Sign in to use this feature.

Years

Between: -

Subjects

remove_circle_outline
remove_circle_outline
remove_circle_outline
remove_circle_outline
remove_circle_outline
remove_circle_outline
remove_circle_outline
remove_circle_outline
remove_circle_outline

Journals

remove_circle_outline
remove_circle_outline
remove_circle_outline
remove_circle_outline
remove_circle_outline
remove_circle_outline
remove_circle_outline
remove_circle_outline
remove_circle_outline
remove_circle_outline
remove_circle_outline
remove_circle_outline
remove_circle_outline
remove_circle_outline
remove_circle_outline
remove_circle_outline

Article Types

Countries / Regions

remove_circle_outline
remove_circle_outline
remove_circle_outline
remove_circle_outline
remove_circle_outline

Search Results (2,116)

Search Parameters:
Keywords = the digital image correlation

Order results
Result details
Results per page
Select all
Export citation of selected articles as:
15 pages, 3365 KB  
Article
Video Extensometer Characterization of Mechanical Properties in Modified Fibreboard Layers
by Marcin Wołpiuk, Bartosz Pałubicki, Marek Wieruszewski and Marek Kociszewski
Forests 2026, 17(1), 45; https://doi.org/10.3390/f17010045 - 28 Dec 2025
Viewed by 27
Abstract
The resistance of screws to being pulled out of wood-based panels depends largely on the mechanical properties of the substrate. The properties of medium-density fibreboard (MDF) are locally reinforced in the area where the fastener is embedded. The aim of the study is [...] Read more.
The resistance of screws to being pulled out of wood-based panels depends largely on the mechanical properties of the substrate. The properties of medium-density fibreboard (MDF) are locally reinforced in the area where the fastener is embedded. The aim of the study is to determine the effect of using polyurethane (PUR) adhesives as a reinforcing agent. The aim of the study is to determine the elastic properties of individual layers of MDF boards modified with a polyurethane agent (PUR 555.6) applied to the outer and inner layers of the material. Deformations during axial compression of multilayer samples were measured using a digital optical video extensometer with digital image correlation (DIC). The reinforced board showed a significant increase in stiffness in all main orthotropic directions. The stiffness of the inner layers increased by approximately 100%–160%, while that of the outer layers increased by 30%–60%. The shear modulus increased by 60%–70% in the inner layers and by up to 45% in the outer layers. The results confirm the effectiveness of the optical video extensometer method as a fast and reliable technique for determining the mechanical properties of modified layered wood composites. Full article
Show Figures

Figure 1

20 pages, 6555 KB  
Article
Effect of Strain Rate on the Formability Prediction of Cold-Rolled DX56D+Z100-M-C-O Steel Sheets
by Vít Novák, František Tatíček, Ondřej Stejskal, Tomasz Trzepieciński and Krzysztof Żaba
Materials 2026, 19(1), 99; https://doi.org/10.3390/ma19010099 - 27 Dec 2025
Viewed by 83
Abstract
Formability testing is a fundamental method for determining sheet metal’s susceptibility to deep drawing operations. This article presents the results of formability analysis of several batches of 0.7 mm thick cold-rolled DX56D+Z100-M-C-O steel sheets. As part of the preliminary tests, mechanical properties of [...] Read more.
Formability testing is a fundamental method for determining sheet metal’s susceptibility to deep drawing operations. This article presents the results of formability analysis of several batches of 0.7 mm thick cold-rolled DX56D+Z100-M-C-O steel sheets. As part of the preliminary tests, mechanical properties of the tested steel sheets were determined. The ARAMIS digital image correlation system was used to determine the formability of sheet metal during the hemispherical punch stretching test. The stretching tests were conducted over a wide range of strain rate variations between 2 mm/min and 17 mm/min. A total of 540 individual geometry measurements were taken to analyze the test material’s formability. It was observed that with increasing strain rate, the strength properties increased, while the plastic properties decreased. From the perspective of formability, the margin of plasticity (the ratio of yield strength to tensile strength) deteriorated with increasing strain rate in tensile tests. Forming limit curves revealed that at higher strain rates, the metal sheet’s formability decreased. A reduction in the safety margins with an increasing hemispherical punch stretching test speed was also observed. Full article
Show Figures

