Sign in to use this feature.

Years

Between: -

Subjects

remove_circle_outline
remove_circle_outline
remove_circle_outline
remove_circle_outline
remove_circle_outline
remove_circle_outline
remove_circle_outline

Journals

Article Types

Countries / Regions

Search Results (16)

Search Parameters:
Keywords = the trailing edge clearance

Order results
Result details
Results per page
Select all
Export citation of selected articles as:
18 pages, 3836 KB  
Article
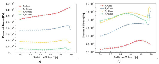
Investigation of Blade Root Clearance Flow Effects on Pressure Fluctuations in an Axial Flow Pump
by Fan Meng, Yanjun Li, Mingzhe Li and Chao Ning
Machines 2025, 13(8), 733; https://doi.org/10.3390/machines13080733 - 18 Aug 2025
Cited by 3 | Viewed by 687
Abstract
This study investigates the leakage vortex influence on pressure pulsation characteristics within a vertical axial flow pump. Three impeller configurations with blade root clearance (δ) of 2.7–8.0 mm were designed to analyze geometric effects on internal flow dynamics. Unsteady RANS simulations [...] Read more.
This study investigates the leakage vortex influence on pressure pulsation characteristics within a vertical axial flow pump. Three impeller configurations with blade root clearance (δ) of 2.7–8.0 mm were designed to analyze geometric effects on internal flow dynamics. Unsteady RANS simulations predicted flow structures under multiple operating conditions (0.8–1.2Qdes). Fast Fourier Transform (FFT) extracted frequency–domain and time–frequency characteristics of pressure pulsations in critical flow regions. Key results reveal: (1) δ enlargement expands low-pressure zones within blade channels due to enhanced leakage vortices; (2) leading-edge pulsation shows 8.2–11.7% reduction in peak-to-peak amplitude and fundamental frequency magnitude with increasing δ; (3) trailing-edge response exhibits non-monotonic behavior, with maximum amplitude at δ = 5.0 mm (42.2% increase at design flow). These findings demonstrate that blade root clearance optimization requires condition-dependent thresholds to balance leakage management and pulsation control. Full article
Show Figures

Figure 1

19 pages, 31306 KB  
Article
Cavitation Performance Analysis in the Runner Region of a Bulb Turbine
by Feng Zhou, Qifei Li, Lu Xin, Xiangyu Chen, Shiang Zhang and Yuqian Qiao
Processes 2025, 13(7), 2231; https://doi.org/10.3390/pr13072231 - 12 Jul 2025
Viewed by 782
Abstract
As a core component in renewable energy systems for grid regulation, hydropower units are increasingly exposed to flow conditions that elevate the risk of cavitation and erosion, posing significant challenges to the safe operation of flow-passage components. In this study, model testing and [...] Read more.
As a core component in renewable energy systems for grid regulation, hydropower units are increasingly exposed to flow conditions that elevate the risk of cavitation and erosion, posing significant challenges to the safe operation of flow-passage components. In this study, model testing and computational fluid dynamics (CFD) simulations are employed to investigate the hydraulic performance and cavitation behavior of a bulb turbine operating under rated head conditions and varying cavitation numbers. The analysis focuses on how changes in cavitation intensity affect flow characteristics and efficiency within the runner region. The results show that as the cavitation number approaches its critical value, the generation, growth, and collapse of vapor cavities increasingly disturb the main flow, causing a marked drop in blade hydraulic performance and overall turbine efficiency. Cavitation predominantly occurs on the blade’s suction side near the trailing edge rim and in the clearance zone near the hub, with bubble coverage expanding as the cavitation number decreases. A periodic inverse correlation between surface pressure and the cavitation area is observed, reflecting the strongly unsteady nature of cavitating flows. Furthermore, lower cavitation numbers lead to intensified pressure pulsations, aggravating flow unsteadiness and raising the risk of vibration. Full article
Show Figures

