. The estimation approach is applied in properties estimation of a thin bed model. Perfect performances of the model example show the future potentiality of the approximate formula in thin-bed Amplitude-Versus-Offset (AVO) analysis and inversion. Full article
(This article belongs to the Section Acoustics and Vibrations)
Show Figures

Figure 1

20 pages, 4325 KB  
Article
Numerical Simulation and In-Situ Measurement of Ground-Borne Vibration Due to Subway System
by Jinping Yang, Peizhen Li and Zheng Lu
Sustainability 2018, 10(7), 2439; https://doi.org/10.3390/su10072439 - 12 Jul 2018
Cited by 14 | Viewed by 3796
Abstract
A coupled finite element–infinite element boundary method performed by the harmonic analysis based on the commercial software ABAQUS was verified by comparing it with the thin layer method to address the issue of subway induced vibration, a major environmental concern in urban areas. [...] Read more.
A coupled finite element–infinite element boundary method performed by the harmonic analysis based on the commercial software ABAQUS was verified by comparing it with the thin layer method to address the issue of subway induced vibration, a major environmental concern in urban areas. In addition, an interface program was developed to automatically read the simulation result files in the harmonic analysis, and then put the data into MATLAB, achieving the frequency domain analysis. Moreover, a site measurement was performed on a practical engineering track bed-tunnel lining-surrounding formation located on Line 2, Shanghai Metro and rich vibration data were acquired. Then, the corresponding simulation model was established and the numerical results were compared with the measured data based on the developed program, which was verified applicable for the practical engineering of subway induced vibration on the soft site. The proposed prediction formula of the vibration level, by comparison with the measurement, is applicable for the prediction in subway induced vibration. The results show that there exists a vibration amplifying zone a certain distance to the tunnel under high frequency loads due to the wave propagation and reflection. Finally, a parametric study was conducted in an elastic half-space simulation to investigate the influence of model widths and depths with infinite element boundary on the numerical results. The higher performance of the combined finite element–infinite element boundary method, which can decrease the model sizes in widths and heights 50% effectively, was demonstrated. Consequently, the coupled finite element–infinite element boundary method and developed frequency analysis with interface program provide rational numerical methods for the models of subway induced vibration. Full article
Show Figures

Figure 1

16 pages, 7549 KB  
Article
The Use of Univariate and Multivariate Analyses in the Geochemical Exploration, Ravanj Lead Mine, Delijan, Iran
by Mostafa Nejadhadad, Batoul Taghipour and Alireza Karimzadeh Somarin
Minerals 2017, 7(11), 212; https://doi.org/10.3390/min7110212 - 3 Nov 2017
Cited by 5 | Viewed by 5444
Abstract
A geochemical exploration program was applied to recognize the anomalous geochemical haloes at the Ravanj lead mine, Delijan, Iran. Sampling of unweathered rocks were undertaken across rock exposures on a 10 × 10 meter grid (n = 302) as well as the accessible [...] Read more.
A geochemical exploration program was applied to recognize the anomalous geochemical haloes at the Ravanj lead mine, Delijan, Iran. Sampling of unweathered rocks were undertaken across rock exposures on a 10 × 10 meter grid (n = 302) as well as the accessible parts of underground mine A (n = 42). First, the threshold values of all elements were determined using the cut-off values used in the exploratory data analysis (EDA) method. Then, for further studies, elements with lognormal distributions (Pb, Zn, Ag, As, Cd, Co, Cu, Sb, S, Sr, Th, Ba, Bi, Fe, Ni and Mn) were selected. Robustness against outliers is achieved by application of central log ratio transformation to address the closure problems with compositional data prior to principle components analysis (PCA). Results of these analyses show that, in the Ravanj deposit, Pb mineralization is characterized by a Pb-Ba-Ag-Sb ± Zn ± Cd association. The supra-mineralization haloes are characterized by barite and tetrahedrite in a Ba- Th- Ag- Cu- Sb- As- Sr association and sub-mineralization haloes are comprised of pyrite and tetrahedrite, probably reflecting a Fe-Cu-As-Bi-Ni-Co-Mo-Mn association. Using univariate and multivariate geostatistical analyses (e.g., EDA and robust PCA), four anomalies were detected and mapped in Block A of the Ravanj deposit. Anomalies 1 and 2 are around the ancient orebodies. Anomaly 3 is located in a thin bedded limestone-shale intercalation unit that does not show significant mineralization. Drilling of the fourth anomaly suggested a low grade, non-economic Pb mineralization. Full article
Show Figures

Figure 1

Back to TopTop