Graphical abstract

12 pages, 838 KB  
Article
Calcification of the Internal Carotid Artery and Its Influence on the Severity of Cerebral Vasospasm in Aneurysmal Subarachnoid Hemorrhage
by Adrian Engel, Laurèl Rauschenbach, Argtim Rexhepi, Meltem Gümüs, Christoph Rieß, Jan Rodemerk, Li Song, Yan Li, Börge Schmidt, Yahya Ahmadipour, Philipp Dammann, Marvin Darkwah Oppong, Ulrich Sure and Ramazan Jabbarli
J. Clin. Med. 2026, 15(1), 168; https://doi.org/10.3390/jcm15010168 - 25 Dec 2025
Viewed by 135
Abstract
Background/Objectives: Cerebral vasospasm (CV) is a serious complication of aneurysmal subarachnoid hemorrhage (aSAH). Carotid siphon calcification (CSC) has been associated with a reduced risk of CV. This study investigates the influence of CSC on the clinical and radiographic severity of CV and functional [...] Read more.
Background/Objectives: Cerebral vasospasm (CV) is a serious complication of aneurysmal subarachnoid hemorrhage (aSAH). Carotid siphon calcification (CSC) has been associated with a reduced risk of CV. This study investigates the influence of CSC on the clinical and radiographic severity of CV and functional outcome of aSAH. Methods: A total of 475 patients with aSAH treated at the University Hospital Essen (2008–2016) were analyzed retrospectively. CSC was assessed using the Woodcock score. Study endpoints were the CV severity in digital subtraction angiography, presence of CV in transcranial Doppler (TCD) ultra-sonography, occurrence of delayed ischemic neurological deficit (DIND) and the functional outcome at 6 months measured with the modified Rankin scale. Results: CSC was confirmed as an independent predictor for the occurrence (aOR 0.76; 95% CI 0.60–0.97; p = 0.025) and severity (RC −0.14; 95% CI −0.24 to −0.04; p = 0.006) of angiographic CV and development of DIND (aOR 0.76; 95% CI 0.59–0.98; p = 0.034). Only the duration (in days: RC −0.43; 95% CI −0.77 to −0.10; p = 0.010) but not the presence (aOR 0.87; 95% CI 0.68 to 1.11; p = 0.265) and severity (cerebral blood flow, in cm/s: RC +1.57; 95% CI −7.45 to +10.58; p = 0.731) of TCD CV was associated with CSC. Finally, the increasing levels of CSC were related to poorer 6-month functional outcome (RC +0.12; 95% CI +0.05 to +0.18; p < 0.001). Conclusions: CSC appears to be protective against angiographic CV and DIND, but correlates with worse overall outcome, suggesting that atherosclerosis, represented by CSC, affects cerebrovascular regulation and overall prognosis. We suggest careful evaluation of primary imaging studies for markers of atherosclerosis to identify patients at risk for CV and patients with low risk for CV but still at high risk for poor outcome. Full article
Show Figures