Figure 1

19 pages, 25980 KB  
Article
The Effect of Downhole Turbine Modeling Parameters on Mechanical Output Performance
by Xiaofeng Sun, Yanjie Tan, Xianyi Li, Chengyu Ding and Qiaobo Hu
Processes 2025, 13(2), 507; https://doi.org/10.3390/pr13020507 - 12 Feb 2025
Cited by 1 | Viewed by 1132
Abstract
Small-size turbine drilling tools have better application prospects in small borehole drilling and so on. Based on the SST model, the influence of a Φ73 mm turbine knuckle-shape parameters on the mechanical energy output characteristics was simulated, and the vortex structure of the [...] Read more.
Small-size turbine drilling tools have better application prospects in small borehole drilling and so on. Based on the SST model, the influence of a Φ73 mm turbine knuckle-shape parameters on the mechanical energy output characteristics was simulated, and the vortex structure of the turbine internal flow field was analyzed to find the law. First, the influence of leading-edge radius on the turbine internal flow field is concentrated on the rotor suction surface. Second, as with the axial clearance, there is a regular effect of the trailing-edge radius on the flow field in the rotor as a whole and in the middle and rear parts of the stator. Third, the change in the installation-staggering angle does not change the turbine output performance. The output performance is optimal when the leading-edge radius of the Φ73 mm turbine blade is 0.8 mm, the trailing-edge radius is 0.4 mm, and axial clearance is 6 mm. At the same time, the effects of rotational speed, displacement, and fluid viscosity on the output performance of the turbine were simulated, and the output performance of the turbine of this size was predicted under the conditions of low rotational speed, small displacement, and high fluid viscosity. Under the working conditions of conventional drilling parameters, the output pressure drop of a single-stage turbine can be up to 0.018 MPa or less, and the torque is more than 1.6 Nm. If 100–200-stage turbines are used as the power, the output torque can reach 150–300 Nm, which can meet the demand of rock-breaking in the mine. Full article
(This article belongs to the Section AI-Enabled Process Engineering)
Show Figures

Figure 1

18 pages, 2227 KB  
Review
TRAIL as a Warrior in Nano-Sized Trojan Horse: Anticancer and Anti-Metastatic Effects of Nano-Formulations of TRAIL in Cell Culture and Animal Model Studies
by Ammad Ahmad Farooqi, Assiya Turgambayeva, Gulnara Kamalbekova, Roza Suleimenova, Natalya Latypova, Sholpan Ospanova, Dinara Ospanova, Zhanat Abdikadyr and Sabit Zhussupov
Medicina 2024, 60(12), 1977; https://doi.org/10.3390/medicina60121977 - 1 Dec 2024
Cited by 2 | Viewed by 1652
Abstract
Cancer is a therapeutically challenging and genomically complicated disease. Pioneering studies have uncovered multifaceted aspects of cancer, ranging from intra- and inter-tumor heterogeneity, drug resistance, and genetic/epigenetic mutations. Loss of apoptosis is another critical aspect that makes cancer cells resistant to death. A [...] Read more.
Cancer is a therapeutically challenging and genomically complicated disease. Pioneering studies have uncovered multifaceted aspects of cancer, ranging from intra- and inter-tumor heterogeneity, drug resistance, and genetic/epigenetic mutations. Loss of apoptosis is another critical aspect that makes cancer cells resistant to death. A substantial fraction of mechanistic information gleaned from cutting-edge studies has enabled researchers to develop near-to-complete resolution of the apoptotic pathway. Within the exciting frontiers of apoptosis, TRAIL (tumor necrosis factor-related apoptosis-inducing ligand) has garnered phenomenal appreciation by interdisciplinary researchers principally because of its unique capability to target cancer cells. TRAIL-based monotherapies and combinatorial therapies have reached phase II and phase III clinical trials. Rapidly upgrading the list of clinical trials substantiates the clinically valuable role of TRAIL-based therapeutics in cancer therapy. However, there is a growing concern about the poor bioavailability and rapid clearance of TRAIL-based therapeutics. Excitingly, the charismatic field of nanotechnology offers solutions for different problems, and we have witnessed remarkable breakthroughs in the efficacy of TRAIL-based therapeutics using nanotechnological approaches. In this review, we have attempted to provide a summary about different nanotechnologically assisted delivery methods for TRAIL-based therapeutics in cell culture studies and animal model studies for the inhibition/prevention of cancer. Full article
Show Figures