Figure 1

18 pages, 5536 KB  
Article
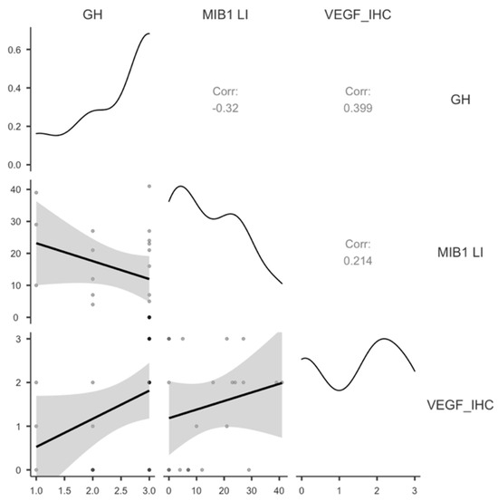
Exploring the Dynamic Interaction Between Pituitary Neuroendocrine Tumors (Pit-NETs) Cells and Their Angiogenic Microenvironment by Using the MIB1 Labeling Index, VEGF Expression and Digital Image Analysis
by Mihaela Cozma, Anca Maria Cimpean, Mihail Parnov, Ana Silvia Corlan, Silvia Stratulat, Paula Fala and Eugen Melnic
Curr. Issues Mol. Biol. 2026, 48(1), 27; https://doi.org/10.3390/cimb48010027 - 25 Dec 2025
Viewed by 99
Abstract
One controversial issue in pituitary pathology is the simultaneous proliferation of PitNETs and endothelial cells. No previous studies have compared the MIB1 Labeling Index (MIB1 LI) of PitNETs and stromal endothelial compartments and its connection with VEGF protein and gene expression. Simultaneous PitNETs [...] Read more.
One controversial issue in pituitary pathology is the simultaneous proliferation of PitNETs and endothelial cells. No previous studies have compared the MIB1 Labeling Index (MIB1 LI) of PitNETs and stromal endothelial compartments and its connection with VEGF protein and gene expression. Simultaneous PitNETs proliferation index assessment in tumor and endothelial cells is related to VEGF protein and gene expression, and by using the automated QuPath platform for digital image analysis (DIA), it can be determined whether this dual proliferation specifically characterizes certain PitNETs subtypes. A total of 109 PitNETs were immunostained for endothelial cells (CD34) and proliferation (MIB1). VEGF was assessed by using IHC and RNA scopes. QuPath_DIA measured hormone-dependent MIB1 nuclear expression in tumor and stromal endothelial cells. MIB1 LI correlated with VEGF_mRNA and protein expression. PRL-secreting and non-functioning PitNETs had a high MIB1 LI in stromal endothelial cells. MIB1-positive tumor cell (%MIB1 LI.T) and endothelial cell (%MIB1 LI.E) percentages were substantially correlated (p = 0.01). The profiles of VEGF and hormones significantly and heterogeneously impact the MIB1-LI of tumor and endothelial cells. Tumor–endothelial cell proliferative interaction is specific to PRL-secreting and non-functioning PitNETs. These findings suggest that digital analysis of MIB1 and VEGF expression may serve as a valuable tool for risk stratification in PitNETs. Full article
(This article belongs to the Section Biochemistry, Molecular and Cellular Biology)
Show Figures

Figure 1

13 pages, 1801 KB  
Case Report
A Ruptured Tri-Lobulated ICA–PCom Aneurysm Presenting with Preserved Neurological Function: Case Report and Clinical–Anatomical Analysis
by Stefan Oprea, Cosmin Pantu, Alexandru Breazu, Octavian Munteanu, Adrian Vasile Dumitru, Mugurel Petrinel Radoi, Daniel Costea and Andra Ioana Baloiu
Diagnostics 2026, 16(1), 73; https://doi.org/10.3390/diagnostics16010073 - 25 Dec 2025
Viewed by 134
Abstract
Background and Clinical Significance: Although rupture of aneurysms at the internal carotid-posterior communicating artery (ICA-PCom) junction accounts for a small percentage of all ruptured intracranial aneurysms, they are clinically relevant due to their proximity to perforator-rich cisterns, the optic-carotid-oculomotor pathways and flow-diverting zones, [...] Read more.
Background and Clinical Significance: Although rupture of aneurysms at the internal carotid-posterior communicating artery (ICA-PCom) junction accounts for a small percentage of all ruptured intracranial aneurysms, they are clinically relevant due to their proximity to perforator-rich cisterns, the optic-carotid-oculomotor pathways and flow-diverting zones, as well as their high likelihood for causing early neurological instability. Additionally, ruptured ICA-PCom aneurysms that have multiple lobulations are associated with increased variability in wall shear stress, local inflammatory remodeling and higher propensity for rupture at smaller sizes compared to other types of aneurysms. Due to the rapidity of early physiological destabilization in most patients with ruptured ICA-PCom aneurysms, clinical–anatomical correlations in these cases are often obscured by neurological deterioration; therefore, the presentation of this patient provides a unique opportunity to correlate the minimal early symptoms, tri-lobulation of the aneurysm and confined cisternal hemorrhage, to better understand rupture behavior, surgical decision-making in an anatomically challenging area, and postoperative recovery. Case Presentation: A 48-year-old hypertensive female experienced an acute “thunderclap” headache accompanied by intense photophobia and focal meningeal irritation, but, unexpectedly, retained a normal neurologic examination. She did exhibit some minor ocular motor micro-latencies, early cortical attentional strain and lateralized pain sensation that suggested localized cisternal involvement despite lack of generalized neurologic impairment. Digital subtraction angiography and three-dimensional CT angiography revealed a ruptured, tri-lobulated aneurysm originating from the communicating portion of the left internal carotid artery proximal to its origin from the posterior communicating artery, oriented toward the perimesencephalic cisterns. The aneurysm was surgically clipped using a standard left pterional craniotomy with direct visualization, after careful dissection through the carotid and optic windows to preserve the anterior choroidal artery, oculomotor nerve, and surrounding perforators. The neck of the aneurysm was reconstructed with a single straight clip, without compromise to the parent vessel lumen. The patient had an uneventful postoperative course without vasospasm or neurologic deficit. At both 3 and 9 months postoperatively the patient remained free of clinical neurologic deficit, and imaging demonstrated continued aneurysm exclusion, preserved ICA-PCom anatomy, and no evidence of delayed ischemic injury or hydrocephalus. Conclusions: The goal of this report is to demonstrate how a ruptured, morphologically complex ICA-PCom aneurysm may present with preserved neurologic function, thereby enabling the study of clinical–anatomical associations before secondary injury mechanisms intervene. The relationship between the configuration of the patient’s symptoms, geometry of the aneurysm and pattern of hemorrhage within the cisterns offers insight into a rare rupture pattern observed during routine clinical experience. Through complete anatomical analysis, timely microsurgical reconstruction and consistent follow-up, the authors were able to achieve long-term recovery of this particular patient. Continued advancements in vascular imaging techniques, aneurysmal wall modeling, and postoperative monitoring will likely help clarify the underlying mechanism(s) responsible for such presentations. Full article
(This article belongs to the Special Issue Cerebrovascular Lesions: Diagnosis and Management, 2nd Edition)
Show Figures

Figure 1

47 pages, 2595 KB  
Review
From Pixels to Predictions: Integrating Machine Learning and Digital Image Correlation for Damage Identification in Engineering Materials
by Mostafa Sadeghian, Arvydas Palevicius, Jokubas Sablinskas and Paulius Griskevicius
Materials 2026, 19(1), 77; https://doi.org/10.3390/ma19010077 - 24 Dec 2025
Viewed by 198
Abstract
Damage assessment in engineering materials is essential for structural reliability and safety. While traditional imaging techniques and Digital Image Correlation (DIC) provide valuable insights into deformation and crack evolution, they often require significant manual effort and suffer from accuracy limitations under complex loading [...] Read more.
Damage assessment in engineering materials is essential for structural reliability and safety. While traditional imaging techniques and Digital Image Correlation (DIC) provide valuable insights into deformation and crack evolution, they often require significant manual effort and suffer from accuracy limitations under complex loading conditions. Recent advances in Artificial Intelligence (AI), particularly Machine Learning (ML) and Deep Learning (DL), have enabled the development of automated, high-resolution, and near real-time damage assessment techniques. This paper reviews methods that integrate ML with DIC to assess damage in composites, metals, and other engineering materials. We compare conventional ML models with modern DL architectures, discuss key challenges, and propose future research directions. The findings demonstrate that coupling DIC with ML significantly improves the accuracy, speed, and reliability of damage identification in engineering materials. Full article
Show Figures

Graphical abstract

23 pages, 12620 KB  
Article
The Color Image Watermarking Algorithm Based on Quantum Discrete Wavelet Transform and Chaotic Mapping
by Yikang Yuan, Wenbo Zhao, Zhongyan Li and Wanquan Liu
Symmetry 2026, 18(1), 33; https://doi.org/10.3390/sym18010033 - 24 Dec 2025
Viewed by 199
Abstract
Quantum watermarking is a technique that embeds specific information into a quantum carrier for the purpose of digital copyright protection. In this paper, we propose a novel color image watermarking algorithm that integrates quantum discrete wavelet transform with Sinusoidal–Tent mapping and baker mapping. [...] Read more.
Quantum watermarking is a technique that embeds specific information into a quantum carrier for the purpose of digital copyright protection. In this paper, we propose a novel color image watermarking algorithm that integrates quantum discrete wavelet transform with Sinusoidal–Tent mapping and baker mapping. Initially, chaotic sequences are generated using Sinusoidal–Tent mapping to determine the channels suitable for watermark embedding. Subsequently, a one-level quantum Haar wavelet transform is applied to the selected channel to decompose the image. The watermarked image is then scrambled via discrete baker mapping, and the scrambled image is embedded into the High-High subbands. The invisibility of the watermark is evaluated by calculating the peak signal-to-noise ratio, Structural similarity index measure, and Learned Perceptual Image Patch Similarity, with comparisons made against the color histogram. The robustness of the proposed algorithm is assessed through the calculation of Normalized Cross-Correlation. In the simulation results, PSNR is close to 63, SSIM is close to 1, LPIPS is close to 0.001, and NCC is close to 0.97. This indicates that the proposed watermarking algorithm exhibits excellent visual quality and a robust capability to withstand various attacks. Additionally, through ablation study, the contribution of each technique to overall performance was systematically evaluated. Full article
(This article belongs to the Section Computer)
Show Figures