Figure 1

19 pages, 10286 KB  
Article
Numerical Analysis of Energy Loss in Stall Zone for Full Tubular Pump Based on Entropy Generation Theory
by Lijian Shi, Yuhang Jiang, Wei Shi, Yi Sun, Fengquan Qiao, Fangping Tang and Tian Xu
J. Mar. Sci. Eng. 2023, 11(5), 895; https://doi.org/10.3390/jmse11050895 - 22 Apr 2023
Cited by 5 | Viewed by 1915
Abstract
As a low-head and non-drive pump, the head reduction and stall advance are the key factors that restrict the popularization and application of the full tubular pump (FTP). In this paper, the shear stress transport (SST) k-ω turbulence model is used for the [...] Read more.
As a low-head and non-drive pump, the head reduction and stall advance are the key factors that restrict the popularization and application of the full tubular pump (FTP). In this paper, the shear stress transport (SST) k-ω turbulence model is used for the numerical calculation of the FTP. Additionally, based on the entropy generation theory, the energy loss and main distribution zones of the FTP under all working conditions are analyzed, and the mechanism of inducing its stall advance is explored. By comparison, we found that there is little difference between the numerical simulation results and the model test. Turbulence entropy generation has a high proportion under small flow conditions, which is mainly reflected in the outlet flow separation zone of the suction surface of the impeller blade, the guide vane inlet zone where inlet deviation exists, and the trailing edge of the guide vane where the flow separation exists. Compared with the axial flow pump (AFP), when the flow rate decreases, the clearance reflow between the stator and rotor induces the deterioration of the flow at the impeller inlet, and the turbulent entropy generation in the impeller channel increases rapidly, making the FTP enter the stall zone ahead of time. The clearance backflow affects the flow pattern of the inlet pipe, making the turbulence entropy generation in the outlet area of the inlet pipe increase. The total entropy generation in the stator–rotor region is little affected by the pump flow conditions, and it is mainly affected by different stator–rotor backflow clearance dimensions. This study can provide a reference for exploring the energy loss of the FTP and revealing its stall characteristics. Full article
Show Figures

Figure 1

14 pages, 4164 KB  
Article
Flow Characteristics and Loss Models of the Transonic Radial Turbine
by Cheng Zhu, Weilin Zhuge and Yangjun Zhang
Appl. Sci. 2022, 12(5), 2453; https://doi.org/10.3390/app12052453 - 26 Feb 2022
Viewed by 2588
Abstract
A hydrogen turbo hybrid power system has the significant advantages of zero carbon emissions, high efficiency and high reliability. The need to increase the power density of hydrogen turbo hybrid power systems and improve the adaptability of turbines over a wide range of [...] Read more.
A hydrogen turbo hybrid power system has the significant advantages of zero carbon emissions, high efficiency and high reliability. The need to increase the power density of hydrogen turbo hybrid power systems and improve the adaptability of turbines over a wide range of expansion ratios has encouraged the study of transonic turbines. This paper is aimed at analyzing the flow characteristics and developing the loss models of a transonic turbine. The main losses for a subsonic radial turbine are usually divided into four parts: incidence loss, passage loss, tip clearance loss and trailing edge loss. Nevertheless, when the expansion ratio of a turbine is greater than about 2.6, the turbine will choke and work in transonic conditions. A shock wave will occur at the trailing edge, which will cause a lot of losses. The loss caused by the shock wave at the trailing edge is ignored by previous loss models. This paper develops a shock wave-induced loss model to predict the performance in transonic conditions more accurately. With the developed shock wave-induced loss model, the predicted efficiency deviation in transonic conditions decreases from 10% to 3.5% maximally. Full article
Show Figures

Figure 1

18 pages, 5730 KB  
Article
Verification and Validation of Large Eddy Simulation for Tip Clearance Vortex Cavitating Flow in a Waterjet Pump
by Chengzao Han, Yun Long, Mohan Xu and Bin Ji
Energies 2021, 14(22), 7635; https://doi.org/10.3390/en14227635 - 15 Nov 2021
Cited by 12 | Viewed by 2392
Abstract
In this paper, large eddy simulation (LES) was adopted to simulate the cavitating flow in a waterjet pump with emphasis on the tip clearance flow. The numerical results agree well with the experimental observations, which indicates that the LES method can make good [...] Read more.
In this paper, large eddy simulation (LES) was adopted to simulate the cavitating flow in a waterjet pump with emphasis on the tip clearance flow. The numerical results agree well with the experimental observations, which indicates that the LES method can make good predictions of the unsteady cavitating flows around a rotor blade. The LES verification and validation (LES V&V) analysis was used to reveal the influence of cavitation on the flow structures. It can be found that the LES errors in cavitating region are larger than those in the non-cavitating area, which is mainly caused by more complicated cavitating and tip clearance flow structures. Further analysis of the interaction between the cavitating and vortex flow by the relative vorticity transport equation shows that the stretching, dilatation and baroclinic torque terms have major effects on the generation and transport of vortex structure. Meanwhile the Coriolis force term and viscosity term also exacerbate the vorticity transport in the cavitating region. In addition, the flow loss characteristics of this pump are also revealed by the entropy production theory. It is indicated that the tip clearance flow and trailing edge wake flow cause the viscous dissipation and turbulent dissipation, and the cavitation can further enhance the instability of the flow field in the tip clearance. Full article
(This article belongs to the Special Issue Advances in Pumped Storage Hydraulic System)
Show Figures