Figure 1

15 pages, 6849 KB  
Article
Analysis of Blasting Damage Variations in Rocks of Different Strengths
by Yuantong Zhang, Wentao Ren, Peng Gu, Yang Chen and Bo Wang
Appl. Sci. 2026, 16(1), 137; https://doi.org/10.3390/app16010137 - 22 Dec 2025
Viewed by 138
Abstract
During drill-and-blast construction, complex and variable rock masses are frequently encountered. Owing to the transient nature of the explosion process and the randomness of crack propagation, the response of different rock masses to explosive loading is highly intricate. This study primarily investigates the [...] Read more.
During drill-and-blast construction, complex and variable rock masses are frequently encountered. Owing to the transient nature of the explosion process and the randomness of crack propagation, the response of different rock masses to explosive loading is highly intricate. This study primarily investigates the dynamic response of rock masses with varying strengths under two different charge configurations. First, four cement mortar specimens of differing strengths were prepared then subjected to general blasting and slit charge blasting, respectively. High-speed cameras and digital image correlation techniques were employed to capture and analyse stress wave propagation and crack propagation during detonation. Fractal dimension analysis was subsequently employed to quantify and compare the extent of damage in the specimens. Findings indicate that rock strength influences stress wave attenuation patterns: lower-strength rocks exhibit higher peak strains but faster decay rates. Crack propagation velocity was calculated by deploying monitoring points along fracture paths and defining fracture initiation thresholds. Higher rock strength correlates with both peak and average crack propagation velocities. Slit charge blasting effectively optimizes damage distribution, concentrating it within the intended directions while reducing chaotic fracturing. These findings provide scientific justification for blasting operations in complex rock formations. Full article
(This article belongs to the Special Issue Innovations in Blasting Technology and Rock Engineering)
Show Figures

Figure 1

29 pages, 7575 KB  
Article
Assessment of Uncertainties Induced by Laboratory Practices During Experiments
by Francesco Mannacio, Nagi Abdussamie, Hideaki Murayama, Martijn Hoogeland, Kim Branner, Rimas Janeliukstis, Sören Ehlers, Mikko Suominen and Cesare Mario Rizzo
J. Mar. Sci. Eng. 2026, 14(1), 22; https://doi.org/10.3390/jmse14010022 - 22 Dec 2025
Viewed by 132
Abstract
The effect of specific laboratory practices can be very significant on the outcomes of an experiment. Therefore, the Specialist Committee V.2 on Experimental Methods of the International Ship and Offshore Structures Congress decided to perform a benchmark experiment aimed at assessing laboratory practice-induced [...] Read more.
The effect of specific laboratory practices can be very significant on the outcomes of an experiment. Therefore, the Specialist Committee V.2 on Experimental Methods of the International Ship and Offshore Structures Congress decided to perform a benchmark experiment aimed at assessing laboratory practice-induced uncertainties. While the specimens were identical for all participants, the procedure to determine the outcomes was left to the expertise and experimental capabilities of the participants and their laboratories. Hence, different approaches and experimental techniques have been applied and are described in this paper. Natural frequencies of two types of cantilever beam specimens have been investigated, namely, steel and composite specimens. The composite material specimens were cut by one participant from a single panel and provided to the other participants to limit the scatter due to fabrication-induced imperfections. The steel specimens were sourced by each participant individually, following specified dimensions and steel grade. In an effort to supplement the initial benchmark, a committee member who did not participate in the original study was later provided with identical composite specimens and instructed to carry out the tests meticulously, adhering to the benchmark guidelines and to document the practical application of a promising but rather challenging measurement technique, i.e., the Digital Image Correlation, needing specific skills for successful implementation. As a result, this paper presents the influence of selected experimental setups and data acquisition, as well as data elaboration approaches on the identified natural frequencies. Such an approach allows for assessing laboratory practice-induced uncertainties. Full article
(This article belongs to the Special Issue Analysis of Strength, Fatigue, and Vibration in Marine Structures)
Show Figures

Figure 1

15 pages, 2541 KB  
Article
PathQC: Determining Molecular and Structural Integrity of Tissues from Histopathological Slides
by Ranjit Kumar Sinha, Anamika Yadav and Sanju Sinha
Bioengineering 2026, 13(1), 5; https://doi.org/10.3390/bioengineering13010005 - 21 Dec 2025
Viewed by 269
Abstract
Quantifying tissue, molecular, and structural integrity is essential for biobank development. However, current assessment methods either involve destructive testing that depletes valuable biospecimens or rely on manual evaluations, which are not scalable and lead to interindividual variation. To overcome these challenges, we present [...] Read more.
Quantifying tissue, molecular, and structural integrity is essential for biobank development. However, current assessment methods either involve destructive testing that depletes valuable biospecimens or rely on manual evaluations, which are not scalable and lead to interindividual variation. To overcome these challenges, we present PathQC, a deep-learning framework that directly predicts the tissue RNA Integrity Number (RIN) and the extent of autolysis from hematoxylin and eosin (H & E)-stained whole-slide images of normal tissue biopsies. Advancing over prior QC methods focused on imaging quality control, PathQC provides sample-quality control through the direct quantification of molecular integrity (RIN) and structural degradation (autolysis). PathQC first extracts morphological features from the slide using a recently developed digital pathology foundation model (UNI), followed by a supervised model that learns to predict RNA Integrity Number and autolysis scores from these morphological features. PathQC is trained on and applied to the Genotype-Tissue Expression (GTEx) cohort, which comprises 25,306 non-diseased post-mortem samples across 29 tissues from 970 donors, when paired ground-truth RIN and autolysis scores were available. Here, PathQC predicted RIN with an average Pearson correlation of 0.47 and an autolysis score of 0.45, with notably high performance using adrenal gland tissue (R = 0.82) for RIN and colon tissue (R = 0.83) for autolysis. We provide a pan-tissue model for predicting RIN and autolysis scores for new slides from any tissue type (GitHub). Overall, PathQC enables a scalable assessment of tissue molecular and structural integrity from routine H & E images, enhancing biobank quality control and retrospective analyses across 29 tissues and multiple collection sites. Full article
(This article belongs to the Special Issue Machine Learning-Aided Medical Image Analysis)
Show Figures

Figure 1

27 pages, 21097 KB  
Article
Hydraulic Fracture Propagation in Topological Fractured Rock Masses: Insights from Visualized Experiments and Discrete Element Simulation
by Xin Gong, Jinquan Xing, Cheng Zhao, Haoyu Pan, Huiguan Chen, Jialun Niu and Yimeng Zhou
Materials 2026, 19(1), 25; https://doi.org/10.3390/ma19010025 - 20 Dec 2025
Viewed by 203
Abstract
The topological structure of fracture networks fundamentally controls the mechanical behavior and fluid-driven failure of brittle materials. However, a systematic understanding of how topology dictates hydraulic fracture propagation remains limited. This study conducted experimental investigations on granite specimens containing 10 different topological fracture [...] Read more.
The topological structure of fracture networks fundamentally controls the mechanical behavior and fluid-driven failure of brittle materials. However, a systematic understanding of how topology dictates hydraulic fracture propagation remains limited. This study conducted experimental investigations on granite specimens containing 10 different topological fracture structures using a self-developed visual hydraulic fracturing test system and an improved Digital Image Correlation (DIC) method. It systematically revealed the macroscopic control laws of topological nodes on crack initiation, propagation path, and peak pressure. The experimental results indicate that hydraulic crack initiation follows the “proximal-to-loading-end priority” rule. Macroscopically, the breakdown pressure shows a significant negative correlation with topological parameters (number of nodes, number of branches, normalized total fracture length). However, specific configurations (e.g., X-shaped nodes) can exhibit a configuration-strengthening effect due to dispersed stress concentration, leading to a higher breakdown pressure than simpler topological configurations. Discrete Element Method (DEM) simulations revealed the underlying mechanical essence at the meso-scale: the topological structure governs crack initiation behavior and initiation pressure by regulating the distribution of force chains and the mode of stress concentration within the rock mass. These findings advance the fundamental understanding of fracture–topology–property relationships in rock masses and provide insights for optimizing fluid-driven fracturing processes in engineered materials and reservoirs. Full article
Show Figures