Graphical abstract

17 pages, 6634 KB  
Article
Effect of Tip Clearance on Helico-Axial Flow Pump Performance at Off-Design Case
by Nengqi Kan, Zongku Liu, Guangtai Shi and Xiaobing Liu
Processes 2021, 9(9), 1653; https://doi.org/10.3390/pr9091653 - 13 Sep 2021
Cited by 14 | Viewed by 3300
Abstract
To reveal the effect of tip clearance on the flow behaviors and pressurization performance of a helico-axial flow pump, the standard k-ε turbulence model is employed to simulate the flow characteristics in the self-developed helico-axial flow pump. The pressure, streamlines and turbulent kinetic [...] Read more.
To reveal the effect of tip clearance on the flow behaviors and pressurization performance of a helico-axial flow pump, the standard k-ε turbulence model is employed to simulate the flow characteristics in the self-developed helico-axial flow pump. The pressure, streamlines and turbulent kinetic energy in a helico-axial flow pump are analyzed. Results show that the tip leakage flow (TLF) forms a tip-separation vortex (TSV) when it enters the tip clearance and forms a tip-leakage vortex (TLV) when it leaves the tip clearance. As the blade tip clearance increases, the TLV moves along the blade from the leading edge (LE) to trailing edge (TE). At the same time, the entrainment between the TLV and the main flow deteriorates the flow pattern in the pump and causes great hydraulic loss. In addition, the existence of tip clearance also increases the possibility of TLV cavitation and has a great effect on the pressurization performance of the helico-axial flow pump. The research results provide the theoretical basis for the structural optimization design of the helico-axial flow pump. Full article
Show Figures

Figure 1

20 pages, 24219 KB  
Article
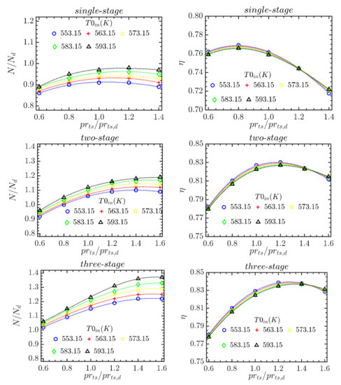
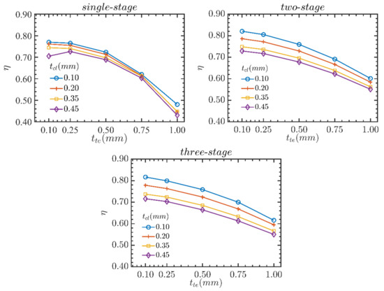
Preliminary Design of an Axial-Flow Turbine for Small-Scale Supercritical Organic Rankine Cycle
by Ningjian Peng, Enhua Wang and Hongguang Zhang
Energies 2021, 14(17), 5277; https://doi.org/10.3390/en14175277 - 25 Aug 2021
Cited by 12 | Viewed by 3313
Abstract
A small-scale organic Rankine cycle (ORC) with kW-class power output has a wide application prospect in industrial low-grade energy utilization. Increasing the expansion pressure ratio of small-scale ORC is an effective approach to improve the energy efficiency. However, there is a lack of [...] Read more.
A small-scale organic Rankine cycle (ORC) with kW-class power output has a wide application prospect in industrial low-grade energy utilization. Increasing the expansion pressure ratio of small-scale ORC is an effective approach to improve the energy efficiency. However, there is a lack of suitable expander for small-scale ORC that can operate with a high efficiency under the condition of large expansion pressure ratio and small mass flow rate. Aiming at the design of high-efficiency axial-flow turbine in small ORC system, this paper investigates the performance of a kW-class axial-flow turbine and proposes a method for efficiency improvement. First, the preliminary design of an axial-flow turbine is conducted to optimize the geometric parameters and aerodynamic parameters. Then, the effects of tip clearance and trailing edge thickness on turbine performance are analyzed under design and off-design conditions. The results show that the efficiency of the two-stage or three-stage turbine is evidently better than that of the single-stage one. The output power and efficiency of the three-stage turbine are close to that of the two-stage turbine while the speed is lower. Meanwhile, the trailing edge loss and leakage loss can be significantly reduced via reducing the trailing edge thickness and tip clearance, and thus the turbine efficiency can be improved significantly. The estimated efficiency arrives at 0.82, which is 33% higher than that of the conventional turbine. Considering the limitation of turbine speed, three-stage axial-flow turbine is a feasible choice to improve turbine efficiency in a small-scale ORC. Full article
Show Figures

Graphical abstract

29 pages, 18195 KB  
Article
Numerical Investigation of Performance and Flow Characteristics of a Tunnel Ventilation Axial Fan with Thickness Profile Treatments of NACA Airfoil
by Yong-In Kim, Sang-Yeol Lee, Kyoung-Yong Lee, Sang-Ho Yang and Young-Seok Choi
Energies 2020, 13(21), 5831; https://doi.org/10.3390/en13215831 - 8 Nov 2020
Cited by 7 | Viewed by 4898
Abstract
An axial flow fan, which is applied for ventilation in underground spaces such as tunnels, features a medium–large size, and most of the blades go through the casting process in consideration of mass production and cost. In the casting process, post-work related to [...] Read more.
An axial flow fan, which is applied for ventilation in underground spaces such as tunnels, features a medium–large size, and most of the blades go through the casting process in consideration of mass production and cost. In the casting process, post-work related to roughness treatment is essential, and this is a final operation to determine the thickness profile of an airfoil which is designed from the empirical equation. In this study, the effect of the thickness profile of an airfoil on the performance and aerodynamic characteristics of the axial fan was examined through numerical analysis with the commercial code, ANSYS CFX. In order to conduct the sensitivity analysis on the effect of the maximum thickness position for each span on the performance at the design flow rate, the design of experiments (DOE) method was applied with a full factorial design as an additional attempt. The energy loss near the shroud span was confirmed with a quantified value for the tip leakage flow (TLF) rate through the tip clearance, and the trajectory of the TLF was observed on the two-dimensional (2D) coordinates system. The trajectory of the TLF matched well with the tendency of the calculated angle and correlated with the intensity of the turbulence kinetic energy (TKE) distribution. However, a correlation between the TLF rate and TKE could not be established. Meanwhile, the Q-criterion method was applied to specifically initiate the distribution of flow separation and inlet recirculation. The location accompanying the energy loss was mutually confirmed with the axial coordinates. Additionally, the nonuniform blade loading distribution, which was more severe as the maximum thickness position moved toward the leading edge (LE), could be improved significantly as the thickness near the trailing edge (TE) became thinner. The validation for the numerical analysis results was performed through a model-sized experimental test. Full article
Show Figures

Figure 1

24 pages, 9523 KB  
Article
Dynamic Analysis of Cavitation Tip Vortex of Pump-Jet Propeller Based on DES
by Jianping Yuan, Yang Chen, Longyan Wang, Yanxia Fu, Yunkai Zhou, Jian Xu and Rong Lu
Appl. Sci. 2020, 10(17), 5998; https://doi.org/10.3390/app10175998 - 29 Aug 2020
Cited by 41 | Viewed by 4865
Abstract
When a pump-jet propeller rotates at high speeds, a tip vortex is usually generated in the tip clearance region. This vortex interacts with the main channel fluid flow leading to the main energy loss of the rotor system. Moreover, operating at a high [...] Read more.
When a pump-jet propeller rotates at high speeds, a tip vortex is usually generated in the tip clearance region. This vortex interacts with the main channel fluid flow leading to the main energy loss of the rotor system. Moreover, operating at a high rotational speed can cause cavitation near the blades which may jeopardize the propulsion efficiency and induce noise. In order to effectively improve the propulsion efficiency of the pump-jet propeller, it is mandatory to research more about the energy loss mechanism in the tip clearance area. Due to the complex turbulence characteristics of the blade tip vortex, the widely used Reynolds averaged Navier–Stokes (RANS) method may not be able to accurately predict the multi-scale turbulent flow in the tip clearance. In this paper, an unsteady numerical simulation was conducted on the three-dimensional full flow field of a pump-jet propeller based on the DES (detached-eddy-simulation) turbulence model and the Z-G-B (Zwart–Gerber–Belamri) cavitation model. The simulation yielded the vortex shape and dynamic characteristics of the vortex core and the surrounding flow field in the tip clearance area. After cavitation occurred, the influence of cavitation bubbles on tip vortices was also studied. The results revealed two kinds of vortices in the tip clearance area, namely tip leakage vortex (TLV) and tip separation vortex (TSV). Slight cavitation at J = 1.02 led to low-frequency and high-frequency pulsation in the TLV vortex core. This occurrence of cavitation promotes the expansion and contraction of the tip vortex. Further, when the advance ratio changes into J = 0.73, a third type of vortex located between TLV and TSV appeared at the trailing edge which runs through the entire rotational cycle. This study has presented the dynamic characteristics of tip vortex including the relationship between cavitation bubbles and TLV inside the pump-jet propeller, which may provide a reference for the optimal design of future pump-jet propellers. Full article
(This article belongs to the Section Marine Science and Engineering)
Show Figures