Figure 1

25 pages, 54359 KB  
Article
Optimizing Mechanical Structures Through Butt Joining of Dissimilar Materials for Lightweight Components
by Jarosław Szusta, Łukasz Derpeński, Özler Karakaş and Nail Tüzün
Materials 2026, 19(1), 18; https://doi.org/10.3390/ma19010018 - 20 Dec 2025
Viewed by 275
Abstract
The joining of dissimilar steels is crucial for designing lightweight, high-performance structures but poses significant challenges due to uneven material properties. This study optimizes the butt-welding process for a dissimilar pair of S355J2 and Strenx 700E steels. Cold Metal Transfer welding was employed, [...] Read more.
The joining of dissimilar steels is crucial for designing lightweight, high-performance structures but poses significant challenges due to uneven material properties. This study optimizes the butt-welding process for a dissimilar pair of S355J2 and Strenx 700E steels. Cold Metal Transfer welding was employed, and the effects of surface preparation, linear energy, and joint gap on joint integrity were systematically investigated via tensile testing, digital image correlation, fractography, and microhardness analysis. The results demonstrate that mechanical surface cleaning combined with a low linear energy of 0.334 kJ/mm and a 0.5 mm gap yields optimal performance. This parameter set produced a joint with a tensile strength of 616 MPa, representing a 32% increase compared to uncleaned samples, and promoted uniform plastic deformation across the joint. Microstructural analysis confirmed a narrower heat-affected zone and the absence of significant softening in the high-strength steel. Full article
(This article belongs to the Section Manufacturing Processes and Systems)
Show Figures

Figure 1

9 pages, 1492 KB  
Proceeding Paper
Predicting Fatigue-Driven Delamination in Curved Composite Laminates Under Non-Constant Mixed-Mode Conditions Using a VCCT-Based Approach
by Carlos Mallor, Mario Sanchez, Andrea Calvo, Susana Calvo, Hubert Roman-Wasik and Federico Martin de la Escalera
Eng. Proc. 2025, 119(1), 34; https://doi.org/10.3390/engproc2025119034 - 19 Dec 2025
Viewed by 121
Abstract
Carbon-fibre reinforced polymer (CFRP) laminates are susceptible to both static and fatigue-driven delamination. Predicting this type of failure in curved composite structures, often referred to as delamination by unfolding, remains a critical challenge. This work presents the development of a Virtual Crack Closure [...] Read more.
Carbon-fibre reinforced polymer (CFRP) laminates are susceptible to both static and fatigue-driven delamination. Predicting this type of failure in curved composite structures, often referred to as delamination by unfolding, remains a critical challenge. This work presents the development of a Virtual Crack Closure Technique (VCCT)-based computational method for simulating fatigue-driven delamination propagation under non-constant mixed-mode conditions. The fatigue delamination growth model follows a phenomenological approach based on a Paris–Erdogan-based power-law relationship, where the delamination propagation rate depends on the strain energy release rate. This methodology has been implemented as a user-defined subroutine, UMIXMODEFATIGUE, for Abaqus, integrating the effects of load ratio and mode mixity conditions while leveraging the mode separation provided by VCCT. The proposed approach is validated against an experimental case involving a four-point bending test applied to an L-shaped CFRP curved beam specimen with a unidirectional layup. Unlike the existing standard configuration, the proposed test campaign introduces a non-adhesive Teflon foil insert at the bend, placed within the midplane layers to act as a delamination initiator, representing a manufacturing defect. In addition to the testing machine, digital image correlation (DIC) is used to monitor delamination length. The simulation method developed accurately predicts fatigue delamination propagation under varying mode mixity at the delamination front. By improving delamination modelling in composites, this approach supports timely maintenance and helps prevent fatigue failures. Additionally, it deepens the understanding of how the mode mixity influences the delamination propagation process. Full article
Show Figures