Figure 1

20 pages, 8901 KB  
Article
Uncertainty Quantification Methodologies Applied to the Rotor Tip Clearance Effect in a Twin Scroll Radial Turbine
by Carlo Cravero and Andrea Ottonello
Fluids 2020, 5(3), 114; https://doi.org/10.3390/fluids5030114 - 17 Jul 2020
Cited by 5 | Viewed by 2491
Abstract
In the last three decades computer simulation tools have achieved wide spread use in the design and analysis of engineering devices. This has shortened the overall product design cycle (physical experiments may be impossible during early design stages) and it has also provided [...] Read more.
In the last three decades computer simulation tools have achieved wide spread use in the design and analysis of engineering devices. This has shortened the overall product design cycle (physical experiments may be impossible during early design stages) and it has also provided better understanding of the operating behavior of the systems under investigation. As a consequence numerical simulation have led to a reduction of physical prototyping and to lower costs for manufacturing production chains. Despite this success, it remains difficult to provide objective confidence levels in quantitative information derived from numerical predictions. The complexity arises from the amount of uncertainties related to the inputs of any computation attempting to represent a physical system. This paper focuses on geometrical sources of uncertainty in the field of CFD applied to twin scroll radial turbines. In particular it has been investigated the effect of uncertainties on tip clearance values at rotor blade leading edge and trailing edge on selected turbine performance parameters. The analysis shows the use of the Surrogate-based uncertainty quantification technique that has been setup by the authors in the Dakota® environment. The polynomial chaos expansion method has been applied to the same case. The comparison of the results coming from the different approaches and the discussion of the pros and cons related to each technique lead to interesting conclusions, which are proposed as guidelines for future UQ applications on the theme of CFD applied to radial turbines. Full article
(This article belongs to the Special Issue Recent Numerical Advances in Fluid Mechanics, Volume II)
Show Figures

Figure 1

15 pages, 9889 KB  
Article
Focusing Schlieren Visualization of Transonic Turbine Tip-Leakage Flows
by Maximilian Passmann, Stefan aus der Wiesche and Franz Joos
Int. J. Turbomach. Propuls. Power 2020, 5(1), 1; https://doi.org/10.3390/ijtpp5010001 - 2 Jan 2020
Cited by 20 | Viewed by 7348
Abstract
This paper presents a focusing schlieren system designed for the investigation of transonic turbine tip-leakage flows. In the first part, the functional principle and the design of the system are presented. Major design considerations and necessary trade-offs are discussed. The key optical properties, [...] Read more.
This paper presents a focusing schlieren system designed for the investigation of transonic turbine tip-leakage flows. In the first part, the functional principle and the design of the system are presented. Major design considerations and necessary trade-offs are discussed. The key optical properties, e.g., depth of focus, are verified by means of a simple bench test. In the second part, results of an idealized tip-clearance model as well as linear cascade tests at engine representative Reynolds and Mach numbers are presented and discussed. The focusing schlieren system, designed for minimum depth of focus, has been found to be well suited for the investigation of three-dimensional transonic flow fields in turbomachinery applications. The schlieren images show the origin and growth of the tip-leakage vortex on the blade suction side. A complex shock system was observed in the tip region, and the tip-leakage vortex was found to interact with the suction side part of the trailing edge shock system. The results indicate that transonic vortex shedding is suppressed in the tip region at an exit Mach number around M 2 , i s = 0.8. Full article
Show Figures