Figure 1

30 pages, 55183 KB  
Article
Fatigue Life Assessment of Notched PLA Manufactured Using FDM 3D-Printing Technique
by Mahsima Seifollahi and Mohammad Zaman Kabir
Polymers 2026, 18(1), 1; https://doi.org/10.3390/polym18010001 - 19 Dec 2025
Viewed by 392
Abstract
Fused Deposition Modeling (FDM) is an extensively employed additive manufacturing method for producing precise and complicated polymer models, with its industrial applications expanding under various loading conditions. A review of existing research highlights the insufficient investigation of the influence of geometric discontinuities in [...] Read more.
Fused Deposition Modeling (FDM) is an extensively employed additive manufacturing method for producing precise and complicated polymer models, with its industrial applications expanding under various loading conditions. A review of existing research highlights the insufficient investigation of the influence of geometric discontinuities in additively manufactured polylactic acid (PLA) members under fatigue loads. This study aims to analyze the combined effects of build orientation and geometric discontinuities on the static and fatigue performance and damage evolution of 3D-printed PLA. To achieve improved fabrication quality and minimize process-induced defects, the quasi-static tensile tests were conducted on specimens printed in on-edge orientation with a concentric infill pattern and the flat direction with a rectilinear infill pattern. The test results have shown that on-edge-printed objects have reduced micro-voids and improved layer bonding, resulting in a 19% increase in tensile strength compared to the flat-printed specimens. Consequently, this configuration was adopted for three specimen types, e.g., smooth, semi-circular edge-notched, and central-holed, tested under axial fatigue with a 0.05 load ratio. Fatigue test findings indicate that the stress concentration is more pronounced around central holes than near edge notches, leading to shorter fatigue life. This phenomenon is consistent with its effects under static tensile loading. Furthermore, using Digital Image Correlation (DIC) technique, damage initiation, progression, and failure mechanisms were analyzed in detail. According to fractographic analysis, the micro-voids in the 3D-printed specimens serve as potential regions for the initiation of multiple fatigue cracks. Additionally, the inherent internal defects can interact with geometric discontinuities, thereby weakening the fatigue performance. Full article
(This article belongs to the Section Polymer Analysis and Characterization)
Show Figures

Figure 1

21 pages, 8925 KB  
Article
Structural-Tensor-Driven Dynamic Window and Dual Kernel Weighting for a Fast Non-Local Mean Denoising Algorithm
by Jing Mao, Lianming Sun and Jie Chen
Modelling 2026, 7(1), 1; https://doi.org/10.3390/modelling7010001 - 19 Dec 2025
Viewed by 189
Abstract
To address the limitations of traditional non-local mean (NLM) denoising algorithms in terms of neighborhood similarity metrics, weight calculation, and computational efficiency, this paper proposed a structural-tensor-driven and dynamic window-based fast non-local mean denoising algorithm with dual kernel weighting. First, a Gaussian–Tukey dual-kernel [...] Read more.
To address the limitations of traditional non-local mean (NLM) denoising algorithms in terms of neighborhood similarity metrics, weight calculation, and computational efficiency, this paper proposed a structural-tensor-driven and dynamic window-based fast non-local mean denoising algorithm with dual kernel weighting. First, a Gaussian–Tukey dual-kernel weighting function was designed to optimize similarity metrics. Then, spatial neighborhood features were adopted. By measuring both grayscale similarity and spatial correlation, the weight distribution rationality was further enhanced. Second, structural tensor eigenvalues were used to quantify regional structural properties. A dynamic window allocation function was designed to adaptively match search window sizes to different image regions. Finally, an integral image acceleration mechanism was proposed, significantly improving algorithm execution efficiency. Experimental results demonstrated that the proposed algorithm achieved both excellent denoising performance and edge/texture preservation capabilities. In high-noise environments, its Peak Signal-to-Noise Ratio (PSNR) outperformed the Gauss kernel non-local mean algorithm by an average of 1.96 dB, while Structural Similarity (SSIM) improved by an average of 5.7%. Moreover, the algorithm’s execution efficiency increased by approximately 7–11 times, indicating strong potential for real-time application in digital image processing. Full article
Show Figures

Figure 1

Back to TopTop