Figure 1

22 pages, 9946 KB  
Article
Numerical Analysis of Mechanical Energy Dissipation for an Axial-Flow Pump Based on Entropy Generation Theory
by Simin Shen, Zhongdong Qian and Bin Ji
Energies 2019, 12(21), 4162; https://doi.org/10.3390/en12214162 - 31 Oct 2019
Cited by 50 | Viewed by 3303
Abstract
Mechanical energy dissipation is a major problem affecting hydraulic machinery especially under partial-load conditions. Owing to limitations of traditional methods in evaluating mechanical energy dissipation, entropy generation theory is introduced to study mechanical energy dissipation with varying discharge and tip clearance intuitively through [...] Read more.
Mechanical energy dissipation is a major problem affecting hydraulic machinery especially under partial-load conditions. Owing to limitations of traditional methods in evaluating mechanical energy dissipation, entropy generation theory is introduced to study mechanical energy dissipation with varying discharge and tip clearance intuitively through numerical simulations in an axial-flow pump. Results show that the impeller and diffuser are the main domains of mechanical energy dissipation, respectively accounting for 35.32%–55.51% and 32.61%–20.42% of mechanical energy dissipation throughout the flow passage. The mechanical energy dissipation of the impeller has a strong relation with the hump characteristic and becomes increasingly important with decreasing discharge. Areas of high turbulent dissipation in the impeller are mainly concentrated near the blades’ suction sides, and these regions, especially areas near the shroud, extend with decreasing discharge. When the pump enters the hump region, the distributions of turbulent dissipation near the shroud become disordered and expand towards the impeller’s inlet side. Unstable flows, like flow separation and vortices, near the blades’ suction sides lead to the high turbulent dissipation in the impeller and hump characteristic. Turbulent dissipation at the tip decreases from the blade leading edge to trailing edge, and regions of high dissipation distribute near the leading edge of the blade tip side. An increase in tip clearance for the same discharge mainly increases areas of high turbulent dissipation near the shroud and at the tip of the impeller, finally reducing pump performance. Full article
Show Figures

Figure 1

14 pages, 5649 KB  
Article
Influence of the Tip Clearance on the Aeroelastic Characteristics of a Last Stage Steam Turbine
by Tianrui Sun, Anping Hou, Mingming Zhang and Paul Petrie-Repar
Appl. Sci. 2019, 9(6), 1213; https://doi.org/10.3390/app9061213 - 22 Mar 2019
Cited by 7 | Viewed by 3985
Abstract
In this paper, the tip clearance effects on the aeroelastic stability of a last-stage steam turbine model are investigated. Most of the unsteady aerodynamic work contributing to flutter of the long blades of the last-stage of a steam turbine is done near the [...] Read more.
In this paper, the tip clearance effects on the aeroelastic stability of a last-stage steam turbine model are investigated. Most of the unsteady aerodynamic work contributing to flutter of the long blades of the last-stage of a steam turbine is done near the tip of the blade. The flow in this region is transonic and sensitive to geometric parameters such as the tip clearance height. The KTH Steam Turbine Flutter Test Case was chosen as the test case, which is an open geometry with similar parameters to modern free-standing last-stage steam turbines. The energy method based on 3D URANS simulation was applied to investigate the flutter characteristics of the rotor blade with five tip gap height varying from 0–5% of the chord length. The numerical results show that the global aerodynamic damping for the least stable inter-blade phase angle (IBPA) increases with the tip gap height. Three physical mechanisms are found to cause this phenomenon. The primary cause of the variation in total aerodynamic damping is the interaction between tip clearance vortex and the trailing edge shock from the adjacent blade. Another mechanism is the acceleration of the flow near the aft side of the suction surface in the tip region due to the well-developed tip leakage vortex when the tip clearance height is greater than 2.5% of chord. This causes a stabilizing effect at the least stable IBPA. The third mechanism is the oscillation of the tip leakage vortex due to the blade vibration. This has a negative influence on the aeroelastic stability. Full article
(This article belongs to the Section Mechanical Engineering)
Show Figures

Figure 1

Back to TopTop